Edition: BP 2025 (Ph. Eur. 11.6 update)
C14H24ClNO 257.8 175591-09-0
Action and use
μ-Opioid receptor (OP3, MOR) agonist and noradrenaline reuptake inhibitor; analgesic.
DEFINITION
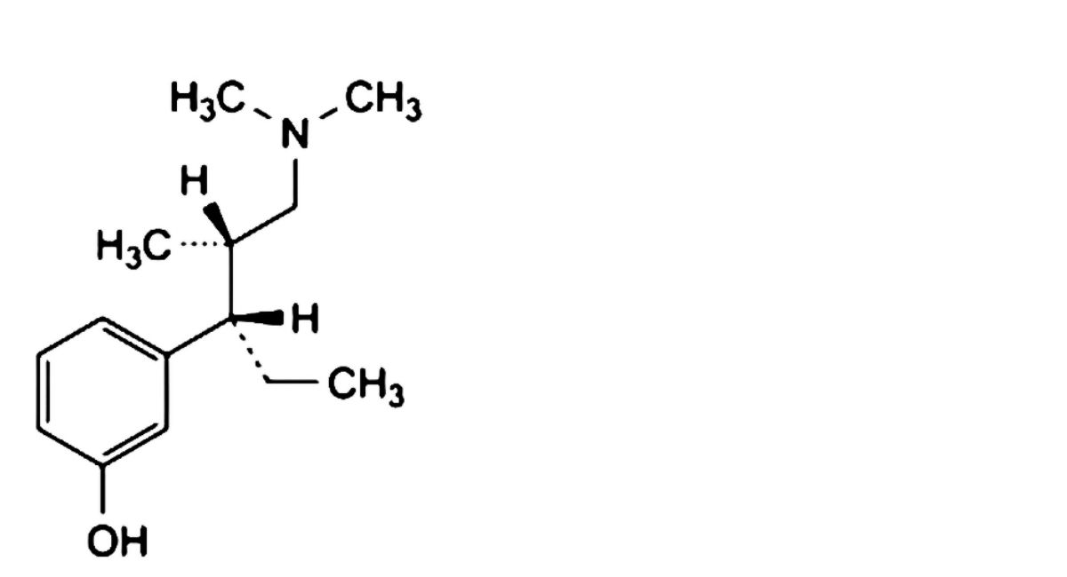
3-[(2R,3R)-1-(Dimethylamino)-2-methylpentan-3-yl]phenol hydrochloride.
Content
98.0 per cent to 102.0 per cent (anhydrous substance).
PRODUCTION
It is considered that alkyl methanesulfonate esters are genotoxic and are potential impurities in tapentadol hydrochloride. The manufacturing process should be developed taking into consideration the principles of quality risk management, together with considerations of the quality of starting materials, process capability and validation. The general methods 2.5.37. Methyl, ethyl and isopropyl methanesulfonate in methanesulfonic acid, 2.5.38. Methyl, ethyl and isopropyl methanesulfonate in active substances and 2.5.39. Methanesulfonyl chloride in methanesulfonic acid are available to assist manufacturers.
CHARACTERS
Appearance
White or almost white powder.
Solubility
Freely soluble in water and in methanol, soluble in anhydrous ethanol, very slightly soluble in heptane.
IDENTIFICATION
A. Infrared absorption spectrophotometry (2.2.24).
Comparison tapentadol hydrochloride CRS.
B. It gives reaction (a) of chlorides (2.3.1).
C. Enantiomeric purity (see Tests).
TESTS
Enantiomeric purity
Liquid chromatography (2.2.29).
Solvent mixture diethylamine R, 2-propanol R, heptane R (0.2:10:89.8 V/V/V).
Test solution Dissolve 10.0 mg of the substance to be examined in a mixture of 40 μL of diethylamine R and 2 mL of 2- propanol R using sonication and dilute to 20.0 mL with heptane R.
Reference solution (a) Dilute 1.0 mL of the test solution to 100.0 mL with the solvent mixture. Dilute 1.0 mL of this solution to 10.0 mL with the solvent mixture.
Reference solution (b) Dissolve 5 mg of tapentadol impurity A CRS and 5 mg of the substance to be examined in a mixture of 0.2 mL of diethylamine R and 10 mL of 2-propanol R using sonication and dilute to 100 mL with heptane R.
Column:
— size: l = 0.25 m, Ø = 4.6 mm;
— stationary phase: amylose derivative of silica gel for chiral separation R (5 μm).
Mobile phase diethylamine R, 2-propanol R, heptane R (0.1:2:98 V/V/V).
Flow rate 1 mL/min.
Detection Spectrophotometer at 270 nm.
Injection 20 μL.
Run time 1.5 times the retention time of tapentadol.
Relative retention With reference to tapentadol (retention time = about 13 min): impurity A = about 1.2.
System suitability Reference solution (b):
— resolution: minimum 2.0 between the peaks due to tapentadol and impurity A.
Limit:
— impurity A: maximum 1.0 per cent, calculated as the ratio of the area of the peak due to impurity A to the sum of the areas of the peaks due to tapentadol and impurity A;
— reporting threshold: 0.10 per cent (reference solution (a)).
Related substances
Liquid chromatography (2.2.29).
Solvent mixture phosphoric acid R, methanol R, water R (0.1:20:80 V/V/V).
Test solution (a) Dissolve 30.0 mg of the substance to be examined in the solvent mixture and dilute to 50.0 mL with the solvent mixture.
Test solution (b) Dilute 5.0 mL of test solution (a) to 50.0 mL with the solvent mixture.
Reference solution (a) Dissolve 30.0 mg of tapentadol hydrochloride CRS in the solvent mixture and dilute to 50.0 mL with the solvent mixture. Dilute 5.0 mL of the solution to 50.0 mL with the solvent mixture.
Reference solution (b) Dilute 1.0 mL of test solution (a) to 100.0 mL with the solvent mixture. Dilute 1.0 mL of this solution to 10.0 mL with the solvent mixture.
Reference solution (c) Dissolve 3 mg of tapentadol impurity C CRS in the solvent mixture and dilute to 5 mL with the solvent mixture. Add 0.5 mL of the solution to 30 mg of the substance to be examined and dilute to 50 mL with the solvent mixture.
Column:
— size: l = 0.15 m, Ø = 4.6 mm;
— stationary phase: end-capped octadecylsilyl silica gel for chromatography R (5 μm);
— temperature: 35 °C.
Mobile phase:
— mobile phase A: phosphoric acid R, methanol R2, water for chromatography R (0.1:10:90 V/V/V);
— mobile phase B: phosphoric acid R, water for chromatography R, methanol R2 (0.1:10:90 V/V/V);
| Time
(min) |
Mobile phase A
(per cent V/V) |
Mobile phase B
(per cent V/V) |
| 0 – 2
2 – 44 44 – 44.5 |
100
100 → 61 61 → 0 |
0
0 → 39 39 → 100 |
Flow rate 1.5 mL/min.
Detection Spectrophotometer at 215 nm.
Injection 20 μL of test solution (a) and reference solutions (b) and (c).
Relative retention With reference to tapentadol (retention time = about 15 min): impurity C = about 0.9.
System suitability Reference solution (c):
— resolution: minimum 1.5 between the peaks due to impurity C and tapentadol.
Calculation of percentage contents:
— for each impurity, use the concentration of tapentadol hydrochloride in reference solution (b).
Limits:
— unspecified impurities: for each impurity, maximum 0.10 per cent;
— total: maximum 0.4 per cent;
— reporting threshold: 0.05 per cent.
Water (2.5.12)
Maximum 0.5 per cent, determined on 0.250 g.
Sulfated ash (2.4.14)
Maximum 0.1 per cent, determined on 1.0 g.
ASSAY
Liquid chromatography (2.2.29) as described in the test for related substances with the following modification.
Injection Test solution (b) and reference solution (a).
Calculate the percentage content of C14H24ClNO taking into account the assigned content of tapentadol hydrochloride CRS.
STORAGE
Protected from light.
IMPURITIES
Specified impurities A.
Other detectable impurities (the following substances would, if present at a sufficient level, be detected by one or other of the tests in the monograph. They are limited by the general acceptance criterion for other/unspecified impurities and/or by the general monograph Substances for pharmaceutical use (2034). It is therefore not necessary to identify these impurities for demonstration of compliance. See also 5.10. Control of impurities in substances for pharmaceutical use) B, C, D, E.

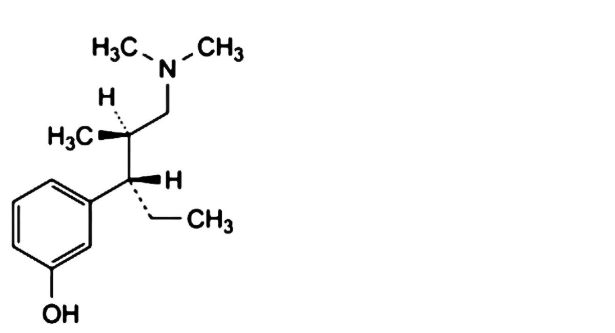
A. 3-[(2S,3S)-1-(dimethylamino)-2-methylpentan-3-yl]phenol,

B. 3-[(2R,3S)-1-(dimethylamino)-2-methylpentan-3-yl]phenol,

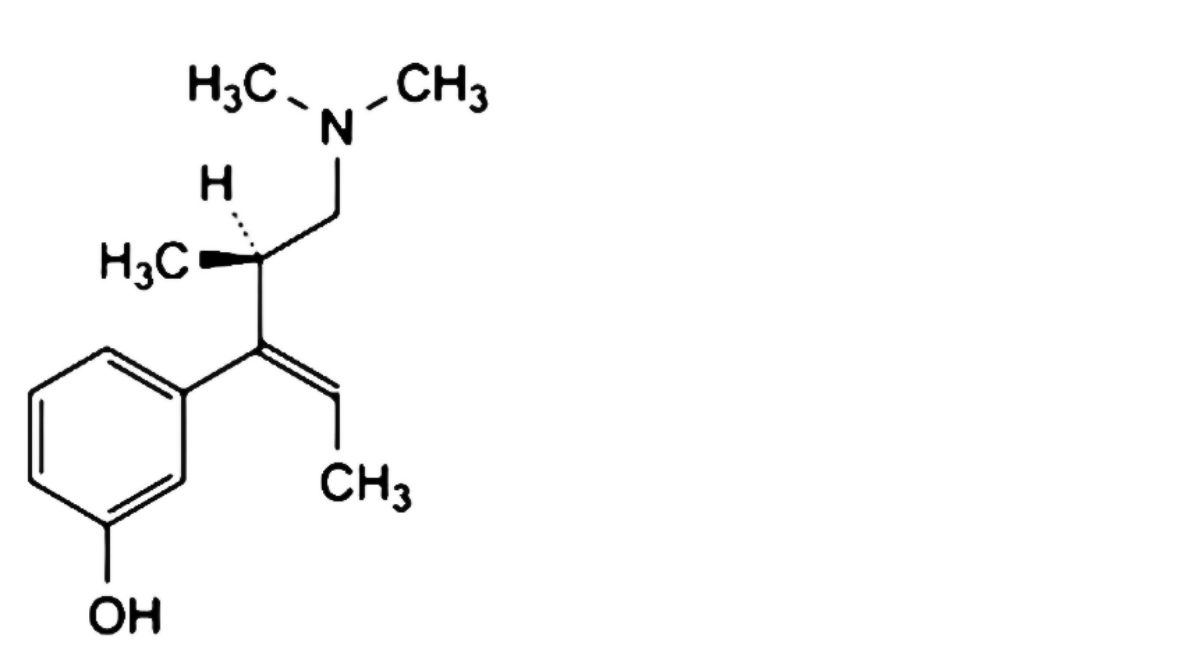
C. 3-[(2Z,4R)-5-(dimethylamino)-4-methylpent-2-en-3-yl]phenol,

D. 3-[(2Z)-1-(dimethylamino)-2-methylpent-2-en-3-yl]phenol,

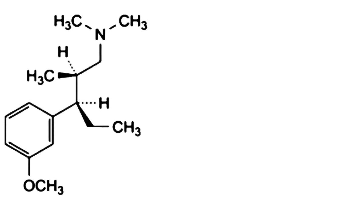
E. (2R,3R)-3-(3-methoxyphenyl)-N,N,2-trimethylpentan-1-amine.






