(Ph. Eur. 11.6 update)
General Notices
(Ph. Eur. monograph 2154)

C33H30N4O2 514.6 144701-48-4
Action and use
Angiotensin II (AT1) receptor antagonist.
Preparation
Telmisartan Tablets
Ph Eur
DEFINITION
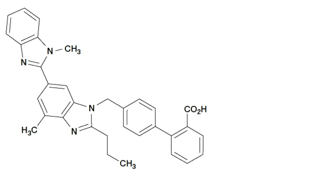
4′-[[4-Methyl-6-(1-methyl-1H-benzimidazol-2-yl)-2-propyl-1H-benzimidazol-1-yl]methyl][1,1′-biphenyl]-2-carboxylic acid.
Content
99.0 per cent to 101.0 per cent (dried substance).
CHARACTERS
Appearance
White or slightly yellowish, crystalline powder.
Solubility
Practically insoluble in water, slightly soluble in methanol, sparingly soluble in methylene chloride.
It dissolves in a 40 g/L solution of sodium hydroxide R.
It shows polymorphism (5.9).
IDENTIFICATION
Infrared absorption spectrophotometry (2.2.24).
Comparison telmisartan CRS.
If the spectra obtained in the solid state show differences, dissolve the substance to be examined and the reference substance separately in hot anhydrous ethanol R, evaporate to dryness and record new spectra using the residues.
TESTS
Appearance of solution
The solution is not more intensely coloured than reference solution Y4 (2.2.2, Method II).
Dissolve 0.5 g in a 40 g/L solution of sodium hydroxide R and dilute to 10 mL with the same solvent.
Related substances
Liquid chromatography (2.2.29).
Test solution
To 25 mg of the substance to be examined add about 5 mL of methanol R and 100 μL of a 40 g/L solution of sodium hydroxide R.
Dissolve using sonication and dilute to 50.0 mL with methanol R.
Reference solution (a)
Dilute 1.0 mL of the test solution to 10.0 mL with methanol R.
Dilute 1.0 mL of this solution to 100.0 mL with methanol R.
Reference solution (b)
Dissolve the contents of a vial of telmisartan for system suitability CRS (containing impurities A, B, C, E and F) in 2 mL of methanol R.
Reference solution (c)
To 5 mg of telmisartan for peak identification CRS (containing impurity D) add about 5 mL of methanol R and 100 μL of a 40 g/L solution of sodium hydroxide R.
Dissolve using sonication and dilute to 10 mL with methanol R.
Column:
— size: l = 0.125 m, Ø = 4.0 mm;
— stationary phase: end-capped octadecylsilyl silica gel for chromatography R (5 μm) with a pore size of 10 nm;
— temperature: 40 °C.
Mobile phase:
— mobile phase A: dissolve 2.0 g of potassium dihydrogen phosphate R and 3.8 g of sodium pentanesulfonate monohydrate R1 in 900 mL of water for chromatography R, adjust to pH 3.0 with dilute phosphoric acid R and dilute to 1000 mL with water for chromatography R;
— mobile phase B: methanol R1, acetonitrile for chromatography R (20:80 V/V).
| Time (min) | Mobile phase A (% V/V) | Mobile phase B (% V/V) |
|---|---|---|
| 0 – 3 | 70 | 30 |
| 3 – 28 | 70 → 20 | 30 → 80 |
Flow rate 1 mL/min.
Detection Spectrophotometer at 230 nm.
Injection 10 μL.
Identification of impurities
Use the chromatogram supplied with telmisartan for system suitability CRS and the chromatogram obtained with reference solution (b) to identify the peaks due to impurities A, B, C, E and F; use the chromatogram supplied with telmisartan for peak identification CRS and the chromatogram obtained with reference solution (c) to identify the peak due to impurity D.
Relative retention With reference to telmisartan (retention time = about 15 min): impurity A = about 0.2; impurity E = about 0.6; impurity F = about 0.7; impurity B = about 0.9; impurity C = about 1.5; impurity D = about 1.6.
System suitability Reference solution (b):
— the chromatogram obtained with reference solution (b) is similar to the chromatogram supplied with telmisartan for system suitability CRS;
— resolution: minimum 3.0 between the peaks due to impurity B and telmisartan.
Limits:
— impurities C, D: for each impurity, not more than twice the area of the principal peak in the chromatogram obtained with reference solution (a) (0.2 per cent);
— impurities A, B: for each impurity, not more than 1.5 times the area of the principal peak in the chromatogram obtained with reference solution (a) (0.15 per cent);
— unspecified impurities: for each impurity, not more than the area of the principal peak in the chromatogram obtained with reference solution (a) (0.10 per cent);
— total: not more than 10 times the area of the principal peak in the chromatogram obtained with reference solution (a) (1.0 per cent);
— disregard limit: 0.5 times the area of the principal peak in the chromatogram obtained with reference solution (a) (0.05 per cent).
Loss on drying (2.2.32)
Maximum 0.5 per cent, determined on 1.000 g by drying in an oven at 105 °C.
Sulfated ash (2.4.14)
Maximum 0.1 per cent, determined on 1.0 g.
ASSAY
Dissolve 0.190 g in 5 mL of anhydrous formic acid R. Add 75 mL of acetic anhydride R. Titrate with 0.1 M perchloric acid, determining the end-point potentiometrically (2.2.20).
1 mL of 0.1 M perchloric acid is equivalent to 25.73 mg of C33H30N4O2
IMPURITIES
Specified impurities A, B, C, D.
Other detectable impurities (the following substances would, if present at a sufficient level, be detected by one or other of the tests in the monograph. They are limited by the general acceptance criterion for other/unspecified impurities and/or by the general monograph Substances for pharmaceutical use (2034). It is therefore not necessary to identify these impurities for demonstration of compliance. See also 5.10. Control of impurities in substances for pharmaceutical use) E, F, G, H, I, J.

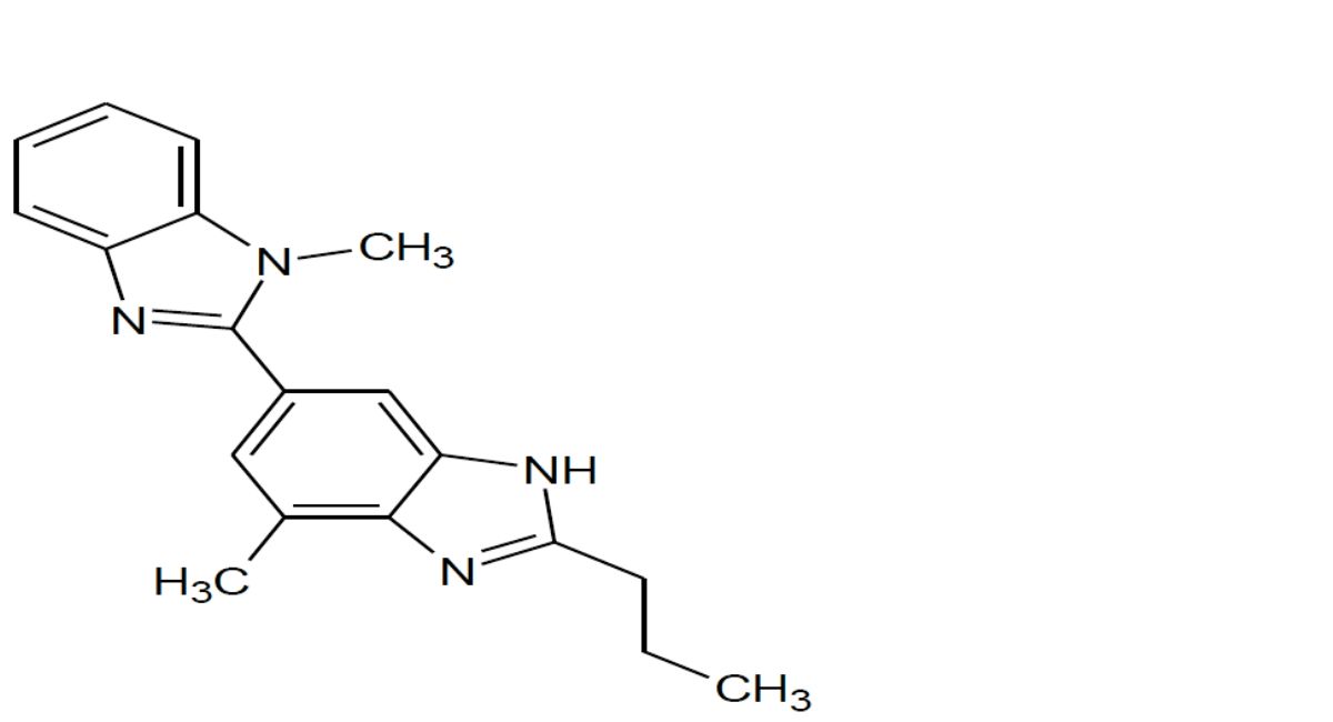
A. 4-methyl-6-(1-methyl-1H-benzimidazol-2-yl)-2-propyl-1H-benzimidazole,
![B. 4′-[[7-methyl-5-(1-methyl-1H-benzimidazol-2-yl)-2-propyl-1H-benzimidazol-1-yl]methyl][1,1′-biphenyl]-2-carboxylic acid,](https://nhathuocngocanh.com/bp/wp-content/uploads/2025/11/B.-4′-7-methyl-5-1-methyl-1H-benzimidazol-2-yl-2-propyl-1H-benzimidazol-1-ylmethyl11′-biphenyl-2-carboxylic-acid.jpg)
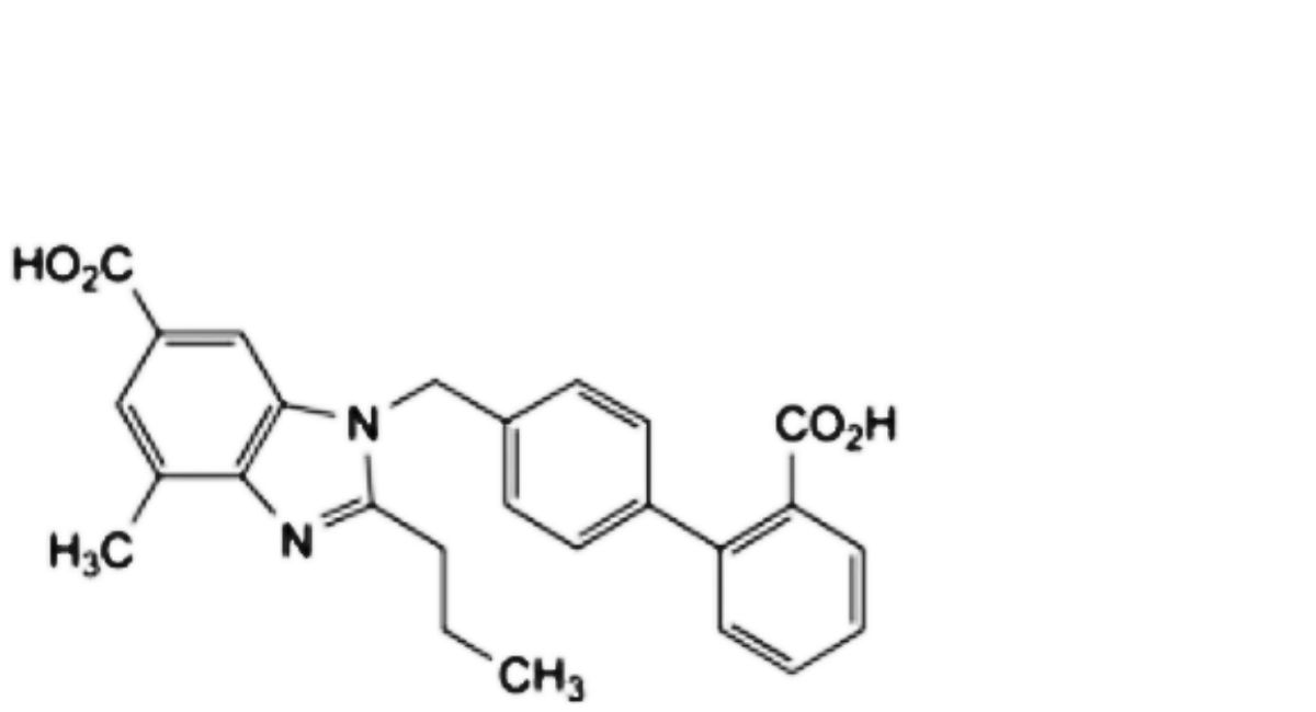
B. 4′-[[7-methyl-5-(1-methyl-1H-benzimidazol-2-yl)-2-propyl-1H-benzimidazol-1-yl]methyl][1,1′-biphenyl]-2-carboxylic acid,
![C. tert-butyl 4′-[[4-methyl-6-(1-methyl-1H-benzimidazol-2-yl)-2-propyl-1H-benzimidazol-1-yl]methyl][1,1′-biphenyl]-2- carboxylate,](https://nhathuocngocanh.com/bp/wp-content/uploads/2025/11/C.-tert-butyl-4′-4-methyl-6-1-methyl-1H-benzimidazol-2-yl-2-propyl-1H-benzimidazol-1-ylmethyl11′-biphenyl-2-carboxylate.jpg)
C. tert-butyl 4′-[[4-methyl-6-(1-methyl-1H-benzimidazol-2-yl)-2-propyl-1H-benzimidazol-1-yl]methyl][1,1′-biphenyl]-2- carboxylate,
D. unknown structure,
![E. 1-[(2′-carboxy[1,1′-biphenyl]-4-yl)methyl]-4-methyl-2-propyl-1H-benzimidazole-6-carboxylic acid,](https://nhathuocngocanh.com/bp/wp-content/uploads/2025/11/E.-1-2′-carboxy11′-biphenyl-4-ylmethyl-4-methyl-2-propyl-1H-benzimidazole-6-carboxylic-acid.jpg)
E. 1-[(2′-carboxy[1,1′-biphenyl]-4-yl)methyl]-4-methyl-2-propyl-1H-benzimidazole-6-carboxylic acid,
![F. 4′-[[4-methyl-6-(1-methyl-1H-benzimidazol-2-yl)-2-propyl-1H-benzimidazol-1-yl]methyl][1,1′-biphenyl]-2-carboxamide,](https://nhathuocngocanh.com/bp/wp-content/uploads/2025/11/F.-4′-4-methyl-6-1-methyl-1H-benzimidazol-2-yl-2-propyl-1H-benzimidazol-1-ylmethyl11′-biphenyl-2-carboxamide.jpg)
F. 4′-[[4-methyl-6-(1-methyl-1H-benzimidazol-2-yl)-2-propyl-1H-benzimidazol-1-yl]methyl][1,1′-biphenyl]-2-carboxamide,
![G. 4′-[[4-methyl-6-(1-methyl-1H-benzimidazol-2-yl)-2-propyl-1H-benzimidazol-1-yl]methyl][1,1′-biphenyl]-2-carbonitrile,](https://nhathuocngocanh.com/bp/wp-content/uploads/2025/11/G.-4′-4-methyl-6-1-methyl-1H-benzimidazol-2-yl-2-propyl-1H-benzimidazol-1-ylmethyl11′-biphenyl-2-carbonitrile.jpg)
G. 4′-[[4-methyl-6-(1-methyl-1H-benzimidazol-2-yl)-2-propyl-1H-benzimidazol-1-yl]methyl][1,1′-biphenyl]-2-carbonitrile,
![H. tert-butyl 4′-(bromomethyl)[1,1′-biphenyl]-2-carboxylate,](https://nhathuocngocanh.com/bp/wp-content/uploads/2025/11/H.-tert-butyl-4′-bromomethyl11′-biphenyl-2-carboxylate.jpg)
![I. methyl 4′-[(1,7′-dimethyl-2′-propyl-1H,3′H-[2,5′-bibenzimidazol]-3′-yl)methyl][1,1′-biphenyl]-2-carboxylate,](https://nhathuocngocanh.com/bp/wp-content/uploads/2025/11/I.-methyl-4′-17′-dimethyl-2′-propyl-1H3′H-25′-bibenzimidazol-3′-ylmethyl11′-biphenyl-2-carboxylate.jpg)
I. methyl 4′-[(1,7′-dimethyl-2′-propyl-1H,3′H-[2,5′-bibenzimidazol]-3′-yl)methyl][1,1′-biphenyl]-2-carboxylate,
![J. 4′-[(5-chloro-1,7′-dimethyl-2′-propyl-1H,3′H-[2,5′-bibenzimidazol]-3′-yl)methyl][1,1′-biphenyl]-2-carboxylic acid](https://nhathuocngocanh.com/bp/wp-content/uploads/2025/11/J.-4′-5-chloro-17′-dimethyl-2′-propyl-1H3′H-25′-bibenzimidazol-3′-ylmethyl11′-biphenyl-2-carboxylic-acid.jpg)
J. 4′-[(5-chloro-1,7′-dimethyl-2′-propyl-1H,3′H-[2,5′-bibenzimidazol]-3′-yl)methyl][1,1′-biphenyl]-2-carboxylic acid






