Diphenhydramine

Danh pháp
Tên chung quốc tế
Tên danh pháp theo IUPAC
2-benzhydryloxy-N,N-dimethylethanamine
Nhóm thuốc
Thuốc kháng histamin H1
Mã ATC
R – Hệ hô hấp
R06 – Thuốc kháng histamin dùng toàn thân
R06A – Thuốc kháng histamin dùng toàn thân
R06AA – Ete aminoalkyl
R06AA02 – Diphenhydramine
D – Da liễu
D04 – Thuốc chống ngứa bao gồm thuốc kháng histamine, thuốc gây mê, v.v.
D04A – Thuốc chống ngứa bao gồm thuốc kháng histamine, thuốc gây mê, v.v.
D04AA – Thuốc kháng histamin dùng tại chỗ
D04AA32 – Diphenhydramin
Phân loại nguy cơ cho phụ nữ có thai
B
Mã UNII
8GTS82S83M
Mã CAS
58-73-1
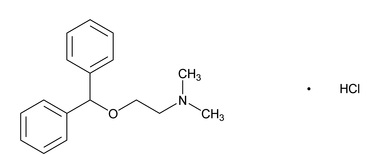
Cấu trúc phân tử
Công thức phân tử
C17H21NO
Phân tử lượng
255.35 g/mol
Cấu trúc phân tử
Diphenhydramine là một ether có cấu trúc ete benzhydryl của 2- (dimethylamino) ethanol.

Các tính chất phân tử
Số liên kết hydro cho: 0
Số liên kết hydro nhận: 2
Số liên kết có thể xoay: 6
Diện tích bề mặt tôpô: 12.5Ų
Số lượng nguyên tử nặng: 19
Các tính chất đặc trưng
Điểm nóng chảy: 161-162 °C
Điểm sôi: 150-165 °C ở 2,00E + 00 mmHg
Tỷ trọng riêng: 1.0 ± 0.1 g/cm3
Độ tan trong nước: 3060mg/L (ở 37 °C)
Hằng số phân ly pKa: 8.98
Chu kì bán hủy: 2,4 – 9,3 giờ
Khả năng liên kết với Protein huyết tương: 80 – 85%
Dạng bào chế
Viên nén: 12,5 mg, 25 mg, 50 mg.
Viên nang: 25 mg, 50 mg.
Dung dịch uống, sirô, cồn ngọt: 12,5 mg/5 ml.
Dung dịch tiêm: 10 mg/ml; 50 mg/ml.
Kem, gel, dung dịch bôi: 1% và 2%.

Độ ổn định và điều kiện bảo quản
Tối màu dần khi tiếp xúc với ánh sáng. Ổn định trong điều kiện bình thường.
Các chế phẩm diphenhydramin nên được bảo quản ở 15 – 30 °C, chống ẩm và tránh ánh sáng; tránh để đóng băng cồn ngọt, thuốc tiêm, dung dịch uống, hoặc thuốc bôi tại chỗ.
Nguồn gốc
Diphenhydramine được sáng chế bởi George Rieveschl và được đưa vào sử dụng thương mại lần đầu vào năm 1946.
Dược lý và cơ chế hoạt động
Diphenhydramine thuộc thế hệ thứ nhất của các thuốc kháng histamin H1 và là một dẫn xuất ethanolamin. Chất này tác động cạnh tranh với histamin tại thụ thể histamin H1, từ đó ngăn chặn tác dụng của histamin – tác nhân gây ra các biểu hiện dị ứng đặc trưng ở đường hô hấp (ho), mũi (ngạt mũi, sổ mũi) và da (ban đỏ, ngứa). Ngoài ra, diphenhydramine cũng có tác dụng gây buồn ngủ và kháng cholinergic mạnh.
Ứng dụng trong y học
Diphenhydramine là một thuốc kháng histamin thế hệ đầu tiên được sử dụng rộng rãi trong y học để điều trị một số bệnh lâm sàng. Thuốc này có tác dụng trong việc giảm triệu chứng dị ứng và ngứa, điều trị cảm lạnh thông thường, chứng mất ngủ, say tàu xe và các triệu chứng ngoại tháp. Ngoài ra, diphenhydramine cũng có tính chất gây tê cục bộ và đã được sử dụng cho mục đích này ở những người dị ứng với thuốc gây tê cục bộ thông thường như lidocain.
Dị ứng
Trong điều trị dị ứng, diphenhydramine đã được sử dụng phổ biến trong các phản ứng dị ứng cấp tính tại khoa cấp cứu. Thường được sử dụng kết hợp với epinephrine để điều trị sốc phản vệ, mặc dù việc sử dụng diphenhydramine cho mục đích này vẫn cần được nghiên cứu thêm. Việc sử dụng nó chỉ được khuyến nghị khi các triệu chứng cấp tính đã được cải thiện.
Ngứa
Diphenhydramine cũng có các công thức bôi tại chỗ, bao gồm kem, nước thơm, gel và thuốc xịt, được sử dụng để giảm ngứa. Các công thức này có ưu điểm là gây ra ít tác dụng toàn thân hơn (ví dụ: buồn ngủ) so với dạng uống.
Rối loạn chuyển động
Trong việc điều trị rối loạn chuyển động, diphenhydramine đã được sử dụng để giảm triệu chứng ngồi không yên và triệu chứng ngoại tháp do thuốc chống loạn thần gây ra. Nó cũng có thể được sử dụng để điều trị các triệu chứng cấp tính của chứng loạn trương lực cơ, bao gồm chứng vẹo cổ và khủng hoảng nhãn khoa do thuốc chống loạn thần thế hệ đầu tiên gây ra.
Ngủ
Vì tính chất an thần của nó, diphenhydramine cũng được sử dụng trong các loại thuốc hỗ trợ giấc ngủ không kê đơn để điều trị chứng mất ngủ. Tuy nhiên, việc sử dụng diphenhydramine trong điều trị chứng mất ngủ đã nhận được sự chỉ trích và không được khuyến nghị trong hướng dẫn thực hành lâm sàng năm 2017 của Học viện Y học về Giấc ngủ Hoa Kỳ. Một đánh giá hệ thống lớn và phân tích tổng hợp mạng cũng chỉ ra rất ít bằng chứng cho việc sử dụng diphenhydramine trong điều trị chứng mất ngủ.
Buồn nôn
Diphenhydramine cũng có tính chống nôn, nên nó hữu ích trong việc điều trị chứng buồn nôn xảy ra trong chứng chóng mặt và say tàu xe. Tuy nhiên, khi dùng ở liều trên khuyến cáo, diphenhydramine có thể gây buồn nôn, đặc biệt là ở liều trên 200 mg.
Dược động học
Hấp thu
Diphenhydramin được hấp thu tốt qua đường uống. Tuy nhiên, quá trình chuyển hóa ban đầu trong gan làm giảm lượng diphenhydramin thực sự tiếp cận hệ tuần hoàn và có tác dụng toàn thân, chỉ chiếm khoảng 40-60% liều uống ban đầu. Thời gian để đạt đến nồng độ cao nhất trong huyết tương là từ 1 đến 4 giờ sau khi dùng một liều duy nhất. Diphenhydramin cũng có thể hấp thu qua da khi được bôi lên da, nhưng tác dụng toàn thân của nó qua da là hiếm.
Phân bố
Diphenhydramin phân bố rộng rãi trong các cơ quan và mô trong cơ thể, bao gồm cả hệ thần kinh trung ương. Nó cũng có thể vượt qua hàng rào nhau thai và tiếp cận qua sữa mẹ. Khoảng 80-85% diphenhydramin kết hợp với protein trong huyết tương in vitro. Tuy nhiên, tỷ lệ kết hợp protein ít hơn ở người bị xơ gan và người châu Á so với người da trắng.
Chuyển hóa
Đang cập nhật
Thải trừ
Diphenhydramin chủ yếu được bài tiết qua nước tiểu dưới dạng các chất chuyển hóa, chỉ một lượng rất nhỏ dưới dạng không chuyển hóa. Ở người khỏe mạnh, nửa đời thải trừ của diphenhydramin dao động từ 2,4 đến 9,3 giờ. Tuy nhiên, nửa đời thải trừ cuối cùng kéo dài hơn ở người bị xơ gan.
Phương pháp sản xuất
Diphenhydramin có thể được tổng hợp bằng cách đun nóng diphenylbromomethane, beta-dimethylamino-ethanol và natri cacbonat trong toluene. Sau khi chưng cất toluene, diphenhydramine tinh khiết được chuyển thành dạng diphenhydramine hydrochloride với hydro clorua.
Độc tính ở người
Quá liều dự kiến của diphenhydramin sẽ gây ra các tác dụng phụ tương tự như các tác dụng phụ thông thường liên quan đến việc sử dụng diphenhydramin, bao gồm buồn ngủ, sốt cao và tác dụng kháng cholinergic, cùng với một số tác dụng phụ khác. Các triệu chứng khác có thể bao gồm giãn đồng tử, sốt, đỏ bừng, kích thích, run, phản ứng co giật, ảo giác và thay đổi trong điện tâm đồ.
Quá liều lượng lớn có thể gây ra tình trạng tê liệt cơ vân, co giật, mê sảng, rối loạn tâm thần, rối loạn nhịp tim, hôn mê và suy tim. Đặc biệt, ở liều lượng cao, đặc biệt là ở trẻ em, có thể xuất hiện các triệu chứng kích thích hệ thần kinh trung ương như ảo giác và co giật, trong khi với liều lượng cực cao, có thể xảy ra hôn mê hoặc suy tim.
Tính an toàn
Các nghiên cứu trên động vật đã không phát hiện ra bất kỳ dấu hiệu quái thai nào. Tuy nhiên, đã có báo cáo về ngộ độc và triệu chứng ngưng thuốc ở trẻ sơ sinh có mẹ sử dụng liều cao hoặc sử dụng diphenhydramin liên tục trong giai đoạn cuối thai kỳ.
Diphenhydramin không được khuyến nghị là thuốc kháng histamin lựa chọn để điều trị viêm mũi dị ứng hoặc buồn nôn ở phụ nữ mang thai. Hiện chưa có đủ nghiên cứu được kiểm chứng về việc sử dụng diphenhydramin ở phụ nữ mang thai, do đó chỉ nên sử dụng khi thực sự cần thiết.
Diphenhydramin cũng được tiết trừ qua sữa mẹ, do đó có thể gây ra các phản ứng không mong muốn và nghiêm trọng ở trẻ em đang được cho bú. Việc chọn lựa giữa sử dụng thuốc và cho con bú phải được xem xét cẩn thận.
Tương tác với thuốc khác
Diphenhydramin có thể tương tác với các thuốc ức chế hệ thần kinh trung ương khác, bao gồm barbiturat, thuốc an thần và cồn, làm tăng tác dụng ức chế hệ thần kinh trung ương.
Diphenhydramin cũng tương tác với các thuốc ức chế monoamin oxydase (IMAO) và làm tăng tác dụng kháng cholinergic của thuốc. Sử dụng diphenhydramin không được khuyến cáo cho những người đang sử dụng thuốc IMAO.
Lưu ý khi sử dụng Diphenhydramin
Người bệnh cần được cảnh báo về nguy cơ làm mất tập trung khi lái xe hoặc vận hành máy móc do diphenhydramin gây buồn ngủ. Người bệnh cũng cần được khuyến cáo không uống rượu trong quá trình sử dụng diphenhydramin vì sẽ làm gia tăng tác dụng ức chế của thuốc lên hệ thần kinh trung ương.
Đặc biệt cần thận trọng và hạn chế sử dụng diphenhydramin cho những người có các vấn đề sức khỏe như phì đại tuyến tiền liệt, tắc bàng quang, hẹp môn vị do tác dụng kháng cholinergic của thuốc. Người bệnh cần tránh sử dụng diphenhydramin nếu có bệnh nhược cơ, bị glôcôm góc đóng.
Cũng đã có báo cáo về một số trường hợp ngộ độc ở trẻ em khi sử dụng diphenhydramin dưới dạng bôi ngoài da trên diện rộng (thường đi kèm với tình trạng tổn thương da) hoặc khi sử dụng đồng thời với dạng uống. Do đó, khi sử dụng diphenhydramin dưới dạng bôi ngoài da, người dùng phải tuân thủ hướng dẫn sử dụng chính xác từ bác sĩ và không sử dụng đồng thời với các dạng sử dụng khác của diphenhydramin.
Cần cẩn thận khi sử dụng các loại thuốc ho, chống cảm cúm, giảm ngạt mũi tự do không đòi hỏi đơn cho trẻ nhỏ chứa diphenhydramin, do đã báo cáo về các trường hợp ngộ độc ở nhiều trẻ nhỏ dưới 2 tuổi (bao gồm cả tử vong).
Cần thận trọng khi sử dụng diphenhydramin cho người cao tuổi, vì họ có khả năng nhạy cảm với các tác dụng phụ của thuốc.
Một vài nghiên cứu của Diphenhydramin trong Y học
Thuốc đối kháng thụ thể histamin H2 điều trị mề đay

Đặt vấn đề: Mề đay là một bệnh ngoài da phổ biến đặc trưng bởi các vết mẩn ngứa hoặc phát ban, có thể xảy ra ở hầu hết mọi nơi trên cơ thể. Có một số loại phụ khác nhau và một loạt các lựa chọn điều trị có sẵn. Chưa có sự thống nhất về hiệu quả của thuốc đối kháng thụ thể H2 được sử dụng trong điều trị mày đay.
Mục tiêu: Đánh giá tính an toàn và hiệu quả của thuốc kháng thụ thể H2 trong điều trị mề đay.
Phương pháp tìm kiếm: Tìm kiếm các cơ sở dữ liệu sau cho đến ngày 7 tháng 10 năm 2011: Sổ đăng ký chuyên ngành của Nhóm da Cochrane, CENTRAL trong Thư viện Cochrane (2011, Số 4), MEDLINE (từ 2005), EMBASE (từ 2007) và LILACS (từ 1982) ), các cơ quan đăng ký thử nghiệm trực tuyến.
Tiêu chí lựa chọn: Các thử nghiệm ngẫu nhiên có đối chứng về thuốc đối kháng thụ thể H2 ở những người được chẩn đoán lâm sàng là mề đay trong bất kỳ khoảng thời gian nào hoặc dưới bất kỳ dạng phụ nào. Các nghiên cứu bao gồm thuốc kháng histamin H1 điều trị mề đay mãn tính là chủ đề của một tổng quan Cochrane riêng biệt; do đó, chúng không được đưa vào đánh giá này.
Thu thập và phân tích dữ liệu: Hai nhà phê bình đánh giá độc lập chất lượng thử nghiệm và trích xuất và phân tích dữ liệu.
Kết quả chính: Bốn nghiên cứu có quy mô tương đối nhỏ, bao gồm 144 người tham gia, được đưa vào tổng quan này. Sự kết hợp của ranitidine với diphenhydramine có hiệu quả hơn trong việc cải thiện khả năng giải quyết nổi mề đay so với dùng diphenhydramine đơn độc (tỷ lệ rủi ro (RR) 1,59, khoảng tin cậy 95% (CI) 1,07 đến 2,36).
Mặc dù có sự cải thiện tương tự về ngứa, kích thước và cường độ nổi mề đay, nhưng cimetidine không mang lại sự cải thiện tổng thể nào nhiều hơn có ý nghĩa thống kê về các triệu chứng nổi mề đay khi so sánh với diphenhydramine. Tuy nhiên, sự kết hợp của các loại thuốc này hiệu quả hơn diphenhydramine đơn thuần (RR 2,02, KTC 95% 1,03 đến 3,94).
Các tác dụng phụ đã được báo cáo với một số biện pháp can thiệp, chẳng hạn như ranitidine và diphenhydramine, gây buồn ngủ và an thần, nhưng không có sự khác biệt đáng kể về mức độ an thần so với ban đầu với famotidine hoặc diphenhydramine.
Kết luận của các tác giả: Bằng chứng rất hạn chế được cung cấp bởi đánh giá này dựa trên một số nghiên cứu cũ có quy mô tương đối nhỏ mà phân loại là có nguy cơ sai lệch cao đến không rõ ràng. Do đó, hiện tại, tổng quan không cho phép đưa ra quyết định chắc chắn về việc sử dụng thuốc kháng thụ thể H2 cho bệnh mề đay.
Mặc dù một số nghiên cứu này đã báo cáo một biện pháp làm giảm các triệu chứng nổi mề đay và cải thiện lâm sàng khá ít ở một số người tham gia, nhưng bằng chứng còn yếu và không đáng tin cậy.
Tài liệu tham khảo
- Drugbank, Diphenhydramin, truy cập ngày 14 tháng 6 năm 2023.
- Fedorowicz, Z., van Zuuren, E. J., & Hu, N. (2012). Histamine H2-receptor antagonists for urticaria. The Cochrane database of systematic reviews, 2012(3), CD008596. https://doi.org/10.1002/14651858.CD008596.pub2
- Pubchem, Diphenhydramin, truy cập ngày 14 tháng 6 năm 2023.
- Bộ Y Tế (2012), Dược thư quốc gia Việt Nam, Nhà xuất bản Y học, Hà Nội
Xuất xứ: Việt Nam
Xuất xứ: Việt Nam
Xuất xứ: Mỹ
Xuất xứ: Việt Nam
Xuất xứ: Việt Nam
Xuất xứ: Việt Nam
Xuất xứ: Việt Nam
Xuất xứ: Malaysia
Xuất xứ: Việt Nam













