Edition: BP 2025 (Ph. Eur. 11.6 update)
(Ph. Eur. monograph 1373)

C19H28O2 288.4 58-22-0
Action and use
Androgen.
Preparation
Testosterone Implants
Ph Eur
DEFINITION
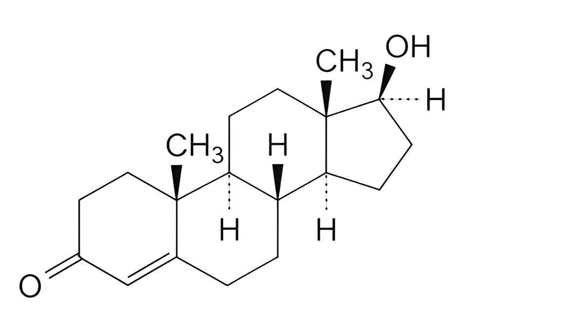
17β-Hydroxyandrost-4-en-3-one.
Content
98.0 per cent to 102.0 per cent (dried substance).
CHARACTERS
Appearance
White or almost white crystalline powder, or colourless or yellowish-white crystals.
Solubility
Practically insoluble in water, freely soluble in ethanol (96 per cent) and in methylene chloride, practically insoluble in fatty oils.
mp
About 155 °C.
IDENTIFICATION
Infrared absorption spectrophotometry (2.2.24).
Comparison testosterone for ID and assay CRS.
TESTS
Specific optical rotation (2.2.7)
+ 106 to + 114 (dried substance).
Dissolve 0.250 g in anhydrous ethanol R and dilute to 25.0 mL with the same solvent.
Related substances
Liquid chromatography (2.2.29).
Solvent mixture acetonitrile R, water R (30:70 V/V).
Test solution Dissolve 35.0 mg of the substance to be examined in 30 mL of acetonitrile R and dilute to 100.0 mL with water R.
Reference solution (a) Dissolve 9 mg of testosterone for system suitability A CRS (containing impurities C, G and K) in 8 mL of acetonitrile R and dilute to 25 mL with water R.
Reference solution (b) Dissolve 7.0 mg of testosterone impurity I CRS in 30 mL of acetonitrile R and dilute to 100.0 mL with water R. Dilute 1.0 mL of the solution to 100.0 mL with the solvent mixture.
Reference solution (c) Dilute 1.0 mL of the test solution to 100.0 mL with the solvent mixture. Dilute 1.0 mL of this solution to 10.0 mL with the solvent mixture.
Reference solution (d) Dissolve 35.0 mg of testosterone for ID and assay CRS in 30 mL of acetonitrile R and dilute to 100.0 mL with water R.
Column:
— size: l = 0.10 m, Ø = 4.6 mm;
— stationary phase: end-capped solid core phenylhexylsilyl silica gel for chromatography R (2.7 μm);
— temperature: 30 °C.
Mobile phase:
— mobile phase A: water for chromatography R;
— mobile phase B: acetonitrile for chromatography R;
| Time (min) | Mobile phase A (per cent V/V) | Mobile phase B (per cent V/V) |
| 0 – 2.7 | 65 | 35 |
| 2.7 – 7 | 65 → 63 | 35 → 37 |
| 7 – 10 | 63 → 10 | 37 → 90 |
| 10 – 12 | 10 | 90 |
Flow rate 1.5 mL/min.
Detection Spectrophotometer at 242 nm, and for impurity I, at 290 nm.
Injection 20 μL of the test solution and reference solutions (a), (b) and (c).
Identification of impurities Use the chromatogram supplied with testosterone for system suitability A CRS and the chromatogram obtained with reference solution (a) to identify the peaks due to impurities C, G and K; use the chromatogram obtained with reference solution (b) to identify the peak due to impurity I.
Relative retention With reference to testosterone (retention time = about 4 min): impurity I = about 0.84; impurity K = about 0.86; impurity G = about 1.1; impurity C = about 1.3.
System suitability Reference solution (a):
— peak-to-valley ratio: minimum 2.0, where Hp = height above the baseline of the peak due to impurity G and
Hv = height above the baseline of the lowest point of the curve separating this peak from the peak due to testosterone.
Calculation of percentage contents:
— for impurity I, use the concentration of impurity I in reference solution (b);
— for impurities other than I, use the concentration of testosterone in reference solution (c).
Limits:
— impurity C: maximum 0.3 per cent;
— impurity I at 290 nm: maximum 0.2 per cent;
— impurity K: maximum 0.15 per cent;
— unspecified impurities: for each impurity, maximum 0.10 per cent;
— total: maximum 0.6 per cent;
— reporting threshold: 0.05 per cent.
Loss on drying (2.2.32)
Maximum 1.0 per cent, determined on 0.500 g by drying in an oven at 105 °C for 2 h.
ASSAY
Liquid chromatography (2.2.29) as described in the test for related substances with the following modification.
Injection 5 μL of the test solution and reference solution (d).
Calculate the percentage content of C19H28O2 taking into account the assigned content of testosterone for ID and assay CRS.
STORAGE
Protected from light.
IMPURITIES
Specified impurities C, I, K.
Other detectable impurities (the following substances would, if present at a sufficient level, be detected by one or other of the tests in the monograph. They are limited by the general acceptance criterion for other/unspecified impurities and/or by the general monograph Substances for pharmaceutical use (2034). It is therefore not necessary to identify these impurities for demonstration of compliance. See also 5.10. Control of impurities in substances for pharmaceutical use) A, B, E, G, H, J, L, M.

A. androst-4-ene-3,17-dione (androstenedione),

B. 3-ethoxyandrosta-3,5-dien-17-one (androstenedione ethylenolether),

C. 17α-hydroxyandrost-4-en-3-one (17-epi-testosterone),

E. 3-oxoandrost-4-en-17β-yl acetate (testosterone acetate),

G. androsta-1,4-diene-3,17-dione (androstadienedione),

H. 17β-hydroxyandrosta-1,4-dien-3-one (boldenone),

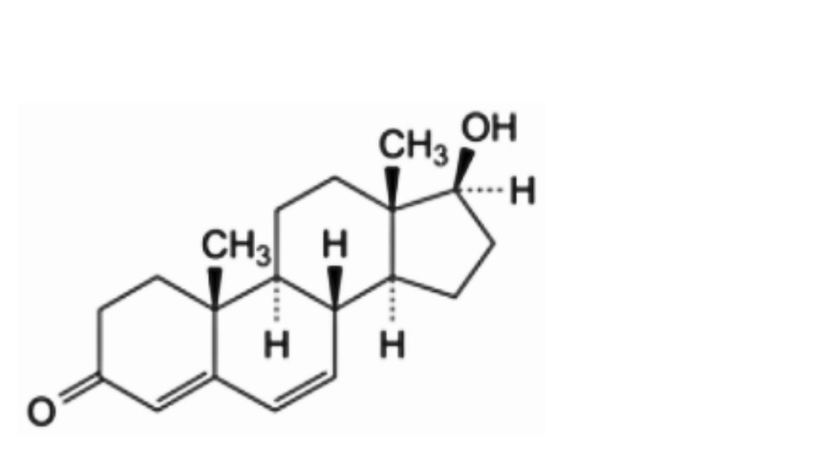
I. 17β-hydroxyandrosta-4,6-dien-3-one (Δ6-testosterone),

J. 3-methoxyandrosta-3,5-dien-17-one (androstenedione methylenolether),

K. 17β-hydroxyandrosta-4,8-dien-3-one,

L. 17β-hydroxyandrosta-4,9(11)-dien-3-one,

M. 17β-hydroxyandrosta-4,8(14)-dien-3-one.
Ph Eur






