Edition: BP 2025 (Ph. Eur. 11.6 update)
General Notices
Ph. Eur. monograph 1734

Action and use
Antifungal.
Preparation: Terbinafine Tablets Ph Eur
DEFINITION
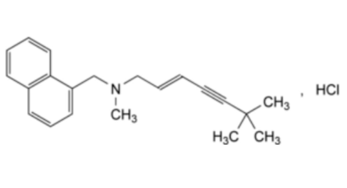
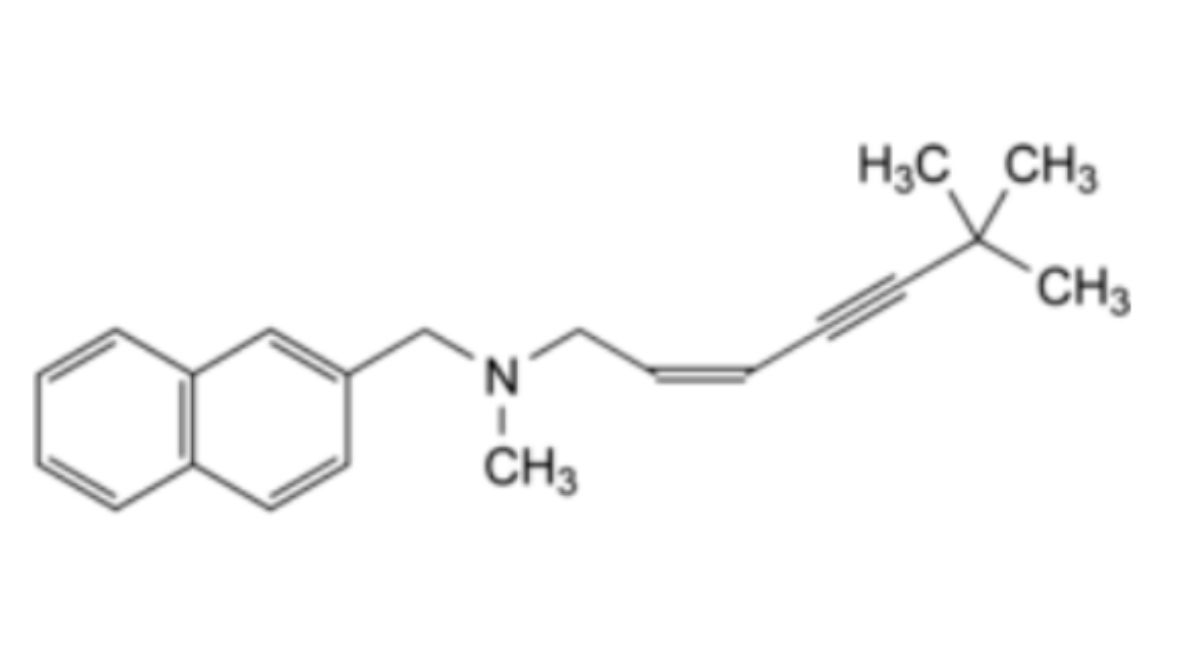
(2E)-N,6,6-Trimethyl-N-(naphthalen-1-ylmethyl)hept-2-en-4-yn-1-amine hydrochloride.
Content: 99.0 per cent to 101.0 per cent (dried substance).
CHARACTERS
Appearance
White or almost white powder.
Solubility
Very slightly or slightly soluble in water, freely soluble in anhydrous ethanol and in methanol, slightly soluble in acetone.
IDENTIFICATION
A. Infrared absorption spectrophotometry (2.2.24). Comparison with terbinafine hydrochloride CRS.
B. It gives reaction (a) of chlorides (2.3.1) using anhydrous ethanol R as solvent.
TESTS
Related substances
Liquid chromatography (2.2.29). Carry out the test protected from light.
Solvent mixture A: acetonitrile R, water R (50:50 V/V).
Solvent mixture B: acetonitrile R, methanol R (40:60 V/V).
Buffer solution: Dilute 2.0 mL of triethylamine R1 to 950 mL with water R. Adjust to pH 7.5 with a mixture of 5 volumes of glacial acetic acid R and 95 volumes of water R and dilute to 1000.0 mL with water R.
Test solution: Dissolve 25 mg of the substance to be examined in solvent mixture A and dilute to 50.0 mL with solvent mixture A.
Reference solution (a): Dissolve 5 mg of terbinafine for system suitability CRS (containing impurities B and E) in 10.0 mL of solvent mixture A.
Reference solution (b): Dilute 1.0 mL of the test solution to 100.0 mL with solvent mixture A. Dilute 1.0 mL of this solution to 10.0 mL with solvent mixture A.
Column:
– size: l = 0.15 m, Ø = 3.0 mm
– stationary phase: spherical end-capped octadecylsilyl silica gel for chromatography R (5 μm)
– temperature: 40 °C.
Mobile phase:
– Mobile phase A: buffer solution, solvent mixture B (30:70 V/V)
– Mobile phase B: buffer solution, solvent mixture B (5:95 V/V)
| Time (min) | Mobile phase A (per cent V/V) | Mobile phase B (per cent V/V) |
| 0 – 4 | 100 | 0 |
| 4 – 25 | 100 → 0 | 0 → 100 |
| 25 – 30 | 0 | 100 |
Flow rate 0.8 mL/min.
Detection Spectrophotometer at 280 nm.
Injection 20 μL.
Identification of impurities Use the chromatogram supplied with terbinafine for system suitability CRS and the chromatogram obtained with reference solution (a) to identify the peaks due to impurities B and E.
Relative retention With reference to terbinafine (retention time = about 15 min): impurity B = about 0.9; impurity E = about 1.7.
System suitability Reference solution (a):
— resolution: minimum 2.0 between the peaks due to impurity B and terbinafine.
Limits:
— correction factor: for the calculation of content, multiply the peak area of impurity E by 0.5;
— impurity B: not more than 1.5 times the area of the principal peak in the chromatogram obtained with reference solution (b) (0.15 per cent);
— impurity E: not more than 0.5 times the area of the principal peak in the chromatogram obtained with reference solution (b) (0.05 per cent);
— unspecified impurities: for each impurity, not more than the area of the principal peak in the chromatogram obtained with reference solution (b) (0.10 per cent);
— total: not more than 3 times the area of the principal peak in the chromatogram obtained with reference solution (b) (0.3 per cent);
— disregard limit: 0.5 times the area of the principal peak in the chromatogram obtained with reference solution (b) (0.05 per cent).
Loss on drying (2.2.32)
Maximum 0.5 per cent, determined on 1.000 g by drying in an oven at 105 °C.
Sulfated ash (2.4.14)
Maximum 0.1 per cent, determined on 1.0 g.
ASSAY
Dissolve 0.250 g in 50 mL of ethanol (96 per cent) R, add 5 mL of 0.01 M hydrochloric acid. Titrate with 0.1 M sodium hydroxide determining the end-point potentiometrically (2.2.20). Read the volume added between the 2 points of inflexion.
1 mL of 0.1 M sodium hydroxide is equivalent to 32.79 mg of C21H26ClN.
STORAGE
Protected from light.
IMPURITIES
Specified impurities B, E.
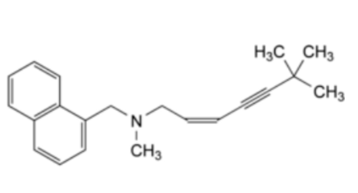
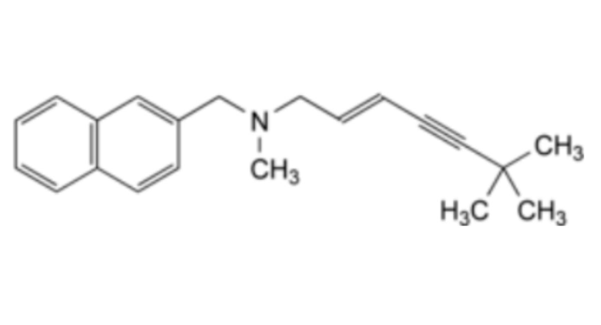
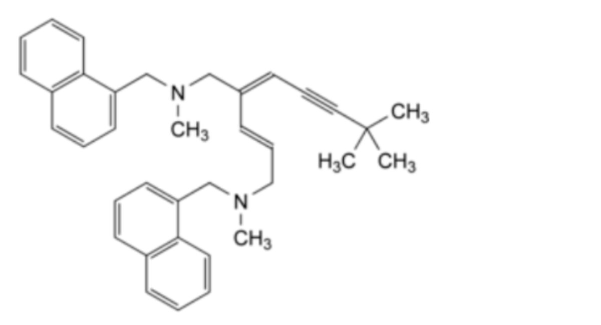
Other detectable impurities (the following substances would, if present at a sufficient level, be detected by one or other of the tests in the monograph. They are limited by the general acceptance criterion for other/unspecified impurities and/or by the general monograph Substances for pharmaceutical use (2034). It is therefore not necessary to identify these impurities for demonstration of compliance. See also 5.10. Control of impurities in substances for pharmaceutical use) A, C, D, F.



![D. (2E)-N,6,6-trimethyl-N-[(4-methylnaphthalen-1-yl)methyl]hept-2-en-4-yn-1-amine (4-methylterbinafine),](https://nhathuocngocanh.com/bp/wp-content/uploads/2025/11/Terbinafine-Hydrochloride-6.jpg)








