(Ph. Eur. monograph 0943)
C16H25ClN2O 296.8 2315-02-8
Action and use
Alpha-adrenoceptor agonist; decongestant.
DEFINITION
3-[(4,5-Dihydro-1H-imidazol-2-yl)methyl]-6-(1,1-dimethylethyl)-2,4-dimethylphenol hydrochloride.
Content
99.0 per cent to 101.0 per cent (anhydrous substance).
CHARACTERS
Appearance
White or almost white, crystalline powder.
Solubility
Freely soluble in water and in ethanol (96 per cent).
IDENTIFICATION
First identification: A, D.
Second identification: B, C, D.
A. Infrared absorption spectrophotometry (2.2.24).
Comparison: oxymetazoline hydrochloride CRS.
B. Thin-layer chromatography (2.2.27).
Test solution: Dissolve 20 mg of the substance to be examined in a mixture of equal volumes of ethyl acetate R and methanol R and dilute to 5 mL with the same mixture of solvents.
Reference solution: Dissolve 20 mg of oxymetazoline hydrochloride CRS in a mixture of equal volumes of ethyl acetate R and methanol R and dilute to 5 mL with the same mixture of solvents.
Plate: TLC silica gel G plate R.
Mobile phase: diethylamine R, cyclohexane R, anhydrous ethanol R (6:15:79 V/V/V).
Application: 5 μL.
Development: Over 2/3 of the plate.
Drying: In a current of warm air for 5 min, then allow to cool.
Detection: Spray with a freshly prepared 5.0 g/L solution of potassium ferricyanide R in ferric chloride solution R2; examine in daylight.
Results: The principal spot in the chromatogram obtained with the test solution is similar in position, colour and size to the principal spot in the chromatogram obtained with the reference solution.
C. Dissolve about 2 mg in 1 mL of water R, then add 0.2 mL of a 50 g/L solution of sodium nitroprusside R and 0.2 mL of dilute sodium hydroxide solution R. Allow to stand for 10 min. Add 2 mL of sodium hydrogen carbonate solution R. A violet colour develops.
D. It gives reaction (a) of chlorides (2.3.1).
TESTS
Appearance of solution
The solution is clear (2.2.1) and not more intensely coloured than reference solution BY7 (2.2.2, Method II).
Dissolve 2.5 g in water R and dilute to 50 mL with the same solvent.
Acidity or alkalinity
Dissolve 0.25 g in carbon dioxide-free water R and dilute to 25 mL with the same solvent. Add 0.1 mL of methyl red solution R and 0.2 mL of 0.01 M hydrochloric acid. The solution is red. Not more than 0.4 mL of 0.01 M sodium hydroxide is required to change the colour of the indicator to yellow.
Related substances
Liquid chromatography (2.2.29). Prepare the solutions immediately before use.
Test solution: Dissolve 50.0 mg of the substance to be examined in water R and dilute to 50.0 mL with the same solvent.
Reference solution (a): Dilute 5.0 mL of the test solution to 100.0 mL with water R. Dilute 2.0 mL of this solution to 100.0 mL with water R.
Reference solution (b): Dissolve 5.0 mg of oxymetazoline impurity A CRS and 5 mg of the substance to be examined in water R and dilute to 50.0 mL with the same solvent. Dilute 10.0 mL of the solution to 50.0 mL with water R.
Reference solution (c): Dilute 1.0 mL of reference solution (b) to 20.0 mL with water R.
Column:
— size: l = 0.25 m, Ø = 4.6 mm;
— stationary phase: end-capped octadecylsilyl silica gel for chromatography with embedded polar groups R (5 μm).
Mobile phase:
— mobile phase A: 1.36 g/L solution of potassium dihydrogen phosphate R adjusted to pH 3.0 with phosphoric acid R;
— mobile phase B: acetonitrile for chromatography R;
| Time (min) |
Mobile phase A (per cent V/V) |
Mobile phase B (per cent V/V) |
| 0 – 5 | 70 | 30 |
| 5 – 20 | 70 → 15 | 30 → 85 |
| 20 – 35 | 15 | 85 |
Flow rate: 1.0 mL/min.
Detection: Spectrophotometer at 220 nm.
Injection: 10 μL.
Relative retention: With reference to oxymetazoline (retention time = about 5.0 min): impurity A = about 0.9.
System suitability: Reference solution (b):
— resolution: minimum 4.0 between the peaks due to impurity A and oxymetazoline.
Limits:
— impurity A: not more than 1.5 times the area of the corresponding peak in the chromatogram obtained with reference solution (c) (0.15 per cent);
— unspecified impurities: for each impurity, not more than the area of the principal peak in the chromatogram obtained with reference solution (a) (0.10 per cent);
— total: not more than 5 times the area of the principal peak in the chromatogram obtained with reference solution (a) (0.5 per cent);
— disregard limit: 0.5 times the area of the principal peak in the chromatogram obtained with reference solution (a) (0.05 per cent).
Water
(2.5.32): maximum 0.3 per cent, determined on 1.00 g .
Sulfated ash (2.4.14)
Maximum 0.1 per cent, determined on 1.0 g.
ASSAY
Dissolve 0.200 g in a mixture of 20 mL of acetic anhydride R and 20 mL of anhydrous acetic acid R. Titrate with 0.1 M perchloric acid, determining the end-point potentiometrically (2.2.20).
1 mL of 0.1 M perchloric acid is equivalent to 29.68 mg of C16H25ClN2O.
IMPURITIES
Specified impurities A.
Other detectable impurities (the following substances would, if present at a sufficient level, be detected by one or other of the tests in the monograph. They are limited by the general acceptance criterion for other/unspecified impurities and/or by the general monograph Substances for pharmaceutical use (2034). It is therefore not necessary to identify these impurities for demonstration of compliance. See also 5.10. Control of impurities in substances for pharmaceutical use) B, C, D, E.

A. N-(2-aminoethyl)-2-[4-(1,1-dimethylethyl)-3-hydroxy-2,6-dimethylphenyl]acetamide,

B. 2-[[4-(1,1-dimethylethyl)-2,6-dimethylphenyl]methyl]-4,5-dihydro-1H-imidazole (xylometazoline),

C. 2-[4-(1,1-dimethylethyl)-3-hydroxy-2,6-dimethylphenyl]acetamide,

D. 2-[4-(1,1-dimethylethyl)-3-hydroxy-2,6-dimethylphenyl]acetic acid,

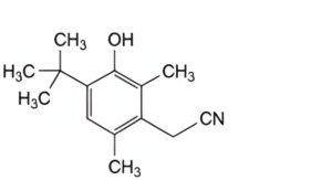
E. 2-[4-(1,1-dimethylethyl)-3-hydroxy-2,6-dimethylphenyl]acetonitrile.






