(Ph. Eur. monograph 1746)
C15H22ClNO2 283.8 5965-49-1
Action and use
Opioid receptor agonist; analgesic.
DEFINITION
1-[4-(3-Hydroxyphenyl)-1-methylpiperidin-4-yl]propan-1-one hydrochloride.
Content
99.0 per cent to 101.0 per cent (anhydrous substance).
CHARACTERS
Appearance
White or almost white, crystalline powder.
Solubility
Freely soluble in water, soluble in ethanol (96 per cent), very slightly soluble in methylene chloride.
IDENTIFICATION
A. Infrared absorption spectrophotometry (2.2.24).
Comparison: Ph. Eur. reference spectrum of ketobemidone hydrochloride.
B. Solution S (see Tests) gives reaction (a) of chlorides (2.3.1).
TESTS
Solution S
Dissolve 0.250 g in carbon dioxide-free water R and dilute to 25.0 mL with the same solvent.
Appearance of solution
Solution S is clear (2.2.1) and not more intensely coloured than reference solution B8 (2.2.2, Method II).
pH (2.2.3)
4.5 to 5.5 for solution S.
Related substances
Liquid chromatography (2.2.29).
Solution A: 1.54 g/L solution of ammonium acetate R adjusted to pH 8.0 with dilute ammonia R1.
Test solution: Dissolve 50.0 mg of the substance to be examined in solution A and dilute to 25.0 mL with the same solution.
Reference solution (a): Dissolve 1 mg of ketobemidone impurity B CRS and 1 mg of ketobemidone impurity C CRS in solution A and dilute to 25 mL with the same solution.
Reference solution (b): Dilute 1.0 mL of the test solution to 100.0 mL with solution A. Dilute 20.0 mL of this solution to 100.0 mL with solution A.
Column:
— size: l = 0.25 m, Ø = 4.6 mm;
— stationary phase: phenylhexylsilyl silica gel for chromatography R (5 μm);
— temperature: 40 °C.
Mobile phase: acetonitrile R, solution A (20:80 V/V).
Flow rate: 1.5 mL/min.
Detection: Spectrophotometer at 278 nm.
Injection: 20 μL.
Run time: 4.5 times the retention time of ketobemidone.
Relative retention: With reference to ketobemidone (retention time = about 10 min): impurity A = about 0.4; impurity B = about 0.6; impurity C = about 0.7; impurity D = about 3.5.
System suitability: Reference solution (a):
— resolution: minimum 4.0 between the peaks due to impurity B and impurity C.
Limits:
— impurities A, B, C, D: for each impurity, not more than the area of the principal peak in the chromatogram obtained with reference solution (b) (0.2 per cent);
— unspecified impurities: for each impurity, not more than 0.5 times the area of the principal peak in the chromatogram obtained with reference solution (b) (0.10 per cent);
— total: not more than 3.5 times the area of the principal peak in the chromatogram obtained with reference solution (b) (0.7 per cent);
— disregard limit: 0.25 times the area of the principal peak in the chromatogram obtained with reference solution (b) (0.05 per cent).
Water (2.5.12)
Maximum 1.0 per cent, determined on 0.50 g.
Sulfated ash (2.4.14)
Maximum 0.1 per cent, determined on 1.0 g.
ASSAY
Dissolve 0.200 g in a mixture of 5.0 mL of 0.01 M hydrochloric acid and 50 mL of ethanol (96 per cent) R.
Carry out a potentiometric titration (2.2.20) using 0.1 M sodium hydroxide. Read the volume added between the 2 points of inflexion.
1 mL of 0.1 M sodium hydroxide is equivalent to 28.38 mg of C15H22ClNO2.
IMPURITIES
Specified impurities A, B, C, D.
Other detectable impurities (the following substances would, if present at a sufficient level, be detected by one or other of the tests in the monograph. They are limited by the general acceptance criterion for other/unspecified impurities and/or by the general monograph Substances for pharmaceutical use (2034). It is therefore not necessary to identify these impurities for demonstration of compliance. See also 5.10. Control of impurities in substances for pharmaceutical use) E.

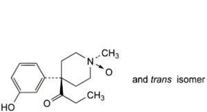
A. 1-[4-(3-hydroxyphenyl)-1-methyl-1-oxidopiperidin-4-yl]propan-1-one (cis and trans isomers),

B. 1-[4-(3-hydroxyphenyl)-1-methylpiperidin-4-yl]ethanone,

C. 1-[4-(3-hydroxyphenyl)piperidin-4-yl]propan-1-one,

D. 1-[4-(3-methoxyphenyl)-1-methylpiperidin-4-yl]propan-1-one,

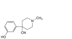
E. 4-(3-hydroxyphenyl)-1-methylpiperidin-4-carbonitrile.






