This text was updated in Ph. Eur. 11.6 (effective 01/01/2025)
BP 2025 (Ph. Eur. 11.6 update)
(Ph. Eur. monograph 2272)
Tacalcitol Monohydrate – British Pharmacopoeia 
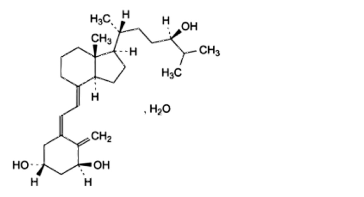
C27H44O3,H2O 434.7 93129-94-3
Action and use
Vitamin D3 analogue.
Ph Eur
DEFINITION
(5Z,7E)-(24R)-9,10-Secocholesta-5,7,10(19)-triene-1a,3p,24-triol.
Content
98.0 per cent to 102.0 per cent (anhydrous substance).
A reversible isomerisation to pre-tacalcitol takes place in solution, depending on temperature and time. The activity is due to both compounds.
It is sensitive to air, heat and light.
CHARACTERS
Appearance
White or almost white, crystalline powder.
Solubility
Practically insoluble in water, freely soluble in anhydrous ethanol and in ethyl acetate.
IDENTIFICATION
A. Infrared absorption spectrophotometry (2.2.24).
Comparison Ph. Eur. reference spectrum of tacalcitol monohydrate.
B. It complies with test B for related substances (see Tests).
C. Water (see Tests).
TESTS
Related substances
A. Liquid chromatography (2.2.29). Prepare the solutions immediately before use avoiding exposure to light and air.
Test solution Dissolve 5.0 mg of the substance to be examined in acetonitrile R and dilute to 25.0 mL with the same solvent.
Dissolve 5.0 mg of tacalcitol monohydrate CRS in acetonitrile R and dilute to 25.0 mL with the
Reference solution (b) Heat 3 mL of the test solution at 80 °C for 30 min. Cool the solution to room temperature.
Reference solution (c) Dilute 1.0 mL of the test solution to 100.0 mL with acetonitrile R. Dilute 1.0 mL of this solution to 10.0 mL with acetonitrile R.
Reference solution (d) Dissolve the contents of a vial of tacalcitol impurity A CRS in 1 mL of the test solution.
Column:
— size: l = 0.25 m, Ø = 4.6 mm;
— stationary phase: end-capped octadecylsilyl silica gel for chromatography R (5 pm).
Mobile phase water for chromatography R, acetonitrile R (40:60 V/V).
Flow rate 2 mL/min.
Detection Spectrophotometer at 265 nm.
Injection 50 μL of the test solution and reference solutions (b), (c) and (d).
Run time 2.5 times the retention time of tacalcitol.
Identification of peaks Use the chromatogram obtained with reference solution (d) to identify the peak due to impurity A; use the chromatogram obtained with reference solution (b) to identify the peak due to pre-tacalcitol.
Relative retention With reference to tacalcitol (retention time = about 11 min): pre-tacalcitol = about 0.8; impurity A = about 0.9.
System suitability Reference solution (d):
— resolution: minimum 1.5 between the peaks due to impurity A and tacalcitol.
Calculation of percentage contents:
— for each impurity, use the concentration of tacalcitol monohydrate in reference solution (c).
Limits:
— impurity A: maximum 0.3 per cent;
— unspecified impurities: for each impurity, maximum 0.10 per cent;
— total: maximum 0.5 per cent;
— reporting threshold:05 per cent; disregard the peak due to pre-tacalcitol.
B. Liquid chromatography (2.2.29).
Test solution Dissolve 2.0 mg of the substance to be examined in the mobile phase and dilute to 20.0 mL with the mobile phase.
Reference solution (a) Dissolve the contents of a vial of tacalcitol for system suitability CRS (containing impurity B) in 0.5 mL of the mobile phase.
Reference solution (b) Dilute 5.0 mL of the test solution to 100.0 mL with the mobile phase. Dilute 1.0 mL of this solution to 10.0 mL with the mobile phase.
Column:
- size: l = 0.25 m, Ø = 4.6 mm;
- stationary phase: amylose derivative of silica gel for chiral separation R (10 μm).
Mobile phase anhydrous ethanol R, heptane R (14:86 V/V).
Flow rate 1 mL/min.
Detection Spectrophotometer at 265 nm.
Injection 50 μL.
Run time 2.5 times the retention time of tacalcitol.
Identification of impurities Use the chromatogram supplied with tacalcitol for system suitability CRS and the chromatogram obtained with reference solution (a) to identify the peak due to impurity B.
Relative retention With reference to tacalcitol (retention time = about 12 min): impurity A = about 0.7; impurity B = about 0.85.
System suitability Reference solution (a):
- resolution: minimum 1.5 between the peaks due to impurity B and tacalcitol.
Calculation of percentage contents:
- for each impurity, use the concentration of tacalcitol monohydrate in reference solution (b).
Limits:
- impurity B: maximum 1.0 per cent;
- unspecified impurities: for each impurity, maximum 0.10 per cent;
- disregard any peak with a relative retention with reference to tacalcitol of about 0.7 (impurity A).
Water (2.5.32)
3.8 per cent to 4.8 per cent, determined on 10.0 mg by direct sample introduction.
ASSAY
Liquid chromatography (2.2.29) as described in test A for related substances with the following modification.
Injection Test solution and reference solution (a).
For both the test solution and reference solution (a), take into account the sum of the areas of the peaks due to tacalcitol and, when present, to pre-tacalcitol.
Calculate the percentage content of C27H44O3 taking into account the assigned content of tacalcitol monohydrate CRS.
STORAGE
In an airtight container, under an inert gas, protected from light at a temperature not exceeding -15 °C.
IMPURITIES
Test A for related substances
A.
Test B for related substances
B, C.
Specified impurities A, B.
Other detectable impurities (the following substances would, if present at a sufficient level, be detected by one or other of the tests in the monograph. They are limited by the general acceptance criterion for other/unspecified impurities and/or by the general monograph Substances for pharmaceutical use (2034). It is therefore not necessary to identify these impurities for demonstration of compliance. See also 5.10. Control of impurities in substances for pharmaceutical use) C.

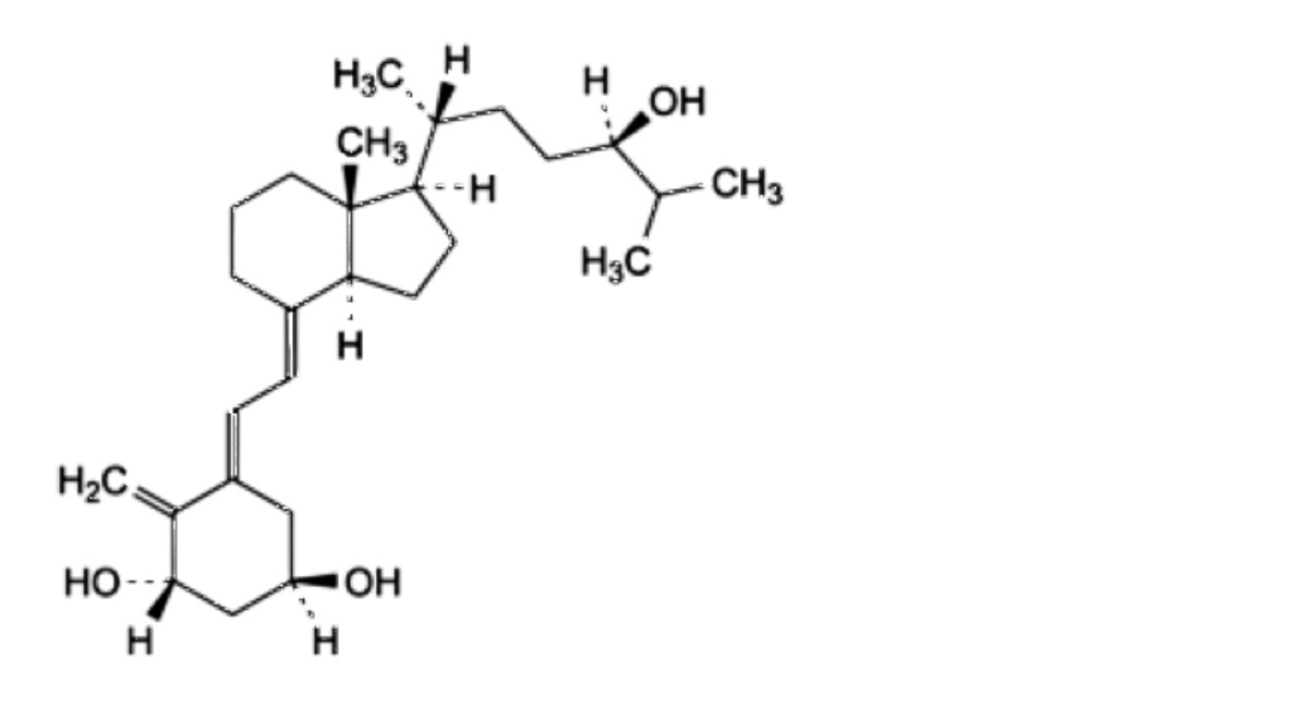
A. (5E,7E)-(24R)-9,10-secocholesta-5,7,10(19)-triene-1α,3β,24-triol (trans-tacalcitol),

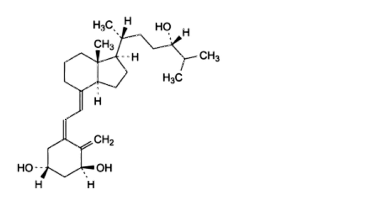
B. (5Z,7E)-(24S)-9,10-secocholesta-5,7,10(19)-triene-1α,3β,24-triol ((24S)-tacalcitol),

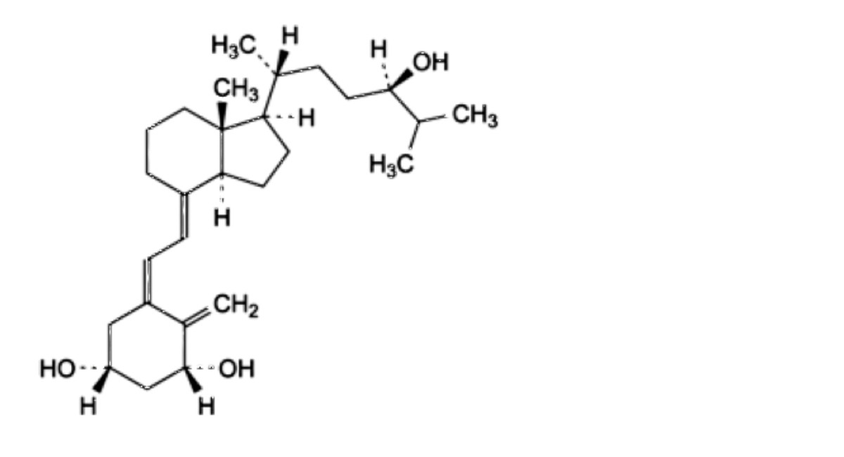
C. (5Z,7E)-(24R)-9,10-secocholesta-5,7,10(19)-triene-1β,3β,24-triol (1β-tacalcitol).
Ph Eur






