(Tiamulin Hydrogen Fumarate for Veterinary Use, Ph. Eur. monograph 1659)
C32H51NO8S 610 55297-96-6
Action and use
Antibacterial.
DEFINITION
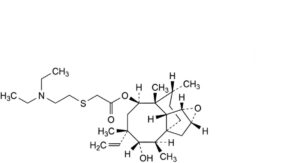
(3aS,4R,5S,6S,8R,9R,9aR,10R)-6-Ethenyl-5-hydroxy-4,6,9,10-tetramethyl-1-oxodecahydro-3a,9-propanocyclopenta[8]annulen-8-yl [[2-(diethylamino)ethyl]sulfanyl]acetate hydrogen (2E)-but-2-enedioate.
Semi-synthetic product derived from a fermentation product.
Content
96.5 per cent to 102.0 per cent (dried substance).
CHARACTERS
Appearance
White or light yellow, crystalline powder.
Solubility
Soluble in water, freely soluble in anhydrous ethanol and soluble in methanol.
IDENTIFICATION
Infrared absorption spectrophotometry (2.2.24).
Comparison: tiamulin hydrogen fumarate CRS.
TESTS
pH (2.2.3)
3.1 to 4.1.
Dissolve 0.5 g in carbon dioxide-free water R and dilute to 50 mL with the same solvent.
Related substances
Liquid chromatography (2.2.29).
Ammonium carbonate buffer solution pH 10.0 Dissolve 10.0 g of ammonium carbonate R in water for chromatography R, add 22 mL of perchloric acid solution R and dilute to 1000.0 mL with water for chromatography R. Adjust to pH 10.0 with concentrated ammonia R1.
Solvent mixture: Ammonium carbonate buffer solution pH 10.0, acetonitrile R1 (50:50 V/V).
Test solution: Dissolve 0.200 g of the substance to be examined in the solvent mixture and dilute to 50.0 mL with the solvent mixture.
Reference solution (a): Dissolve 0.200 g of tiamulin hydrogen fumarate CRS in the solvent mixture and dilute to 50.0 mL with the solvent mixture.
Reference solution (b): Dilute 1.0 mL of the test solution to 100.0 mL with the solvent mixture.
Reference solution (c): Dissolve 40.0 mg of fumaric acid R in the solvent mixture and dilute to 50.0 mL with the solvent mixture.
Reference solution (d): Dissolve 4 mg of tiamulin for peak identification CRS (tiamulin hydrogen fumarate containing impurities B, C, D, F, H and I) in the solvent mixture and dilute to 1 mL with the solvent mixture.
Column:
— size: l = 0.15 m, Ø = 4.6 mm;
— stationary phase: end-capped octadecylsilyl silica gel for chromatography R (5 μm);
— temperature: 30 °C.
Mobile phase: acetonitrile R1, ammonium carbonate buffer solution pH 10.0, methanol R2 (21:30:49 V/V/V).
Flow rate: 1.0 mL/min.
Detection: Spectrophotometer at 212 nm.
Injection: 20 μL.
Run time: 3 times the retention time of tiamulin.
Identification of impurities: Use the chromatogram supplied with tiamulin for peak identification CRS and the chromatogram obtained with reference solution (d) to identify the peaks due to impurities B and H.
Relative retention: With reference to tiamulin (retention time = about 18 min): impurity G = about 0.2; impurity A = about 0.22; impurity H = about 0.23; impurity I = about 0.3; impurity J = about 0.4; impurity K = about 0.45; impurity B = about 0.5; impurity L = about 0.65; impurity C = about 0.66; impurity F = about 0.8; impurity M = about 0.85; impurity D = about 1.1; impurity S = about 1.4; impurity T = about 1.6; impurity E = 2.4.
System suitability: Reference solution (a):
— baseline separation between the peaks due to tiamulin and impurity D.
Limits:
— impurities B, H: for each impurity, not more than 1.5 times the area of the principal peak in the chromatogram obtained with reference solution (b) (1.5 per cent);
— impurities A, C, D, E, F, G, I, J, K, L, M, S, T: for each impurity, not more than the area of the principal peak in the chromatogram obtained with reference solution (b) (1.0 per cent);
— any other impurity: for each impurity, not more than 0.2 times the area of the principal peak in the chromatogram obtained with reference solution (b) (0.2 per cent);
— total: not more than 3 times the area of the principal peak in the chromatogram obtained with reference solution (b) (3.0 per cent);
— disregard limit: 0.1 times the area of the principal peak in the chromatogram obtained with reference solution (b) (0.1 per cent); disregard any peak present in reference solution (c).
Loss on drying (2.2.32)
Maximum 0.5 per cent, determined on 1.000 g by drying in an oven at 105 °C.
ASSAY
Liquid chromatography (2.2.29) as described in the test for related substances with the following modification.
Injection: Test solution and reference solution (a).
Calculate the percentage content of C32H51NO8S from the declared content of tiamulin hydrogen fumarate CRS.
STORAGE
Protected from light.
IMPURITIES
Specified impurities A, B, C, D, E, F, G, H, I, J, K, L, M, S, T.
Other detectable impurities (the following substances would, if present at a sufficient level, be detected by one or other of the tests in the monograph. They are limited by the general acceptance criterion for other/unspecified impurities and/or by the general monograph Substances for pharmaceutical use (2034). It is therefore not necessary to identify these impurities for demonstration of compliance. See also 5.10. Control of impurities in substances for pharmaceutical use) N, O, P, Q, R.

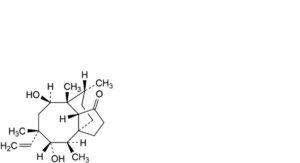
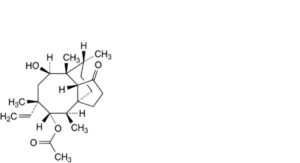
A. (3aS,4R,5S,6S,8R,9R,9aR,10R)-6-ethenyl-5,8-dihydroxy-4,6,9,10-tetramethyloctahydro-3a,9-propanocyclopenta[8]annulen-1(4H)-one (mutilin),

B. 2-(benzylsulfanyl)-N,N-diethylethan-1-amine,

C. 2,2′-disulfanediylbis(N,N-diethylethan-1-amine),

D. (1aS,1bR,2R,3R,5S,6S,7R,7aS,8aR,11R)-5-ethenyl-6-hydroxy-2,5,7,11-tetramethyldecahydro-2,7a-propanocycloocta[3,4]cyclopenta[1,2-b]oxiren-3-yl [[2-(diethylamino)ethyl]sulfanyl]acetate,

E. (3aS,4R,6S,8R,9R,9aR,10R)-6-ethenyl-4,6,9,10-tetramethyl-1,5-dioxodecahydro-3a,9-propanocyclopenta[8]annulen-8-yl [[2-(diethylamino)ethyl]sulfanyl]acetate (11-oxotiamulin),

F. (1Ξ,3aR,4R,6S,8R,9R,9aR,10R)-6-ethenyl-1-hydroxy-4,6,9,10-tetramethyl-5-oxodecahydro-3a,9-propanocyclopenta[8]annulen-8-yl [[2-(diethylamino)ethyl]sulfanyl]acetate (1-hydroxy-11-oxotiamulin),

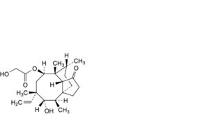
G. (3aS,4R,5S,6S,8R,9R,9aR,10R)-6-ethenyl-5-hydroxy-4,6,9,10-tetramethyl-1-oxodecahydro-3a,9-propanocyclopenta[8]annulen-8-yl hydroxyacetate (pleuromutilin, pleuromulin),

H. (2E)-4-[(2Ξ)-2-[(3aS,4R,5S,6R,8R,9R,9aR,10R)-8-[[[[2-(diethylamino)ethyl]sulfanyl]acetyl]oxy]-5-hydroxy-4,6,9,10-tetramethyl-1-oxodecahydro-3a,9-propanocyclopenta[8]annulen-6-yl]-2-hydroxyethoxy]-4-oxobut-2-enoic acid (19,20-dihydroxytiamulin 20-fumarate),

I. (2E)-4-[[(1Ξ,2Ξ,3aS,4R,5S,6S,8R,9R,9aR,10R)-8-[[[[2-(diethylamino)ethyl]sulfanyl]acetyl]oxy]-6-ethenyl-1,5-dihydroxy-4,6,9,10-tetramethyldecahydro-3a,9-propanocyclopenta[8]annulen-2-yl]oxy]-4-oxobut-2-enoic acid (2,3-dihydroxytiamulin 2-fumarate),

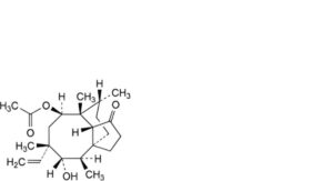
J. (3aS,4R,5S,6S,8R,9R,9aR,10R)-6-ethenyl-5-hydroxy-4,6,9,10-tetramethyl-1-oxodecahydro-3a,9-propanocyclopenta[8]annulen-8-yl acetate (mutilin 14-acetate),

K. (3aS,4R,5S,6S,8R,9R,9aR,10R)-6-ethenyl-8-hydroxy-4,6,9,10-tetramethyl-1-oxodecahydro-3a,9-propanocyclopenta[8]annulen-5-yl acetate (mutilin 11-acetate),

L. (3aS,4R,5S,6S,8R,9R,9aR,10R)-6-ethenyl-5-hydroxy-4,6,9,10-tetramethyl-1-oxodecahydro-3a,9-propanocyclopenta[8]annulen-8-yl [(4-methylbenzene-1-sulfonyl)oxy]acetate (pleuromutilin 22-tosylate),

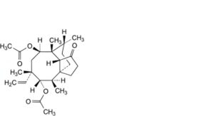
M. (3aS,4R,5S,6S,8R,9R,9aR,10R)-6-ethenyl-4,6,9,10-tetramethyl-1-oxodecahydro-3a,9-propanocyclopenta[8]annulen-5,8-diyl diacetate (mutilin 11,14-diacetate),

N. (2E)-4-[2-[[(3aS,4R,5S,6S,8R,9R,9aR,10R)-6-ethenyl-5-hydroxy-4,6,9,10-tetramethyl-1-oxodecahydro-3a,9-propanocyclopenta[8]annulen-8-yl]oxy]-2-oxoethoxy]-4-oxobut-2-enoic acid (pleuromutilin 22-fumarate),

O. 2-(diethylamino)ethane-1-thiol,

P. (3aS,4R,5S,6S,8R,9R,9aR,10R)-6-ethenyl-5-hydroxy-4,6,9,10-tetramethyl-1-oxodecahydro-3a,9-propanocyclopenta[8]annulen-8-yl [(benzenesulfonyl)oxy]acetate,

Q. (2Ξ,3aS,4R,5S,6S,8R,9R,10R)-6-ethenyl-2,5-dihydroxy-4,6,9,10-tetramethyl-2,3,4,5,6,7,8,9-octahydro-3a,9-propanocyclopenta[8]annulen-8-yl [[2-(diethylamino)ethyl]sulfanyl]acetate (3,4-didehydro-2-hydroxytiamulin),

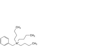
R. N-benzyl-N,N-dibutylbutan-1-aminium,

S. (1RS,3aR,4R,5S,6S,8R,9R,9aR,10R)-6-ethenyl-1-ethyl-1,5-dihydroxy-4,6,9,10,12,12-hexamethyldecahydro-3a,9-propanocyclopenta[8]annulen-8-yl [[2-(diethylamino)ethyl]sulfanyl]acetate,

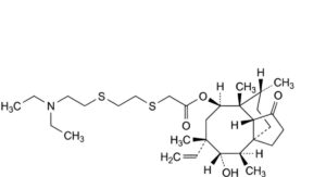
T. (3aS,4R,5S,6S,8R,9R,9aR,10R)-6-ethenyl-5-hydroxy-4,6,9,10-tetramethyl-1-oxodecahydro-3a,9-propanocyclopenta[8]annulen-8-yl [[2-[[2-(diethylamino)ethyl]sulfanyl]ethyl]sulfanyl]acetate.






