Edition: BP 2025 (Ph. Eur. 11.6 update)

C6H6N6O2 194.2 85622-93-1
Action and use
Antineoplastic alkylating agent.
Preparations
Temozolomide Capsules
Temozolomide for Injection
Ph Eur
DEFINITION
3-Methyl-4-oxo-3,4-dihydroimidazo[5,1-d][1,2,3,5]tetrazine-8-carboxamide.
Content
98.0 per cent to 102.0 per cent (anhydrous substance).
CHARACTERS
Appearance
White or slightly brown or slightly pink powder.
Solubility
Sparingly soluble in water, soluble in dimethyl sulfoxide, very slightly soluble in ethanol (96 per cent), practically insoluble in toluene.
IDENTIFICATION
A. Infrared absorption spectrophotometry (2.2.24).
Comparison temozolomide CRS.
B. Examine the chromatograms obtained in the assay.
Results The principal peak in the chromatogram obtained with test solution (b) is similar in retention time and size to the principal peak in the chromatogram obtained with reference solution (d).
TESTS
Related substances
Liquid chromatography (2.2.29).
Test solution (a) Dissolve 25.0 mg of the substance to be examined in dimethyl sulfoxide R and dilute to 25.0 mL with the same solvent.
Test solution (b) Dilute 1.0 mL of test solution (a) to 10.0 mL with dimethyl sulfoxide R.
Reference solution (a) Dilute 1.0 mL of test solution (a) to 100.0 mL with dimethyl sulfoxide R. Dilute 1.0 mL of this solution to 10.0 mL with dimethyl sulfoxide R.
Reference solution (b) In order to prepare impurities A, B and E in situ, mix 5 mL of a 10.3 g/L solution of hydrochloric acid R and 5 mL of test solution (a). Heat the mixture in a water-bath for 1 h.
Reference solution (c) Dissolve 2 mg of temozolomide for peak identification CRS (containing impurity D) in 2 mL of dimethyl sulfoxide R.
Reference solution (d) Dissolve 25.0 mg of temozolomide CRS in dimethyl sulfoxide R and dilute to 25.0 mL with the same solvent. Dilute 1.0 mL of the solution to 10.0 mL with dimethyl sulfoxide R.
Column:
— size: l = 0.15 m, Ø = 4.6 mm;
— stationary phase: end-capped octadecylsilyl silica gel for chromatography R (5 μm).
Mobile phase 0.94 g/L solution of sodium hexanesulfonate R in a mixture of 4 volumes of methanol R and 96 volumes of a 0.5 per cent V/V solution of glacial acetic acid R.
Flow rate 1.0 mL/min.
Detection Spectrophotometer at 270 nm.
Injection 10 μL of test solution (a) and reference solutions (a), (b) and (c).
Run time 3 times the retention time of temozolomide.
Identification of impurities Use the chromatogram obtained with reference solution (b) to identify the peaks due to impurities A, B and E; use the chromatogram supplied with temozolomide for peak identification CRS and the chromatogram obtained with reference solution (c) to identify the peak due to impurity D.
Relative retention With reference to temozolomide (retention time = about 11 min): impurity E = about 0.4; impurity D = about 0.5; impurity B = about 0.9; impurity A = about 1.7. The peak due to impurity A in the chromatogram obtained with test solution (a) may be split.
System suitability Reference solution (b):
— resolution: minimum 1.5 between the peaks due to impurity B and temozolomide.
Calculation of percentage contents:
— correction factors: multiply the peak areas of the following impurities by the corresponding correction factor: impurity A = 0.4; impurity E = 0.6;
— for each impurity, use the concentration of temozolomide in reference solution (a).
Limits:
— impurity D: maximum 0.5 per cent;
— impurity A (sum of the peaks): maximum 0.15 per cent;
— impurities B, E: for each impurity, maximum 0.15 per cent;
— unspecified impurities: for each impurity, maximum 0.10 per cent;
— total: maximum 0.8 per cent;
— reporting threshold: 0.05 per cent.
Water (2.5.32)
Maximum 0.4 per cent, determined on 50.0 mg.
Sulfated ash (2.4.14)
Maximum 0.1 per cent, determined on 1.0 g.
ASSAY
Liquid chromatography (2.2.29) as described in the test for related substances with the following modification.
Injection Test solution (b) and reference solution (d).
Calculate the percentage content of C6H6N6O2 taking into account the assigned content of temozolomide CRS.
IMPURITIES
Specified impurities A, B, D, E.
Other detectable impurities (the following substances would, if present at a sufficient level, be detected by one or other of the tests in the monograph. They are limited by the general acceptance criterion for other/unspecified impurities and/or by the general monograph Substances for pharmaceutical use (2034). It is therefore not necessary to identify these impurities for demonstration of compliance. See also 5.10. Control of impurities in substances for pharmaceutical use) C.

A. 5-amino-1H-imidazole-4-carboxamide,

B. 3-methyl-4-oxo-3,4-dihydroimidazo[5,1-d][1,2,3,5]tetrazine-8-carboxylic acid,

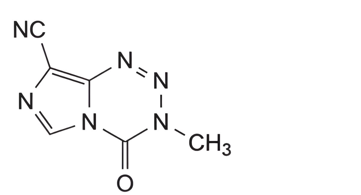
C. 3-methyl-4-oxo-3,4-dihydroimidazo[5,1-d][1,2,3,5]tetrazine-8-carbonitrile,

D. 4-diazo-4H-imidazole-5-carboxamide,

E. 3,7-dihydro-4H-imidazo[4,5-d][1,2,3]triazin-4-one (2-azahypoxanthine).
Ph Eur






