(Sulfadimethoxine Sodium for Veterinary Use, Ph. Eur. monograph 2745)
C12H13N4NaO4S 332.3 1037-50-9
Action and use
Sulfonamide antibacterial.
DEFINITION
Sodium (4-aminobenzene-1-sulfonyl)(2,6-dimethoxypyrimidin-4-yl)azanide.
Content
97.5 per cent to 102.0 per cent (anhydrous substance).
CHARACTERS
Appearance
White or almost white, crystalline powder, hygroscopic.
Solubility
Freely soluble in water, slightly soluble in ethanol (96 per cent), practically insoluble in methylene chloride.
IDENTIFICATION
A. Infrared absorption spectrophotometry (2.2.24).
Preparation: Dissolve 1 g in 20 mL of water R; add 0.20 mL of glacial acetic acid R; filter the precipitate, wash with 1 mL of water R and dry at 105 °C for 2 h.
Comparison: sulfadimethoxine CRS.
B. 2 mL of the filtrate obtained in identification test A gives reaction (a) of sodium (2.3.1).
TESTS
Appearance of solution
The solution is clear (2.2.1) and not more intensely coloured than reference solution BY5 (2.2.2, Method II).
Dissolve 0.5 g in water R and dilute to 10 mL with the same solvent.
pH (2.2.3)
8.5 to 10.0.
Dissolve 0.2 g in carbon dioxide-free water R and dilute to 20 mL with the same solvent.
Related substances
Liquid chromatography (2.2.29).
Solution A: Dissolve 6.0 g of sodium dihydrogen phosphate R in 950 mL of water for chromatography R, adjust to pH 7.0 with dilute sodium hydroxide solution R and dilute to 1000 mL with water for chromatography R.
Test solution: Dissolve 22.0 mg of the substance to be examined in 76 mL of solution A and dilute to 100.0 mL with methanol R.
Reference solution (a): Dissolve 20.0 mg of sulfadimethoxine CRS in 25 mL of methanol R and dilute to 100.0 mL with solution A.
Reference solution (b): Dilute 2.0 mL of the test solution to 100.0 mL with mobile phase A. Dilute 1.0 mL of this solution to 10.0 mL with mobile phase A.
Reference solution (c): Dissolve 4 mg of sulfadimethoxine for peak identification CRS (containing impurities A and F) in 5 mL of methanol R and dilute to 20 mL with solution A.
Column:
— size: l = 0.25 m, Ø = 4.6 mm;
— stationary phase: end-capped octadecylsilyl silica gel for chromatography R (5 μm);
— temperature: 25 °C.
Mobile phase:
— mobile phase A: methanol R, solution A (25:75 V/V);
— mobile phase B: methanol R, acetonitrile R, solution A (25:35:40 V/V/V);
| Time (min) |
Mobile phase A (per cent V/V) |
Mobile phase B (per cent V/V) |
| 0 – 10 | 100 | 0 |
| 10 – 30 | 100 → 0 | 0 → 100 |
| 30 – 35 | 0 | 100 |
Flow rate: 1.0 mL/min.
Detection: Spectrophotometer at 254 nm.
Injection: 10 μL of the test solution and reference solutions (b) and (c).
Identification of impurities: Use the chromatogram supplied with sulfadimethoxine for peak identification CRS and the chromatogram obtained with reference solution (c) to identify the peaks due to impurities A and F.
Relative retention: With reference to sulfadimethoxine (retention time = about 11 min): impurity F = about 0.4; impurity A = about 1.2.
System suitability:
— resolution: minimum 2.5 between the peaks due to sulfadimethoxine and impurity A in the chromatogram obtained with reference solution (c);
— signal-to-noise ratio: minimum 40 for the principal peak in the chromatogram obtained with reference solution (b).
Calculation of percentage contents:
— correction factors: multiply the peak areas of the following impurities by the corresponding correction factor: impurity A = 1.4; impurity F = 1.7;
— for each impurity, use the concentration of sulfadimethoxine sodium in reference solution (b).
Limits:
— impurities A, F: for each impurity, maximum 0.2 per cent;
— unspecified impurities: for each impurity, maximum 0.20 per cent;
— total: maximum 0.5 per cent;
— reporting threshold: 0.10 per cent.
Water(2.5.12)
Maximum 5.0 per cent, determined on 0.200 g.
ASSAY
Liquid chromatography (2.2.29) as described in the test for related substances with the following modification.
Injection: Test solution and reference solution (a).
Calculate the percentage content of C12H13N4NaO4S taking into account the assigned content of sulfadimethoxine CRS and a conversion factor of 1.071.
STORAGE
In an airtight container, protected from light.
IMPURITIES
Specified impurities A, F.
Other detectable impurities (the following substances would, if present at a sufficient level, be detected by one or other of the tests in the monograph. They are limited by the general acceptance criterion for other/unspecified impurities and/or by the general monograph Substances for pharmaceutical use (2034). It is therefore not necessary to identify these impurities for demonstration of compliance. See also 5.10. Control of impurities in substances for pharmaceutical use) B, C, D, E.

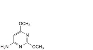
A. 2,6-dimethoxypyrimidin-4-amine,

B. N-[4-[(2,6-dimethoxypyrimidin-4-yl)sulfamoyl]phenyl]acetamide,

C. 4-acetamidobenzene-1-sulfonic acid,

D. 4-aminobenzene-1-sulfonic acid (sulfanilic acid),

E. 4-aminobenzene-1-sulfonamide (sulfanilamide),

F. 4-amino-N-(2-hydroxy-6-methoxypyrimidin-4-yl)benzene-1-sulfonamide.






