(Vedaprofen for Veterinary Use, Ph. Eur. monograph 2248)
C19H22O2 282.4 71109-09-6
Action and use
Cyclo-oxygenase inhibitor; analgesic; anti-inflammatory.
DEFINITION
(2RS)-2-(4-Cyclohexylnaphthalen-1-yl)propanoic acid.
Content
98.5 per cent to 101.0 per cent (dried substance).
CHARACTERS
Appearance
White or almost white powder.
Solubility
Practically insoluble in water, freely soluble in acetone, soluble in methanol. It dissolves in dilute solutions of alkali hydroxides.
IDENTIFICATION
Infrared absorption spectrophotometry (2.2.24).
Comparison: vedaprofen CRS.
TESTS
Appearance of solution
The solution is clear (2.2.1) and not more intensely coloured than reference solution Y5 (2.2.2, Method II).
Dissolve 2.0 g in acetone R and dilute to 20.0 mL with the same solvent.
Related substances
Liquid chromatography (2.2.29).
Test solution: Dissolve 25.0 mg of the substance to be examined in methanol R and dilute to 50.0 mL with the same solvent.
Reference solution (a): Dilute 1.0 mL of the test solution to 50.0 mL with methanol R. Dilute 1.0 mL of this solution to 10.0 mL with methanol R.
Reference solution (b): Dissolve the contents of a vial of vedaprofen impurity mixture CRS (containing impurities A, B and C) in 1 mL of reference solution (a).
Column:
— size: l = 0.10 m, Ø = 3.0 mm;
— stationary phase: irregular octadecylsilyl silica gel for chromatography R (5 μm);
— temperature: 35 °C.
Mobile phase: Dissolve 1.70 g of tetrabutylammonium hydrogen sulfate R in 1000 mL of a mixture of 20 volumes of water for chromatography R and 80 volumes of methanol R.
Flow rate: 0.4 mL/min.
Detection: Spectrophotometer at 288 nm.
Injection: 10 μL.
Run time: 5 times the retention time of vedaprofen.
Identification of impurities: Use the chromatogram supplied with vedaprofen impurity mixture CRS and the chromatogram obtained with reference solution (b) to identify the peaks due to impurities A, B and C.
Relative retention: With reference to vedaprofen (retention time = about 6 min): impurity C = about 0.8; impurity A = about 1.8; impurity B = about 3.7.
System suitability: Reference solution (b):
— resolution: minimum 2.0 between the peaks due to impurity C and vedaprofen.
Limits:
— correction factor: for the calculation of content, multiply the peak area of impurity B by 0.7;
— impurities A, B: for each impurity, not more than twice the area of the principal peak in the chromatogram obtained with reference solution (a) (0.4 per cent);
— unspecified impurities: for each impurity, not more than the area of the principal peak in the chromatogram obtained with reference solution (a) (0.20 per cent);
— total: not more than 2.5 times the area of the principal peak in the chromatogram obtained with reference solution (a) (0.5 per cent);
— disregard limit: 0.5 times the area of the principal peak in the chromatogram obtained with reference solution (a) (0.1 per cent).
Loss on drying (2.2.32)
Maximum 0.5 per cent, determined on 1.000 g by drying in an oven at 105 °C.
Sulfated ash (2.4.14)
Maximum 0.3 per cent, determined on 0.500 g.
ASSAY
Dissolve 0.200 g in 50 mL of ethanol (96 per cent) R and add 1.0 mL of 0.1 M hydrochloric acid. Carry out a potentiometric titration (2.2.20), using 0.1 M sodium hydroxide. Read the volume added between the 2 points of inflexion. 1 mL of 0.1 M sodium hydroxide is equivalent to 28.24 mg of C19H22O2.
IMPURITIES
Specified impurities A, B. Other detectable impurities (the following substances would, if present at a sufficient level, be detected by one or other of the tests in the monograph. They are limited by the general acceptance criterion for other/unspecified impurities and/or by
the general monograph Substances for pharmaceutical use (2034). It is therefore not necessary to identify these impurities for demonstration of compliance. See also 5.10. Control of impurities in substances for pharmaceutical use) C, D.

A. methyl (2RS)-2-(4-cyclohexylnaphthalen-1-yl)propanoate,

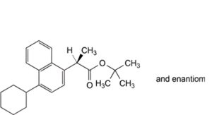
B. tert-butyl (2RS)-2-(4-cyclohexylnaphthalen-1-yl)propanoate,

C. (4-cyclohexylnaphthalen-1-yl)acetic acid,

D. methyl (4-cyclohexylnaphthalen-1-yl)acetate.






