Edition: BP 2025 (Ph. Eur. 11.6 update)
C20H29ClN2O5S 445.0 106463-17-6
Action and use
Alpha-1-adrenoceptor antagonist.
Preparations
Tamsulosin Prolonged-release Capsules
Tamsulosin Prolonged-release Tablets
DEFINITION
5-[(2R)-2-[[2-(2-Ethoxyphenoxy)ethyl]amino]propyl]-2-methoxybenzenesulfonamide hydrochloride.
Content
98.5 per cent to 101.0 per cent (dried substance).
CHARACTERS
Appearance
White or almost white powder.
Solubility
Slightly soluble in water, freely soluble in formic acid, slightly soluble in anhydrous ethanol.
mp
About 230 °C.
IDENTIFICATION
Carry out either tests A, C, D or tests A, B, D.
A. Infrared absorption spectrophotometry (2.2.24).
Comparison tamsulosin hydrochloride CRS.
B. Specific optical rotation (2.2.7): -20.5 to -17.5 (dried substance).
Dissolve with heating 0.15 g in water R and dilute to 20.0 mL with the same solvent.
C. Enantiomeric purity (see Tests).
D. Dissolve with heating 0.75 g in water R and dilute to 100.0 mL with the same solvent. Take 5 mL of the solution and cool in an ice-bath. Add 3 mL of dilute nitric acid R and shake. Allow to stand at room temperature for 30 min and filter. The filtrate gives reaction (a) of chlorides (2.3.1).
TESTS
Related substances
A. Impurities eluting before tamsulosin. Liquid chromatography (2.2.29).
Test solution Dissolve 50.0 mg of the substance to be examined in the mobile phase and dilute to 10.0 mL with the mobile phase.
Reference solution (a) Dilute 1.0 mL of the test solution to 100.0 mL with the mobile phase. Dilute 1.0 mL of this solution to 10.0 mL with the mobile phase.
Reference solution (b) Dissolve 4 mg of tamsulosin impurity D CRS and 4 mg of the substance to be examined in the mobile phase and dilute to 20 mL with the mobile phase. Dilute 2 mL of the solution to 20 mL with the mobile phase.
Reference solution (c) Dissolve 4 mg of tamsulosin impurity H CRS and 4 mg of the substance to be examined in the mobile phase and dilute to 20 mL with the mobile phase. Dilute 2 mL of the solution to 20 mL with the mobile phase.
Column:
— size: l = 0.15 m, Ø = 4.6 mm;
— stationary phase: end-capped octadecylsilyl silica gel for chromatography R (5 μm);
— temperature: 40 °C.
Mobile phase Dissolve 3.0 g of sodium hydroxide R in a mixture of 8.7 mL of perchloric acid R and 1900 mL of water for chromatography R; adjust to pH 2.0 with 0.5 M sodium hydroxide and dilute to 2000 mL with water for chromatography R; to 1400 mL of this solution add 600 mL of acetonitrile for chromatography R.
Flow rate 1.3 mL/min.
Detection Spectrophotometer at 225 nm.
Injection 10 μL of the test solution and reference solutions (a) and (b).
Run time 1.5 times the retention time of tamsulosin (retention time = about 6 min).
System suitability Reference solution (b):
— resolution: minimum 6.0 between the peaks due to impurity D and tamsulosin.
Limits:
— unspecified impurities: for each impurity, not more than the area of the principal peak in the chromatogram obtained with reference solution (a) (0.10 per cent);
— disregard limit: 0.5 times the area of the principal peak in the chromatogram obtained with reference solution (a) (0.05 per cent).
B. Impurities eluting after tamsulosin. Liquid chromatography (2.2.29) as described in test A with the following modifications.
Mobile phase Dissolve 3.0 g of sodium hydroxide R in a mixture of 8.7 mL of perchloric acid R and 1900 mL of water for chromatography R; adjust to pH 2.0 with 0.5 M sodium hydroxide and dilute to 2000 mL with water for chromatography R; add 2000 mL of acetonitrile for chromatography R.
Flow rate 1.0 mL/min.
Injection 10 μL of the test solution and reference solutions (a) and (c).
Run time 5 times the retention time of tamsulosin (retention time = about 2.5 min).
System suitability Reference solution (c):
— resolution: minimum 2.0 between the peaks due to tamsulosin and impurity H.
Limits:
— unspecified impurities: for each impurity, not more than the area of the principal peak in the chromatogram obtained with reference solution (a) (0.10 per cent);
— sum of impurities eluting before tamsulosin in test A and after tamsulosin in test B: not more than twice the area of the principal peak in the chromatogram obtained with reference solution (a) (0.2 per cent);
— disregard limit: 0.5 times the area of the principal peak in the chromatogram obtained with reference solution (a) (0.05 per cent).
Enantiomeric purity
Liquid chromatography (2.2.29).
Test solution Dissolve 50.0 mg of the substance to be examined in methanol R and dilute to 25.0 mL with the same solvent.
Reference solution (a) Dilute 1.0 mL of the test solution to 100.0 mL with methanol R. Dilute 1.0 mL of this solution to 10.0 mL with methanol R.
Reference solution (b) Dissolve 5 mg of tamsulosin racemate CRS in methanol R and dilute to 25 mL with the same solvent. Dilute 2 mL of the solution to 10 mL with methanol R.
Column:
— size: l = 0.25 m, Ø = 4.6 mm;
— stationary phase: amylose derivative of silica gel for chiral separation R;
— temperature: 40 °C.
Mobile phase diethylamine R, methanol R1, anhydrous ethanol R, hexane R (1:150:200:650 V/V/V/V).
Flow rate 0.5 mL/min.
Detection Spectrophotometer at 225 nm.
Injection 10 μL.
Relative retention With reference to tamsulosin (retention time = about 14 min): impurity G = about 0.8.
System suitability Reference solution (b):
— resolution: minimum 2.0 between the peaks due to impurity G and tamsulosin.
Limit:
— impurity G: not more than the area of the principal peak in the chromatogram obtained with reference solution (a) (0.1 per cent).
Loss on drying (2.2.32)
Maximum 0.5 per cent, determined on 1.000 g by drying in an oven at 105 °C for 2 h.
Sulfated ash (2.4.14)
Maximum 0.1 per cent, determined on 1.0 g.
ASSAY
Dissolve 0.350 g in 5.0 mL of anhydrous formic acid R, add 75 mL of a mixture of 2 volumes of acetic anhydride R and 3 volumes of glacial acetic acid R. Titrate immediately with 0.1 M perchloric acid, determining the end-point potentiometrically (2.2.20). Carry out a blank titration. 1 mL of 0.1 M perchloric acid is equivalent to 44.50 mg of C20H29ClN2O5S.
IMPURITIES
Specified impurities G.
Other detectable impurities (the following substances would, if present at a sufficient level, be detected by one or other of the tests in the monograph. They are limited by the general acceptance criterion for other/unspecified impurities and/or by the general monograph Substances for pharmaceutical use (2034). It is therefore not necessary to identify these impurities for demonstration of compliance. See also 5.10. Control of impurities in substances for pharmaceutical use) A, B, C, D, E, F, H, I.

A. 5-[(2R)-2-[bis[2-(2-ethoxyphenoxy)ethyl]amino]propyl]-2-methoxybenzenesulfonamide,

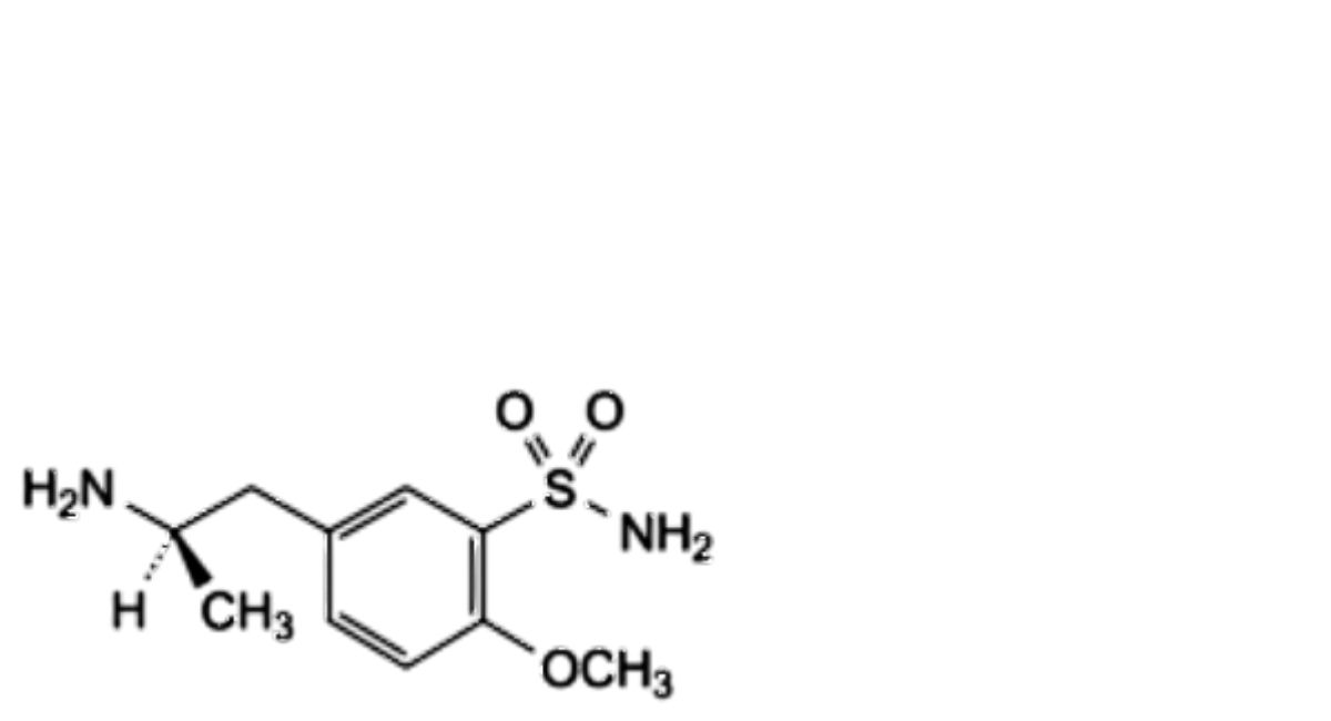
B. 5-[(2R)-2-aminopropyl]-2-methoxybenzenesulfonamide,

C. 2-methoxy-5-[(2R)-2-[(2-phenoxyethyl)amino]propyl]benzenesulfonamide,

D. 2-methoxy-5-[(2R)-2-[[2-(2-methoxyphenoxy)ethyl]amino]propyl]benzenesulfonamide,

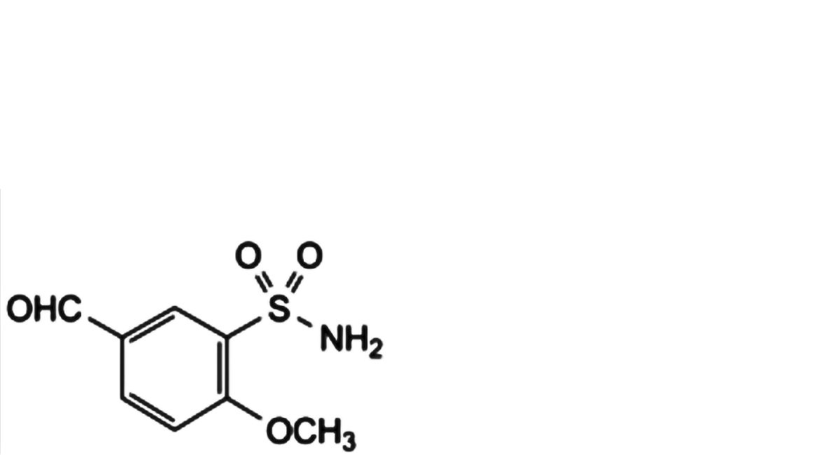
E. 5-formyl-2-methoxybenzenesulfonamide,

F. 2-(2-ethoxyphenoxy)ethanamine,

G. 5-[(2S)-2-[[2-(2-ethoxyphenoxy)ethyl]amino]propyl]-2-methoxybenzenesulfonamide,

H. (2R)-N-[2-(2-ethoxyphenoxy)ethyl]-1-(4-methoxyphenyl)propan-2-amine,

I. 1-(2-bromoethoxy)-2-ethoxybenzene.






