BP 2025 (Ph. Eur. 11.6 update)
(Ph. Eur. monograph 2606) 
C22H19N3O4 389.4 171596-29-5
Action and use
Selective inhibitor of cyclic GMP-specific phosphodiesterase (Type V) with vasodilator action; treatment of erectile dysfunction.
Ph Eur
DEFINITION
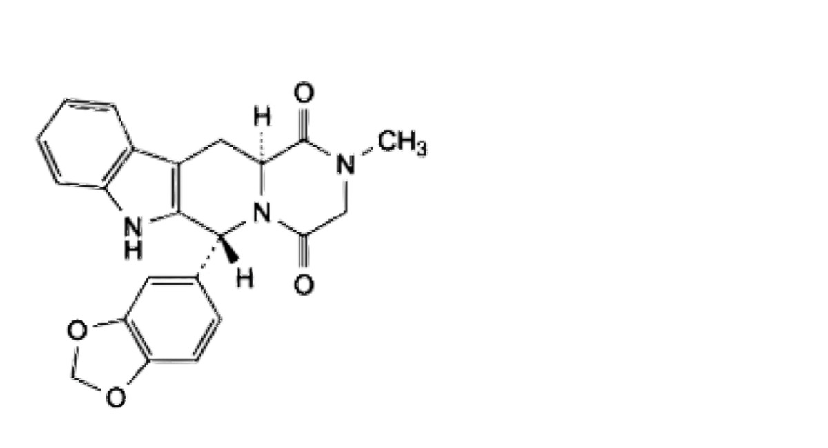
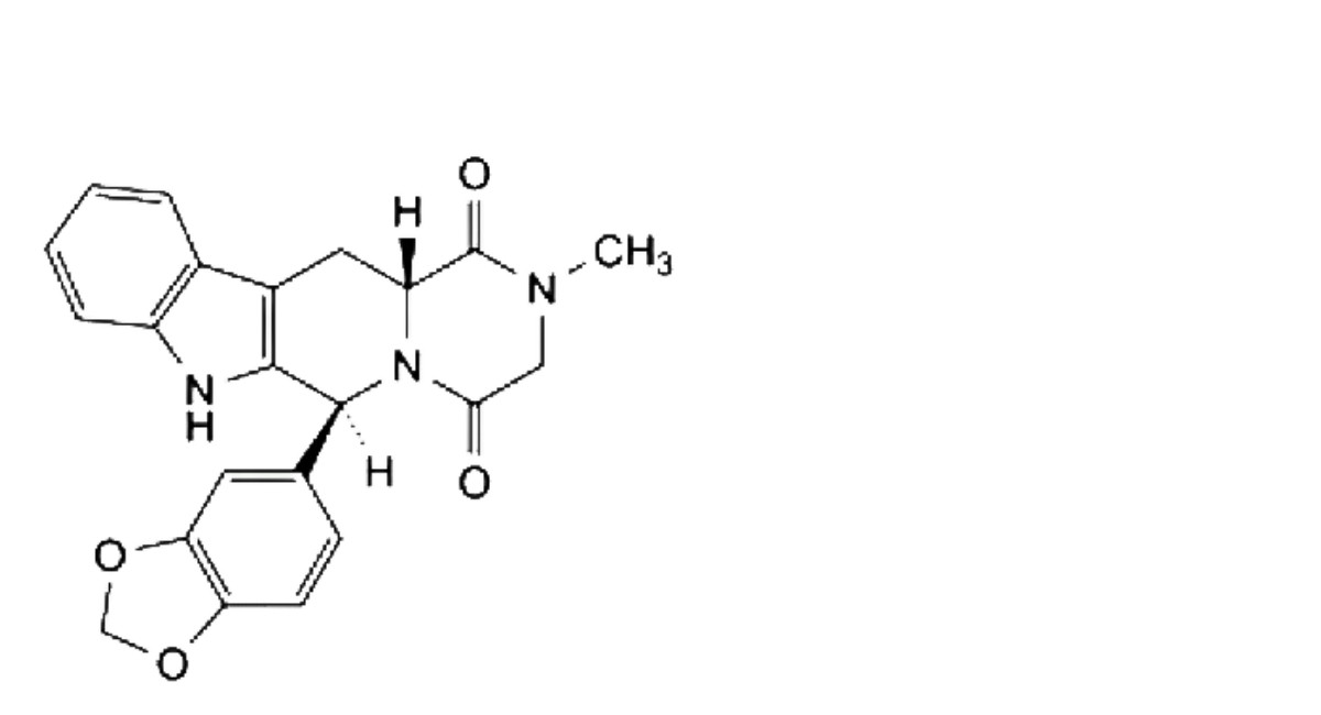
(6R,12aR)-6-(1,3-Benzodioxol-5-yl)-2-methyl-2,3,6,7,12,12a-hexahydropyrazino[1′,2′:1,6]-pyrido[3,4-b]indole-1,4-dione.
Content
97.5 per cent to 102.0 per cent (dried substance).
CHARACTERS
Appearance
White or almost white powder.
Solubility
Practically insoluble in water, freely soluble in dimethyl sulfoxide, slightly soluble in methylene chloride.
IDENTIFICATION
Carry out either tests A, B or tests A, C.
A. Infrared absorption spectrophotometry (2.2.24).
Comparison tadalafil CRS.
B. Liquid chromatography (2.2.29) as described in the test for impurities A, B and C with the following modification.
Injection Test solution and reference solution (a).
Results The principal peak in the chromatogram obtained with the test solution is similar in retention time and size to the principal peak in the chromatogram obtained with reference solution (a).
C. Specific optical rotation (2.2.7): + 78.0 to + 84.0 (dried substance).
Dissolve 0.250 g in dimethyl sulfoxide R and dilute to 25.0 mL with the same solvent.
TESTS
Impurities A, B and C
Liquid chromatography (2.2.29).
Solvent mixture acetonitrile R, hexane R, 2-propanol R (20:40:40 V/V/V).
Solution A Dissolve 27 g of tetrabutylammonium hydroxide R in methanol R and dilute to 100.0 mL with the same solvent.
Test solution Dissolve 25.0 mg of the substance to be examined in the solvent mixture and dilute to 100.0 mL with the solvent mixture.
Reference solution (a) Dissolve 25.0 mg of tadalafil CRS in the solvent mixture and dilute to 100.0 mL with the solvent mixture.
Reference solution (b) Dilute 1.0 mL of the test solution to 100.0 mL with the solvent mixture. Dilute 1.0 mL of this solution to 10.0 mL with the solvent mixture.
Reference solution (c) In order to prepare impurity A in situ, dissolve 25 mg of the substance to be examined in 40 mL of the solvent mixture. Add 1 mL of solution A, mix well and allow to stand for 20 min. Add 1 mL of trifluoroacetic acid R and dilute to 100 mL with the solvent mixture.
Reference solution (d) To 1 mL of the test solution add 1 mL of reference solution (c) and dilute to 50 mL with the solvent mixture.
Column:
- size: l = 0.25 m, Ø = 4.6 mm;
- stationary phase: amylose derivative of silica gel for chiral separation R (10 µm);
- temperature: 30 °C.
Mobile phase hexane R, 2-propanol R1 (50:50 V/V).
Flow rate 0.75 mL/min.
Detection Spectrophotometer at 222 nm.
Injection 20 µL of the test solution and reference solutions (b) and (d).
Run time 2.2 times the retention time of tadalafil.
Identification of impurities Use the chromatogram obtained with reference solution (d) to identify the peak due to impurity A.
Relative retention With reference to tadalafil (retention time = about 11 min): impurity A = about 0.8.
System suitability Reference solution (d)
- resolution: minimum 2.0 between the peaks due to impurity A and tadalafil.
Limits:
- impurity A: not more than 1.5 times the area of the principal peak in the chromatogram obtained with reference solution (b) (0.15 per cent);
- unspecified impurities: for each impurity, not more than the area of the principal peak in the chromatogram obtained with reference solution (b) (0.10 per cent).
Related substances
Liquid chromatography (2.2.29). Do not use sonication during the preparation of the solutions.
Solvent mixture acetonitrile R, 2-propanol R (50:50 V/V).
Solution A Dissolve 27 g of tetrabutylammonium hydroxide R in methanol R and dilute to 100.0 mL with the same solvent.
Test solution (a) Dissolve 40 mg of the substance to be examined in 50 mL of acetonitrile R and dilute to 100.0 mL with mobile phase A.
Test solution (b) Dissolve 50.0 mg of the substance to be examined in 50 mL of acetonitrile R and dilute to 100.0 mL with mobile phase A. To 10.0 mL of this solution add 25.0 mL of acetonitrile R and dilute to 50.0 mL with mobile phase A.
Reference solution (a) To 1.0 mL of test solution (a) add 50 mL of acetonitrile R and dilute to 100.0 mL with mobile phase A. To 1.0 mL of this solution add 5 mL of acetonitrile R and dilute to 10.0 mL with mobile phase A.
Reference solution (b) In order to prepare impurity A in situ, dissolve 4 mg of the substance to be examined in 50 mL of the solvent mixture. Add 1 mL of solution A, mix, and allow to stand for 40 min. Add 1 mL of trifluoroacetic acid R and dilute to 100 mL with the solvent mixture.
Reference solution (c) Dilute 1 mL of reference solution (b) to 50 mL with test solution (a).
Reference solution (d) Dissolve 50.0 mg of tadalafil CRS in 50 mL of acetonitrile R and dilute to 100.0 mL with mobile phase A. To 10.0 mL of this solution add 25.0 mL of acetonitrile R and dilute to 50.0 mL with mobile phase A.
Column:
- size: l = 0.25 m, Ø = 4.6 mm;
- stationary phase: octylsilyl silica gel for chromatography R (5 µm);
- temperature: 40 °C.
Mobile phase:
- mobile phase A: mix 1.0 mL of trifluoroacetic acid R with water for chromatography R and dilute to 1000 mL with the same solvent;
- mobile phase B: acetonitrile R;
| Time (min) | Mobile phase A (per cent V/V) | Mobile phase B (per cent V/V) |
| 0 – 3 | 85 | 15 |
| 3 – 30 | 85 -> 5 | 15 -> 95 |
| 30 – 33 | 5 | 95 |
Flow rate 1.0 mL/min.
Detection Spectrophotometer at 285 nm.
Injection 20 µL of test solution (a) and reference solutions (a) and (c).
Identification of impurities Use the chromatogram obtained with reference solution (c) to identify the peak due to impurities A + C.
Relative retention With reference to tadalafil (retention time = about 16 min): impurities A and C = about 1.03.
System suitability Reference solution (c):
- peak-to-valley ratio: minimum 3.3, where Hp = height above the baseline of the peak due to impurities A + C and Hv = height above the baseline of the lowest point of the curve separating this peak from the peak due to tadalafil.
Limits:
- unspecified impurities: for each impurity, not more than the area of the principal peak in the chromatogram obtained with reference solution (a) (0.10 per cent);
- total: not more than 3 times the area of the principal peak in the chromatogram obtained with reference solution (a) (0.3 per cent);
- disregard limit:5 times the area of the principal peak in the chromatogram obtained with reference solution (a) (0.05 per cent); disregard any peak due to impurity A and/or C.
Loss on drying (2.2.32)
Maximum 0.5 per cent, determined on 1.000 g by drying in vacuo at 105 °C for 3 h.
Sulfated ash (2.4.14)
Maximum 0.1 per cent, determined on 1.0 g.
ASSAY
Liquid chromatography (2.2.29) as described in the test for related substances with the following modifications.
Mobile phase acetonitrile R, mobile phase A (45:55 V/V).
Flow rate 1.5 mL/min.
Injection Test solution (b) and reference solution (d).
Run time Twice the retention time of tadalafil (retention time = about 4.5 min).
Calculate the percentage content of C22H19N3O4 from the declared content of tadalafil CRS.
IMPURITIES
Specified impurities A.
Other detectable impurities (the following substances would, if present at a sufficient level, be detected by one or other of the tests in the monograph. They are limited by the general acceptance criterion for other/unspecified impurities and/or by the general monograph Substances for pharmaceutical use (2034). It is therefore not necessary to identify these impurities for demonstration of compliance. See also 5.10. Control of impurities in substances for pharmaceutical use) B, C, D, E, F, G, H, I.

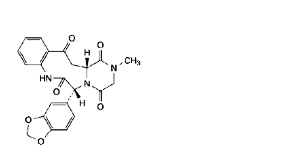
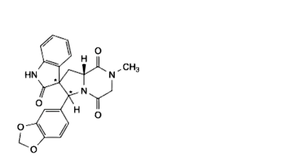
A. (6R,12aS)-6-(1,3-benzodioxol-5-yl)-2-methyl-2,3,6,7,12,12a-hexahydropyrazino[1′,2′:1,6]pyrido[3,4-b]indole-1,4-dione,

B. (6S,12aS)-6-(1,3-benzodioxol-5-yl)-2-methyl-2,3,6,7,12,12a-hexahydropyrazino[1′,2′:1,6]pyrido[3,4-ó]indole-1,4-dione,
C. (6S,12aR)-6-(1,3-benzodioxol-5-yl)-2-methyl-2,3,6,7,12,12a-hexahydropyrazino[1′,2′:1,6]pyrido[3,4-b]indole-1,4-dione,

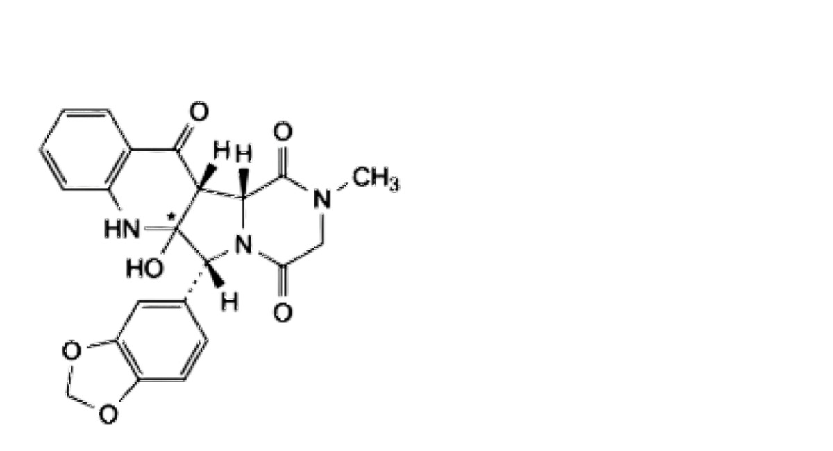
D. (6bR)-12-(1,3-benzodioxol-5-yl)-12a-hydroxy-8-methyl-
6a,6b,8,9,12,12a-hexahydropyrazino[1′,2′:1,2]pyrrolo[3,4-c]quinoline-6,7,1Q(5R)-trione,

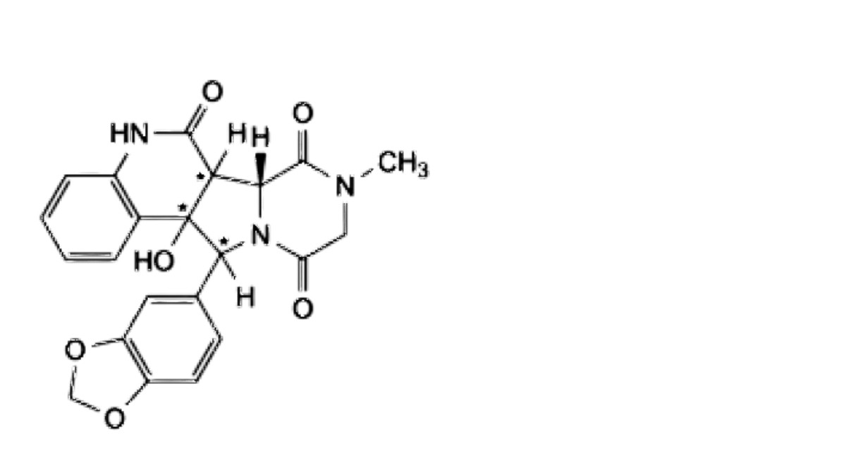
E. (6R,12aR,12bR)-6-(1,3-benzodioxol-5-yl)-6a-hydroxy-2-methyl-2,3,6a,7,12a,12b-
hexahydropyrazino[1′,2′:1,5]pyrrolo[3,4-b]quinoline-1,4,12(6R)-trione,

F. (8a’R)-6′-(1,3-benzodioxol-5-yl)-2′-methyl-2′,3′,8′,8a’-tetrahydro-6’R-spiro[3,1-benzoxazine-4,7′-pyrrolo[1,2- a]pyrazine]-1′,2,4′(1 R)-trione,

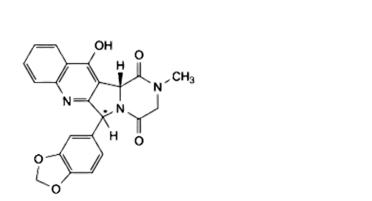
G. (12bR)-6-(1,3-benzodioxol-5-yl)-12-hydroxy-2-methyl-2,3,6,12b-tetrahydropyrazino[1′,2′:1,5]pyrrolo[3,4-b]quinoline-1,4-dione,

H. (6R,14aR)-6-(1,3-benzodioxol-5-yl)-2-methyl-2,3,14,14a-tetrahydropyrazino[1,2-d][1,4]benzodiazonine-1,4,7,13(6R,8R)-tetrone,

I.(8a’R)-6′-(1,3-benzodioxol-5-yl)-2′-methyl-2′,3′,8′,8a’-tetrahydro-6’R-spiro[indole-3,7′-pyrrolo[1,2-a]pyrazine]-1′,2,4′(1R)- trione.
Ph Eur






