(Ph. Eur. monograph 3097)
Action and use
Platelet aggregation inhibitor.
DEFINITION
Tablets containing Ticagrelor (3087), for human use.
They comply with the monograph Tablets (0478) and the following additional requirements.
Content
95.0 per cent to 105.0 per cent of the content of ticagrelor (C23H28F2N6O4S) stated on the label.
IDENTIFICATION
A. Record the UV spectrum of the principal peak in the chromatograms obtained with the solutions used in the assay, with a diode array detector in the range of 210-400 nm.
Results: The UV spectrum of the principal peak in the chromatogram obtained with the test solution is similar to the UV spectrum of the principal peak in the chromatogram obtained with reference solution (a).
B. Examine the chromatograms obtained in the assay.
Results: The principal peak in the chromatogram obtained with the test solution is similar in retention time and size to the principal peak in the chromatogram obtained with reference solution (a).
TESTS
Related substances
Liquid chromatography (2.2.29). Carry out the test protected from light.
Solvent mixture acetonitrile R, water R (35:65 V/V). Buffer solution 156 g/L solution of sodium dihydrogen phosphate R adjusted to pH 3.0 with phosphoric acid R.
Test solution: To an appropriate number of tablets add about half of a suitable volume of the solvent mixture. Shake using a mechanical shaker until the tablets have disintegrated completely and dilute to volume with the solvent mixture to obtain a concentration of ticagrelor of 0.45 mg/mL. If necessary, more than 1 dilution with the solvent mixture may be performed to obtain this concentration.
Reference solution (a): Dissolve 45.0 mg of ticagrelor CRS in the solvent mixture and dilute to 100.0 mL with the solvent mixture.
Reference solution (b): Dilute 1.0 mL of the test solution to 100.0 mL with the solvent mixture. Dilute 2.0 mL of this solution to 10.0 mL with the solvent mixture. Reference solution (c) Dissolve 4.5 mg of ticagrelor for system suitability CRS (containing impurities A, B and D) in the solvent mixture and dilute to 10 mL with the solvent mixture.
Column:
— size: l = 0.15 m, Ø = 4.6 mm;
— stationary phase: octadecylsilyl silica gel for chromatography R (1.8 μm);
— temperature: 55 °C.
Mobile phase:
— mobile phase A: mix 1 volume of the buffer solution and 89 volumes of water for chromatography R and add 10 volumes of acetonitrile for chromatography R;
— mobile phase B: mix 1 volume of the buffer solution and 29 volumes of water for chromatography R and add 70 volumes of acetonitrile for chromatography R;
| Time
(min) |
Mobile phase A
(per cent V/V) |
Mobile phase B
(per cent V/V) |
| 0 – 2 | 90 | 10 |
| 2 – 9 | 90 → 35 | 10 → 65 |
| 9 – 17 | 35 | 65 |
| 17 – 18 | 35 → 0 | 65 → 100 |
| 18 – 25 | 0 | 100 |
Flow rate: 1.0 mL/min.
Detection: Spectrophotometer at 242 nm.
Injection: 5 μL of the test solution and reference solutions (b) and (c).
Identification of impurities: Use the chromatogram supplied with ticagrelor for system suitability CRS and the chromatogram obtained with reference solution (c) to identify the peaks due to impurities A, B and D.
Relative retention: With reference to ticagrelor (retention time = about 15 min): impurity A = about 0.5; impurity B = about 1.1; impurity D = about 1.5.
System suitability: Reference solution (c):
— resolution: minimum 4.0 between the peaks due to ticagrelor and impurity B.
Calculation of percentage contents:
— for each impurity, use the concentration of ticagrelor in reference solution (b).
Limits:
— unspecified impurities: for each impurity, maximum 0.2 per cent;
— total: maximum 0.5 per cent;
— reporting threshold: 0.1 per cent; disregard the peaks due to impurities A, B and D.
Dissolution1 (2.9.3, Apparatus 2).
Dissolution medium: 2 g/L solution of polysorbate 80 R. Use 900 mL of the medium.
Rotation speed: 75 r/min.
Time: 45 min.
Analysis: Ultraviolet and visible absorption spectrophotometry (2.2.25), using a path length of 2 mm.
Test solutions: The samples withdrawn from the dissolution vessel and filtered.
When a different path length is used, the solutions may be diluted accordingly (e.g. for a path length of 1 cm, 5-fold dilution for 90 mg tablets).
Measure the absorbance of the solutions at the absorption maximum at 300 nm.
Calculate the amount of dissolved ticagrelor (C23H28F2N6O4S), expressed as a percentage of the content stated on the label, taking the specific absorbance to be 311.
Acceptance criterion:
— Q = 70 per cent after 45 min.
ASSAY
Liquid chromatography (2.2.29) as described in the test for related substances with the following modifications.
Mobile phase: Mix 1 volume of the buffer solution and 47 volumes of water for chromatography R and add 52 volumes of acetonitrile for chromatography R.
Flow rate: 1.2 mL/min.
Injection: Test solution and reference solution (a).
Run time: Twice the retention time of ticagrelor.
Retention time: Ticagrelor = about 4 min.
System suitability: Reference solution (a):
— repeatability: maximum relative standard deviation of 1.5 per cent determined on 6 injections.
Calculate the percentage content of ticagrelor (C23H28F2N6O4S) taking into account the assigned content of ticagrelor CRS.
IMPURITIES
Other detectable impurities (the following substances would, if present at a sufficient level, be detected by one or other of the tests in the monograph): A, B, C, D.

A. (1S,2S,3R,5S)-3-[7-amino-5-(propylsulfanyl)-3H-[1,2,3]triazolo[4,5-d]pyrimidin-3-yl]-5-(2-hydroxyethoxy)cyclopentane-1,2-diol,

B. (1S,2S,3R,5S)-3-[[3-[(1R,2S)-2-(3,4-difluorophenyl)cyclopropyl]-5-(propylsulfanyl)-3H-[1,2,3]triazolo[4,5-d]pyrimidin-7-yl]amino]-5-(2-hydroxyethoxy)cyclopentane-1,2-diol,

C. 2-[[(1S,2S,3S,4R)-4-[7-[[(1R,2S)-2-(3,4-difluorophenyl)cyclopropyl]amino]-5-(propylsulfanyl)-3H-[1,2,3]triazolo[4,5-d]pyrimidin-3-yl]-2,3-dihydroxycyclopentyl]oxy]ethyl acetate,

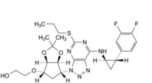
D. 2-[[(3aR,4S,6R,6aS)-6-[7-[[(1R,2S)-2-(3,4-difluorophenyl)cyclopropyl]amino]-5-(propylsulfanyl)-3H-[1,2,3]triazolo[4,5-d]pyrimidin-3-yl]-2,2-dimethyltetrahydro-2H,3aH-cyclopenta[d][1,3]dioxol-4-yl]oxy]ethan-1-ol.
1The test approved in the marketing authorisation is to be used for routine quality control to confirm batch-to-batch consistency. For more information please consult Ph. Eur. 1. General Notices.






