(Valnemulin Hydrochloride for Veterinary Use, Ph. Eur. monograph 2137)
C31H53ClN2O5S 601 133868-46-9
Action and use
Antibacterial.
DEFINITION
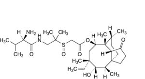
(3aS,4R,5S,6S,8R,9R,9aR,10R)-6-Ethenyl-5-hydroxy-4,6,9,10-tetramethyl-1-oxodecahydro-3a,9-propano-3aH-cyclopenta[8]annulen-8-yl [[2-[[(2R)-2-amino-3-methylbutanoyl]amino]-1,1-dimethylethyl]sulfanyl]acetate hydrochloride.
Semi-synthetic product derived from a fermentation product.
Content
96.0 per cent to 102.0 per cent (anhydrous substance).
CHARACTERS
Appearance
White or yellowish, amorphous powder, hygroscopic.
Solubility
Freely soluble in water and in anhydrous ethanol, practically insoluble in tert-butyl methyl ether.
IDENTIFICATION
A. Infrared absorption spectrophotometry (2.2.24).
Comparison: valnemulin hydrochloride CRS.
B. It gives reaction (a) of chlorides (2.3.1).
TESTS
pH (2.2.3)
3.0 to 6.0.
Dissolve 2.0 g in carbon dioxide-free water R and dilute to 20 mL with the same solvent.
Specific optical rotation (2.2.7)
+ 15.5 to + 18.0 (anhydrous substance).
Dissolve 0.250 g in water R and dilute to 25.0 mL with the same solvent.
Related substances
Liquid chromatography (2.2.29).
Phosphate buffer solution pH 2.5 Dissolve 8.0 g of disodium hydrogen phosphate dodecahydrate R and 3.0 g of potassium dihydrogen phosphate R in water for chromatography R and dilute to 1000.0 mL with the same solvent. Adjust to pH 2.5 with phosphoric acid R.
Solvent mixture: Mix equal volumes of acetonitrile R1 and water for chromatography R.
Test solution: Dissolve 0.100 g of the substance to be examined in the solvent mixture and dilute to 10.0 mL with the solvent mixture.
Reference solution (a): Dilute 1.0 mL of the test solution to 100.0 mL with the solvent mixture.
Reference solution (b): Dissolve 5 mg of valnemulin impurity E CRS and 5 mg of the substance to be examined in the solvent mixture and dilute to 25 mL with the solvent mixture.
Reference solution (c): Dissolve the contents of a vial of valnemulin for peak identification CRS (containing impurities A, B and C) in 1 mL of the solvent mixture.
Column:
— size: l = 0.15 m, Ø = 4.6 mm;
— stationary phase: octadecylsilyl silica gel for chromatography R (3 μm);
— temperature: 50 °C.
Mobile phase:
— mobile phase A: phosphate buffer solution pH 2.5, water R (25:75 V/V);
— mobile phase B: phosphate buffer solution pH 2.5, acetonitrile R1 (25:75 V/V);
| Time (min) |
Mobile phase A (per cent V/V) |
Mobile phase B (per cent V/V) |
| 0 – 2 | 95 → 55 | 5 → 45 |
| 2 – 4.5 | 55 → 50 | 45 → 50 |
| 4.5 – 5.5 | 50 → 35 | 50 → 65 |
| 5.5 – 6.85 | 35 | 65 |
| 6.85 – 10 | 35 → 0 | 65 → 100 |
| 10 – 13 | 0 | 100 |
| 13 – 14 | 0 → 95 | 100 → 5 |
| 14 – 20 | 95 | 5 |
Flow rate: 1.5 mL/min.
Detection: Spectrophotometer at 200 nm.
Injection: 5 μL.
Identification of impurities: Use the chromatogram supplied with valnemulin for peak identification CRS and the chromatogram obtained with reference solution (c) to identify the peaks due to impurities A, B and C.
Relative retention: With reference to valnemulin (retention time = about 7 min): impurity D = about 0.2; impurity A = about 0.7; impurity B = about 0.85; impurity E = about 0.9; impurity C = about 1.1.
System suitability: Reference solution (b):
— resolution: minimum 1.5 between the peaks due to impurity E and valnemulin.
Limits:
— correction factors: for the calculation of content multiply the peak areas of the following impurities by the corresponding correction factor: impurity B = 3.2; impurity E = 4.2;
— impurity A: not more than 0.5 times the area of the principal peak in the chromatogram obtained with reference solution (a) (0.5 per cent);
— impurity B: not more than twice the area of the principal peak in the chromatogram obtained with reference solution (a) (2.0 per cent);
— impurity C: not more than the area of the principal peak in the chromatogram obtained with reference solution (a) (1.0 per cent);
— any other impurity: for each impurity, not more than 0.2 times the area of the principal peak in the chromatogram obtained with reference solution (a) (0.2 per cent);
— total: not more than 3 times the area of the principal peak in the chromatogram obtained with reference solution (a) (3.0 per cent);
— disregard limit: 0.1 times the area of the principal peak in the chromatogram obtained with reference solution (a) (0.1 per cent); disregard the peak due to the chloride ion.
Water (2.5.12)
Maximum 4.0 per cent, determined on 0.500 g.
ASSAY
Liquid chromatography (2.2.29).
Test solution: Dissolve 40.0 mg of the substance to be examined in a mixture of equal volumes of acetonitrile R1 and water R and dilute to 50.0 mL with the same mixture of solvents.
Reference solution: Dissolve 50.0 mg of valnemulin hydrogen tartrate CRS in a mixture of equal volumes of acetonitrile R1 and water R and dilute to 50.0 mL with the same mixture of solvents.
Column:
— size: l = 0.125 m, Ø = 4.6 mm;
— stationary phase: octadecylsilyl silica gel for chromatography R (3 μm);
— temperature: 45 °C.
Mobile phase: Mix 43 volumes of acetonitrile R1 and 57 volumes of a solution containing 0.94 g/L of disodium hydrogen phosphate dodecahydrate R and 8.7 g/L of potassium dihydrogen phosphate R previously adjusted to pH 2.5 with phosphoric acid R.
Flow rate: 1.2 mL/min.
Detection: Spectrophotometer at 210 nm.
Injection: 5 μL.
Run time: 3 times the retention time of valnemulin (retention time = about 2.4 min).
Calculate the percentage content of C31H53ClN2O5S, using the declared content of valnemulin hydrogen tartrate CRS and by multiplying by 0.841.
STORAGE
In an airtight container, protected from light.
IMPURITIES
Specified impurities A, B, C.
Other detectable impurities (the following substances would, if present at a sufficient level, be detected by one or other of the tests in the monograph. They are limited by the general acceptance criterion for other/unspecified impurities and/or by the general monograph Substances for pharmaceutical use (2034). It is therefore not necessary to identify these impurities for demonstration of compliance. See also 5.10. Control of impurities in substances for pharmaceutical use) D, E.

A. (3aS,4R,5S,6S,8R,9R,9aR,10R)-6-ethenyl-5-hydroxy-4,6,9,10-tetramethyl-1-oxodecahydro-3a,9-propano-3aH-cyclopenta[8]annulen-8-yl [[2-[[(2R)-2-amino-3-methylbutanoyl]amino]-1,1-dimethylethyl]sulfinyl]acetate (valnemulin sulfoxide),

B. (3aS,4R,5S,6S,8R,9R,9aR,10R)-6-ethenyl-5-hydroxy-4,6,9,10-tetramethyl-1-oxodecahydro-3a,9-propano-3aH-cyclopenta[8]annulen-8-yl [(2-amino-1,1-dimethylethyl) sulfanyl]acetate (dimethyl cysteaminyl pleuromulin),

C. (3aS,4R,5S,6S,8R,9R,9aR,10R)-6-ethenyl-5-hydroxy-4,6,9,10-tetramethyl-1-oxodecahydro-3a,9-propano-3aH-cyclopenta[8]annulen-8-yl [[2-[[(2R)-2-[[(2R)-2-amino-3-methylbutanoyl]amino]-3-methylbutanoyl]amino]-1,1-dimethylethyl]sulfanyl]acetate (valyl-valneumulin),

D. (2R)-2-amino-3-methylbutanoic acid (D-valine),

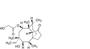
E. (3aS,4R,5S,6S,8R,9R,9aR,10R)6-ethenyl-5-hydroxy-4,6,9,10-tetramethyl-1-oxodecahydro-3a,9-propano-3aH-cyclopenta[8]annulen-8-yl 2-hydroxyacetate (pleuromulin).






