Edition: BP 2025 (Ph. Eur. 11.6 update)
(Ph. Eur. monograph 0297)
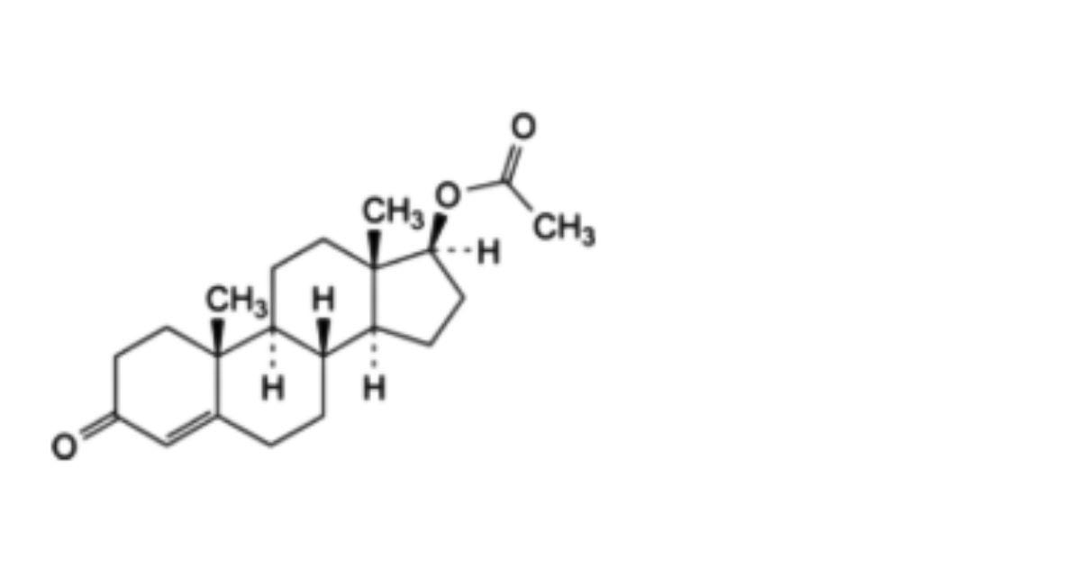
C₂₂H₃₂O₃ 344.5 57-85-2
Androgen.
Preparation
Testosterone Propionate Injection
Ph Eur
DEFINITION
3-Oxoandrost-4-en-17β-yl propanoate.
Content
97.5 per cent to 102.0 per cent (dried substance).
CHARACTERS
Appearance:
White or almost white powder or colourless crystals.
Solubility:
Practically insoluble in water, freely soluble in acetone and in ethanol (96 per cent), soluble in fatty oils.
IDENTIFICATION
Testosterone Propionate
Infrared absorption spectrophotometry (2.2.24).
Comparison testosterone propionate CRS.
TESTS
Specific optical rotation (2.2.7)
+84 to +90 (dried substance).
Dissolve 0.250 g in ethanol R and dilute to 25.0 mL with the same solvent.
Related substances
Liquid chromatography (2.2.29).
Test solution:
Dissolve 20.0 mg of the substance to be examined in methanol R and dilute to 50.0 mL with the same solvent.
Reference solution (a):
Dissolve 2 mg of testosterone propionate for system suitability CRS (containing impurities A, B and C) in 5.0 mL of methanol R.
Reference solution (b):
Dilute 1.0 mL of the test solution to 100.0 mL with methanol R. Dilute 1.0 mL of this solution to 10.0 mL with methanol R.
Reference solution (c):
Dissolve 20.0 mg of testosterone propionate CRS in 50.0 mL of methanol R.
Column:
— size: l = 0.25 m, Ø = 4.6 mm;
— stationary phase: octadecylsilyl silica gel for chromatography R (5 µm).
Mobile phase:
water R, methanol R (20:80 V/V).
Flow rate:
1.5 mL/min.
Detection:
Spectrophotometer at 254 nm.
Injection:
20 µL of the test solution and reference solutions (a) and (b).
Run time:
Twice the retention time of testosterone propionate.
Identification of impurities:
Use the chromatogram supplied with testosterone propionate for system suitability CRS and the chromatogram obtained with reference solution (a) to identify the peaks due to impurities A, B and C.
Relative retention:
With reference to testosterone propionate (retention time = about 8 min):
impurity C = about 0.4;
impurity A = about 0.7;
impurity B = about 1.4.
System suitability:
Reference solution (a):
— peak-to-valley ratio: minimum 3.0, where Hp = height above the baseline of the peak due to impurity B and Hv = height above the baseline of the lowest point of the curve separating this peak from the peak due to testosterone propionate.
Limits:
— impurity A: not more than 5 times the area of the principal peak in the chromatogram obtained with reference solution (b) (0.5 per cent);
— impurity C: not more than twice the area of the principal peak in the chromatogram obtained with reference solution (b) (0.2 per cent);
— unspecified impurities: for each impurity, not more than the area of the principal peak in the chromatogram obtained with reference solution (b) (0.10 per cent);
— total: not more than 7 times the area of the principal peak in the chromatogram obtained with reference solution (b) (0.7 per cent);
— disregard limit: 0.5 times the area of the principal peak in the chromatogram obtained with reference solution (b) (0.05 per cent).
Loss on drying (2.2.32)
Maximum 0.5 per cent, determined on 1.000 g by drying in an oven at 105 °C for 2 h.
ASSAY
Liquid chromatography (2.2.29) as described in the test for related substances with the following modification.
Injection:
Test solution and reference solution (c).
Calculate the percentage content of C₂₂H₃₂O₃ taking into account the assigned content of testosterone propionate CRS.
IMPURITIES
Specified impurities:
A, C.
Other detectable impurities (the following substances would, if present at a sufficient level, be detected by one or other of the tests in the monograph. They are limited by the general acceptance criterion for other/unspecified impurities and/or by the general monograph Substances for pharmaceutical use (2034). It is therefore not necessary to identify these impurities for demonstration of compliance. See also 5.10. Control of impurities in substances for pharmaceutical use):
B, D, E.











