(Suxibuzone for Veterinary Use, Ph. Eur. monograph 1574)
C24H26N2O6 438.5 27470-51-5
Action and use
Cyclo-oxygenase inhibitor; analgesic; anti-inflammatory.
DEFINITION
4-[(4-Butyl-3,5-dioxo-1,2-diphenylpyrazolidin-4-yl)methoxy]-4-oxobutanoic acid.
Content
99.0 per cent to 101.0 per cent (dried substance).
CHARACTERS
Appearance
White or almost white, crystalline powder.
Solubility
Practically insoluble in water, freely soluble in acetone, soluble in ethanol (96 per cent), practically insoluble in heptane.
IDENTIFICATION
Infrared absorption spectrophotometry (2.2.24).
Comparison: uxibuzone CRS.
TESTS
Appearance of solution
The solution is clear (2.2.1) and colourless (2.2.2, Method II).
Dissolve 1 g in anhydrous ethanol R and dilute to 20 mL with the same solvent.
Related substances
Liquid chromatography (2.2.29).
Test solution: Dissolve 0.10 g of the substance to be examined in acetonitrile R and dilute to 25.0 mL with the same solvent.
Reference solution (a): Dilute 1.0 mL of the test solution to 50.0 mL with acetonitrile R. Dilute 1.0 mL of this solution to 10.0 mL with acetonitrile R.
Reference solution (b): Dissolve 2.8 mg of suxibuzone impurity C CRS in the test solution and dilute to 10 mL with the test solution. Dilute 1 mL of the solution to 10 mL with the test solution.
Column:
— size: l = 0.150 m, Ø = 4.6 mm;
— stationary phase: octadecylsilyl silica gel for chromatography R (5 μm).
Mobile phase: Mix 44 volumes of acetonitrile R and 56 volumes of a solution prepared as follows: dissolve 6.7 g of citric acid monohydrate R and 2.4 g of tris(hydroxymethyl)aminomethane R in 950 mL of water R, adjust to pH 3.0 with citric acid monohydrate R and dilute to 1000 mL with water R.
Flow rate: 1.6 mL/min.
Detection: Spectrophotometer at 250 nm.
Injection: 10 μL.
Run time: 5.5 times the retention time of suxibuzone.
Identification of impurities: Use the chromatogram obtained with reference solution (b) to identify the peak due to impurity C.
Relative retention: With reference to suxibuzone (retention time = about 11 min): impurity C = 0.8.
System suitability: Reference solution (b):
— resolution: minimum of 2.5 between the peaks due to impurity C and suxibuzone.
Calculation of percentage contents:
— for each impurity, use the concentration of suxibuzone in reference solution (a).
Limits:
— impurity C: maximum 0.7 per cent;
— unspecified impurities: for each impurity, maximum 0.20 per cent;
— total: maximum 1.0 per cent;
— reporting threshold: 0.10 per cent.
Loss on drying (2.2.32)
Maximum 0.5 per cent, determined on 1.000 g by drying in vacuo at 60 °C.
Sulfated ash (2.4.14)
Maximum 0.1 per cent, determined on 1.0 g.
ASSAY
Dissolve 0.400 g in anhydrous ethanol R and dilute to 40 mL with the same solvent. Carry out a potentiometric titration (2.2.20) using 0.1 M sodium hydroxide.
1 mL of 0.1 M sodium hydroxide is equivalent to 43.85 mg of C24H26N2O6.
STORAGE
Protected from light.
IMPURITIES
Specified impurities C.
Other detectable impurities (the following substances would, if present at a sufficient level, be detected by one or other of the tests in the monograph. They are limited by the general acceptance criterion for other/unspecified impurities and/or by the general monograph Substances for pharmaceutical use (2034). It is therefore not necessary to identify these impurities for demonstration of compliance. See also 5.10. Control of impurities in substances for pharmaceutical use) A, B.

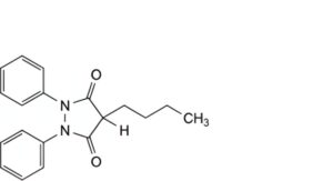
A. 4-butyl-1,2-diphenylpyrazolidine-3,5-dione (phenylbutazone),

B. (4-butyl-3,5-dioxo-1,2-diphenylpyrazolidin-4-yl)methyl ethyl butanedioate,

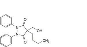
C. 4-butyl-4-(hydroxyméthyl)-1,2-diphénylpyrazolidine-3,5-dione.






