(Ph. Eur. monograph 0293)
Action and use
Antibacterial.
DEFINITION
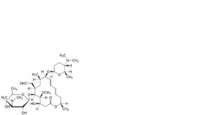
Macrolide antibiotic produced by the growth of certain strains of Streptomyces ambofaciens or obtained by any other means. The main component is (4R,5S,6S,7R,9R,10R,11E,13E,16R)-6-[[3,6-dideoxy-4-O-(2,6-dideoxy-3-C-methyl-α-L-ribo-hexopyranosyl)-3-(dimethylamino)-β-D-glucopyranosyl]oxy]-4-hydroxy-5-methoxy-9,16-dimethyl-7-(2-oxoethyl)-10-[[2,3,4,6-tetradeoxy-4-(dimethylamino)-D-erythro-hexopyranosyl]oxy]oxacyclohexadeca-11,13-dien-2-one (spiramycin I;
Mr 843). Spiramycin II (4-O-acetylspiramycin I) and spiramycin III (4-O-propanoylspiramycin I) are also present.
Potency
Minimum 4100 IU/mg (dried substance).
CHARACTERS
Appearance
White or slightly yellowish powder, slightly hygroscopic.
Solubility
Slightly soluble in water, freely soluble in acetone, in ethanol (96 per cent) and in methanol.
IDENTIFICATION
A. Ultraviolet and visible absorption spectrophotometry (2.2.25).
Test solution Dissolve 0.10 g of the substance to be examined in methanol R and dilute to 100.0 mL with the same solvent. Dilute 1.0 mL of this solution to 100.0 mL with methanol R.
Spectral range 220-350 nm.
Absorption maximum At 232 nm.
Specific absorbance at the absorption maximum About 340.
B. Thin-layer chromatography (2.2.27).
Test solution Dissolve 40 mg of the substance to be examined in methanol R and dilute to 10 mL with the same solvent.
Reference solution (a) Dissolve 40 mg of spiramycin CRS in methanol R and dilute to 10 mL with the same solvent.
Reference solution (b) Dissolve 40 mg of erythromycin A CRS in methanol R and dilute to 10 mL with the same solvent.
Plate TLC silica gel G plate R.
Mobile phase The upper layer of a mixture of 4 volumes of 2-propanol R, 8 volumes of a 150 g/L solution of ammonium acetate R previously adjusted to pH 9.6 with strong sodium hydroxide solution R, and 9 volumes of ethyl acetate R.
Application 5 μL.
Development Over 3/4 of the plate.
Drying In air.
Detection Spray with anisaldehyde solution R1 and heat at 110 °C for 5 min.
Results The principal spot in the chromatogram obtained with the test solution is similar in position, colour and size to th principal spot in the chromatogram obtained with reference solution (a). If in the chromatogram obtained with the test solution 1 or 2 spots occur with RF values slightly higher than that of the principal spot, these spots are similar in position and colour to the secondary spots in the chromatogram obtained with reference solution (a) and differ from the spots in the chromatogram obtained with reference solution (b).
C. Dissolve 0.5 g in 10 mL of dilute sulfuric acid R1 and add 25 mL of water R. Adjust to about pH 8 with 0.1 M sodium hydroxide and dilute to 50 mL with water R. To 5 mL of this solution add 2 mL of a mixture of 1 volume of water R and 2 volumes of sulfuric acid R. A brown colour develops.
TESTS
pH (2.2.3)
8.5 to 10.5.
Dissolve 0.5 g in 5 mL of methanol R and dilute to 100 mL with carbon dioxide-free water R.
Specific optical rotation (2.2.7)
-80 to -85 (dried substance).
Dissolve 1.00 g in a 10 per cent V/V solution of dilute acetic acid R and dilute to 50.0 mL with the same acid solution.
Composition
Liquid chromatography (2.2.29) as described in the test for related substances.
Injection Test solution and reference solution (a).
System suitability Reference solution (a):
— symmetry factor: minimum 0.7 for the peaks due to spiramycins I, II and III.
Calculate the percentage content using the declared content of spiramycins I, II and III in spiramycin CRS.
Limits (dried substance):
— spiramycin I: minimum 80.0 per cent;
— spiramycin II: maximum 5.0 per cent;
— spiramycin III: maximum 10.0 per cent;
— sum of spiramycins I, II and III: minimum 90.0 per cent.
Related substances
Liquid chromatography (2.2.29). Prepare the solutions immediately before use.
Solvent mixture methanol R, water R (30:70 V/V).
Test solution Dissolve 25.0 mg of the substance to be examined in the solvent mixture and dilute to 25.0 mL with the solvent mixture.
Reference solution (a) Dissolve 25.0 mg of spiramycin CRS in the solvent mixture and dilute to 25.0 mL with the solvent mixture.
Reference solution (b) Dilute 2.0 mL of reference solution (a) to 100.0 mL with the solvent mixture.
Reference solution (c) Dissolve 5 mg of spiramycin CRS in 15 mL of buffer solution pH 2.2 R and dilute to 25 mL with water R, then heat in a water-bath at 60 °C for 5 min and cool under cold water.
Blank solution The solvent mixture.
Column:
— size: l = 0.25 m, Ø = 4.6 mm;
— stationary phase: end-capped polar-embedded octadecylsilyl amorphous organosilica polymer R (5 μm) (polar- embedded octadecylsilyl methylsilica gel), with a pore size of 12.5 nm and a carbon loading of 15 per cent;
— temperature: 70 °C.
Mobile phase Mix 5 volumes of a 34.8 g/L solution of dipotassium hydrogen phosphate R adjusted to pH 6.5 with a 27.2 g/L solution of potassium dihydrogen phosphate R, 40 volumes of acetonitrile for chromatography R and 55 volumes of water for chromatography R.
Flow rate 1.0 mL/min.
Detection Spectrophotometer at 232 nm.
Injection 20 μL.
Run time 3 times the retention time of spiramycin I.
Identification of spiramycins Use the chromatogram supplied with spiramycin CRS and the chromatogram obtained with reference solution (a) to identify the peaks due to spiramycins I, II and III.
Relative retention With reference to spiramycin I (retention time = 20 min to 30 min): impurity F = about 0.41; impurity A = about 0.45; impurity D = about 0.50; impurity G = about 0.66; impurity B = about 0.73; impurity H = about 0.8 spiramycin II = about 1.4; spiramycin III = about 2.0; impurity E = about 2.5.
If necessary adjust the composition of the mobile phase by changing the amount of acetonitrile.
System suitability:
— resolution: minimum 10.0 between the peaks due to impurity A and spiramycin I in the chromatogram obtained wit reference solution (c);
— symmetry factor: minimum 0.7 for the peak due to spiramycin I in the chromatogram obtained with reference solution (b).
Limits:
— impurities A, B, D, E, F, G, H: for each impurity, not more than the area of the principal peak in the chromatogram obtained with reference solution (b) (2.0 per cent);
— any other impurity: for each impurity, not more than the area of the principal peak in the chromatogram obtained with reference solution (b) (2.0 per cent);
— total: not more than 5 times the area of the principal peak in the chromatogram obtained with reference solution (b (10.0 per cent);
— disregard limit: 0.05 times the area of the principal peak in the chromatogram obtained with reference solution (b) (0.1 per cent); disregard the peaks due to spiramycins I, II and III.
Loss on drying (2.2.32)
Maximum 3.5 per cent, determined on 0.500 g by drying in vacuo at 80 °C at a pressure not exceeding 0.7 kPa for 6 h.
Sulfated ash (2.4.14)
Maximum 0.1 per cent, determined on 1.0 g.
ASSAY
Carry out the microbiological assay of antibiotics (2.7.2). Use spiramycin CRS as the chemical reference substance.
STORAGE
In an airtight container.
IMPURITIES
Specified impurities A, B, D, E, F, G, H.
Other detectable impurities (the following substances would, if present at a sufficient level, be detected by one or other of the tests in the monograph. They are limited by the general acceptance criterion for other/unspecified impurities and/or by the general monograph Substances for pharmaceutical use (2034). It is therefore not necessary to identify these impuritie for demonstration of compliance. See also 5.10. Control of impurities in substances for pharmaceutical use) C.

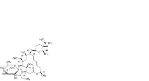
A. (4R,5S,6S,7R,9R,10R,11E,13E,16R)-6-[[3,6-dideoxy-3-(dimethylamino)-β-D-glucopyranosyl]oxy]-4-hydroxy-5-methoxy-9,16-dimethyl-7-(2-oxoethyl)-10-[[2,3,4,6-tetradeoxy-4-(dimethylamino)-β-D-erythro-hexopyranosyl]oxy]oxacyclohexadeca-11,13-dien-2-one (neospiramycin I),

B. (4R,5S,6S,7R,9R,10R,11E,13E,16R)-6-[[3,6-dideoxy-4-O-(2,6-dideoxy-3-C-methyl-α-L-ribo-hexopyranosyl)-3-(dimethylamino)-β-D-glucopyranosyl]oxy]-4-hydroxy-7-(2-hydroxyethyl)-5-methoxy-9,16-dimethyl-10-[[2,3,4,6-tetradeoxy-4 (dimethylamino)-β-D-erythro-hexopyranosyl]oxy]oxacyclohexadeca-11,13-dien-2-one (spiramycin IV),

C. (4R,5S,6S,7S,9R,10R,11E,13E,16R)-6-[[3,6-dideoxy-4-O-(2,6-dideoxy-3-C-methyl-α-L-ribo-hexopyranosyl)-3-(dimethylamino)-β-D-glucopyranosyl]oxy]-7-(1-formylethenyl)-4-hydroxy-5-methoxy-9,16-dimethyl-10-[[2,3,4,6-tetradeoxy-4-(dimethylamino)-β-D-erythro-hexopyranosyl]oxy]oxacyclohexadeca-11,13-dien-2-one (17-methylenespiramycin I),

D. (4R,5S,6S,7R,9R,10R,11E,13E,16R)-6-[[3,6-dideoxy-4-O-(2,6-dideoxy-3-C-methyl-α-L-ribo-hexopyranosyl)-3-(dimethylamino)-β-D-glucopyranosyl]oxy]-10-[(2,6-dideoxy-3-C-methyl-α-L-ribo-hexopyranosyl)oxy]-4-hydroxy-5-methoxy-
9,16-dimethyl-7-(2-oxoethyl)oxacyclohexadeca-11,13-dien-2-one (spiramycin V),

E. (4R,5S,6S,7S,9R,10R,11E,13E,16R)-6-[[3,6-dideoxy-4-O-(2,6-dideoxy-3-C-methyl-α-L-ribo-hexopyranosyl)-3-(dimethylamino)-β-D-glucopyranosyl]oxy]-7-ethyl-4-hydroxy-5-methoxy-9,16-dimethyl-10-[[2,3,4,6-tetradeoxy-4-(dimethylamino)-β-D-erythro-hexopyranosyl]oxy]oxacyclohexadeca-11,13-dien-2-one (18-deoxy-18-dihydrospiramycin I or DSPM),

F. spiramycin dimer,

G. (4R,5S,6S,7R,9R,10R,11E,13E,16R)-6-[[3,6-dideoxy-3-(dimethylamino)-β-D-glucopyranosyl]oxy]-5-methoxy-9,16-dimethyl-2-oxo-7-(2-oxoethyl)-10-[[2,3,4,6-tetradeoxy-4-(dimethylamino)-β-D-erythro-hexopyranosyl]oxy]oxacyclohexadeca-11,13-dien-4-yl acetate (neospiramycin II),

H. (4R,5S,6S,7R,9R,10R,11E,13E,16R)-6-[[3,6-dideoxy-3-(dimethylamino)-β-D-glucopyranosyl]oxy]-5-methoxy-9,16- dimethyl-2-oxo-7-(2-oxoethyl)-10-[[2,3,4,6-tetradeoxy-4-(dimethylamino)-β-D-erythro-hexopyranosyl]oxy]oxacyclohexadeca-11,13-dien-4-yl propanoate (neospiramycin III).






