(Ph. Eur. 11.6 update)
(Ph. Eur. monograph 0690)

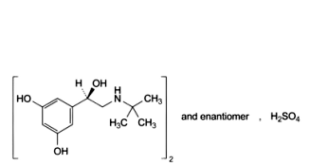
C24H40N2O10S 548.6 23031-32-5
Action and use
Beta2-adrenoceptor agonist; bronchodilator.
Preparation
Terbutaline Tablets
DEFINITION
Bis[5-[(1RS)-2-(tert-butylamino)-1-hydroxyethyl]benzene-1,3-diol] sulfate.
Content
98.5 per cent to 101.0 per cent (dried substance).
CHARACTERS
Appearance
White or almost white, crystalline powder.
Solubility
Freely soluble in water, slightly soluble in ethanol (96 per cent), practically insoluble in heptane.
It shows polymorphism (5.9).
IDENTIFICATION
A. Infrared absorption spectrophotometry (2.2.24).
Comparison terbutaline sulfate CRS.
If the spectra obtained in the solid state show differences, dissolve the substance to be examined and the reference substance separately in aldehyde-free methanol R, evaporate to dryness and record new spectra using the residues.
B. 5 mL of solution S (see Tests) gives reaction (a) of sulfates (2.3.1).
TESTS
Solution S
Dissolve 1.0 g in carbon dioxide-free water R and dilute to 50.0 mL with the same solvent.
Appearance of solution
Solution S is clear (2.2.1) and its absorbance (2.2.25) at 400 nm in a 2 cm cell is not greater than 0.11.
Acidity
To 10 mL of solution S add 0.05 mL of methyl red solution R. Not more than 1.2 mL of 0.01 M sodium hydroxide is required to change the colour of the indicator to yellow.
Optical rotation (2.2.7)
-0.10° to +0.10°, determined on solution S.
Related substances
Liquid chromatography (2.2.29).
Test solution
Dissolve 75.0 mg of the substance to be examined in the mobile phase and dilute to 50.0 mL with the mobile phase.
Reference solution (a)
Dissolve 7.5 mg of terbutaline impurity C CRS and 22.5 mg of terbutaline sulfate CRS in the mobile phase and dilute to 50 mL with the mobile phase. Dilute 1 mL of the solution to 100 mL with the mobile phase.
Reference solution (b)
Dilute 1.0 mL of the test solution to 100.0 mL with the mobile phase. Dilute 1.0 mL of this solution to 10.0 mL with the mobile phase.
Column:
— size: l = 0.15 m, Ø = 4.6 mm;
— stationary phase: base-deactivated end-capped octadecylsilyl silica gel for chromatography R (5 μm).
Mobile phase
Prepare a 0.050 M ammonium formate solution as follows: dissolve 3.15 g of ammonium formate R in about 980 mL of water for chromatography R, adjust to pH 3.0 by adding about 8 mL of anhydrous formic acid R and dilute to 1000 mL with water for chromatography R. Dissolve 4.23 g of sodium hexanesulfonate R in 770 mL of the 0.050 M ammonium formate solution, then add 230 mL of methanol R.
Flow rate 1.0 mL/min.
Detection Spectrophotometer at 276 nm.
Injection 20 μL.
Run time. 6 times the retention time of terbutaline.
Identification of impurities Use the chromatogram obtained with reference solution (a) to identify the peak due to impurity C.
Relative retention. With reference to terbutaline (retention time = about 10 min): impurity C = about 0.9.
System suitability. Reference solution (a):
— resolution: minimum 2.0 between the peaks due to impurity C and terbutaline.
Calculation of percentage contents:
— for each impurity, use the concentration of terbutaline sulfate in reference solution (b).
Limits:
— unspecified impurities: for each impurity, maximum 0.10 per cent;
— total: maximum 0.2 per cent;
— reporting threshold: 0.05 per cent.
Loss on drying (2.2.32)
Maximum 0.5 per cent, determined on 1.000 g by drying in an oven at 105 °C for 3 h.
ASSAY
Dissolve 0.400 g in 70 mL of anhydrous acetic acid R with heating. Titrate with 0.1 M perchloric acid, determining the end-point potentiometrically (2.2.20).
1 mL of 0.1 M perchloric acid is equivalent to 54.86 mg of. C24H40N2O10S
IMPURITIES
Other detectable impurities (the following substances would, if present at a sufficient level, be detected by one or other of the tests in the monograph. They are limited by the general acceptance criterion for other/unspecified impurities and/or by the general monograph Substances for pharmaceutical use (2034). It is therefore not necessary to identify these impurities for demonstration of compliance. See also 5.10. Control of impurities in substances for pharmaceutical use) A, B, C, D.

A. 3,5-dihydroxybenzoic acid (α-resorcylic acid)

B. (4RS)-2-tert-butyl-1,2,3,4-tetrahydroisoquinoline-4,6,8-triol

C. 2-(tert-butylamino)-1-(3,5-dihydroxyphenyl)ethan-1-one
![D. 2-[benzyl(tert-butyl)amino]-1-(3,5-dihydroxyphenyl)ethan-1-one](https://nhathuocngocanh.com/bp/wp-content/uploads/2025/11/D.-2-benzyltert-butylamino-1-35-dihydroxyphenylethan-1-one.jpg)
D. 2-[benzyl(tert-butyl)amino]-1-(3,5-dihydroxyphenyl)ethan-1-one






