(Ph. Eur. monograph 0955)
C32H41NO2 471.7 50679-08-8
Action and use
Histamine H1 receptor antagonist; antihistamine.
DEFINITION
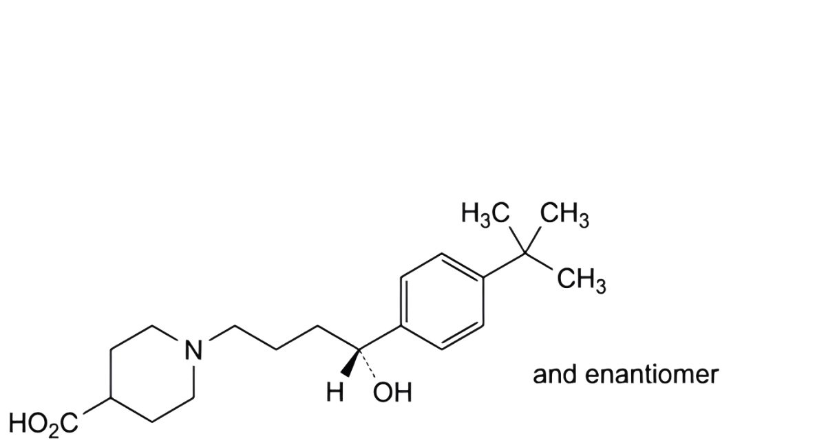
(1RS)-1-[4-(1,1-Dimethylethyl)phenyl]-4-[4-(hydroxydiphenylmethyl)piperidin-1-yl]butan-1-ol.
Content
98.5 per cent to 101.0 per cent (dried substance).
CHARACTERS
Appearance
White or almost white, crystalline powder.
Solubility
Very slightly soluble in water, freely soluble in methylene chloride, soluble in methanol. It is very slightly soluble in dilute hydrochloric acid.
It shows polymorphism (5.9).
IDENTIFICATION
First identification: C.
Second identification: A, B, D.
A. Melting point (2.2.14): 146 °C to 152 °C.
B. Ultraviolet and visible absorption spectrophotometry (2.2.25).
Test solution Dissolve 50.0 mg in methanol R and dilute to 100.0 mL with the same solvent.
Spectral range 230-350 nm.
Absorption maximum At 259 nm.
Shoulders At 253 nm and 270 nm.
Specific absorbance at the absorption maximum 13.5 to 14.9.
C. Infrared absorption spectrophotometry (2.2.24).
Comparison terfenadine CRS.
D. Thin-layer chromatography (2.2.27).
Test solution Dissolve 50 mg of the substance to be examined in methylene chloride R and dilute to 10 mL with the same solvent.
Reference solution Dissolve 50 mg of terfenadine CRS in methylene chloride R and dilute to 10 mL with the same solvent.
Plate TLC silica gel F254 plate R.
Mobile phase methanol R, methylene chloride R (10:90 V/V).
Application 10 µL.
Development Over a path of 15 cm.
Drying In air.
Detection Examine in ultraviolet light at 254 nm.
Results The principal spot in the chromatogram obtained with the test solution is similar in position and size to the principal spot in the chromatogram obtained with the reference solution.
TESTS
Related substances
Liquid chromatography (2.2.29).
Test solution Dissolve 15 mg of the substance to be examined in the mobile phase and dilute to 10.0 mL with the mobile phase.
Reference solution (a) Dilute 1.0 mL of the test solution to 10.0 mL with the mobile phase. Dilute 1.0 mL of this solution to 20.0 mL with the mobile phase.
Reference solution (b) Dissolve 15 mg of terfenadine impurity A CRS in the mobile phase and dilute to 10.0 mL with the mobile phase. To 5.0 mL of this solution, add 5.0 mL of the test solution and dilute to 50.0 mL with the mobile phase.
Reference solution (c) Dilute 10.0 mL of reference solution (a) to 25.0 mL with the mobile phase.
Reference solution (d) Dissolve 0.1 g of potassium iodide R in the mobile phase and dilute to 100 mL with the mobile phase. Dilute 1 mL of this solution to 100 mL with the mobile phase.
Column:
— size: l = 0.25 m, Ø = 4.6 mm;
— stationary phase: octylsilyl silica gel for chromatography R (5 µm).
Mobile phase Dilute 600 mL of acetonitrile R1 to 1 L with diethylammonium phosphate buffer solution pH 6.0 R.
Flow rate 1 mL/min.
Detection Spectrophotometer at 217 nm.
Injection 20 µL.
Run time 5 times the retention time of terfenadine.
System suitability Reference solution (b):
— resolution: minimum 5.0 between the peaks due to terfenadine and impurity A;
— mass distribution ratio: minimum 2.0 for the peak due to terfenadine; use potassium iodide R as the unretained compound (reference solution (d)).
Limits:
— impurities A, B, C, D, E, F, G, H, I, J: for each impurity, not more than the area of the principal peak in the chromatogram obtained with reference solution (c) (0.2 per cent);
— total: not more than the area of the principal peak in the chromatogram obtained with reference solution (a) (0.5 per cent);
— disregard limit: 0.025 times the area of the principal peak in the chromatogram obtained with reference solution (c) (0.005 per cent).
Loss on drying (2.2.32)
Maximum 0.5 per cent, determined on 1.000 g by drying at 60 °C at a pressure not exceeding 0.5 kPa.
Sulfated ash (2.4.14)
Maximum 0.1 per cent, determined on 1.0 g.
ASSAY
Dissolve 0.400 g in 50 mL of anhydrous acetic acid R. Titrate with 0.1 M perchloric acid, determining the end-point potentiometrically (2.2.20).
1 mL of 0.1 M perchloric acid is equivalent to 47.17 mg of C32H41NO2.
STORAGE
Protected from light.
IMPURITIES
Specified impurities A, B, C, D, E, F, G, H, I, J.

A. 1-[4-(1,1-dimethylethyl)phenyl]-4-[4-(hydroxydiphenylmethyl)piperidin-1-yl]butan-1-one,

B. (1RS)-1-[4-(1,1-dimethylethyl)phenyl]-4-[4-(diphenylmethyl)piperidin-1-yl]butan-1-ol,

C. 1-[(4RS)-4-[4-(1,1-dimethylethyl)phenyl]-4-hydroxybutyl]-4-(hydroxydiphenylmethyl)piperidine 1-oxide,

D. (1RS)-1-[4-(1,1-dimethylethyl)phenyl]-4-[4-(diphenylmethylene)piperidin-1-yl]butan-1-ol,

E. 1-[(4RS)-4-[4-(1,1-dimethylethyl)phenyl]-4-hydroxybutyl]piperidine-4-carboxylic acid,

F. 1-[4-[4-(1,1-dimethylethyl)phenyl]but-3-enyl]-4-(diphenylmethylene)piperidine,

G. [1-[4-[4-(1,1-dimethylethyl)phenyl]but-3-enyl]piperidin-4-yl]diphenylmethanol,

H. [1-[4-[4-(1,1-dimethylethyl)phenyl]butyl]piperidin-4-yl]diphenylmethanol,

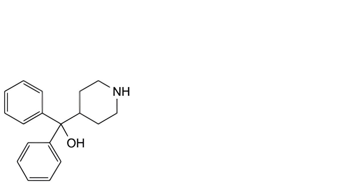
I. diphenyl(piperidin-4-yl)methanol,

J. ethyl 1-[(4RS)-4-[4-(1,1-dimethylethyl)phenyl]-4-hydroxybutyl]piperidine-4-carboxylate.






