(Ph. Eur. monograph 1791)
C6H7NaO6 198.1 134-03-2
Action and use
Excipient.
DEFINITION
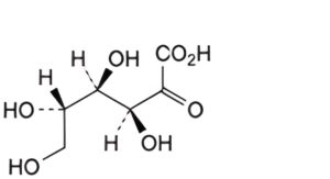
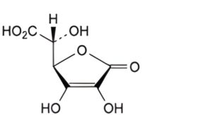
Sodium (2R)-2-[(1S)-1,2-dihydroxyethyl]-4-hydroxy-5-oxo-2,5-dihydrofuran-3-olate.
Content
99.0 per cent to 101.0 per cent (dried substance).
CHARACTERS
Appearance
White or yellowish, crystalline powder or crystals.
Solubility
Freely soluble in water, sparingly soluble in ethanol (96 per cent), practically insoluble in methylene chloride.
IDENTIFICATION
First identification: B, D.
Second identification: A, C, D.
A. Specific optical rotation (see Tests).
B. Infrared absorption spectrophotometry (2.2.24).
Comparison: sodium ascorbate CRS.
C. To 1 mL of solution S (see Tests) add 0.2 mL of dilute nitric acid R and 0.2 mL of silver nitrate solution R2. A grey precipitate is formed.
D. 1 mL of solution S gives reaction (a) of sodium (2.3.1).
TESTS
Solution S
Dissolve 10.0 g in carbon dioxide-free water R prepared from distilled water R and dilute to 100.0 mL with the same solvent.
Appearance of solution
Solution S is clear (2.2.1) and not more intensely coloured than reference solution Y6 or BY6 (2.2.2, Method II); examine the colour immediately after preparation of the solution.
pH (2.2.3)
7.0 to 8.0, determined on freshly prepared solution S.
Specific optical rotation (2.2.7)
+ 103 to + 108 (dried substance), determined on freshly prepared solution S.
Impurity E
Maximum 0.2 per cent.
Test solution: Dissolve 0.25 g in 5 mL of water R. Add 1 mL of dilute acetic acid R and 0.5 mL of calcium chloride solution R.
Reference solution: Dissolve 70 mg of oxalic acid R (dihydrate of impurity E) in water R and dilute to 500 mL with the same solvent; to 5 mL of the solution add 1 mL of dilute acetic acid R and 0.5 mL of calcium chloride solution R.
Allow the solutions to stand for 1 h. Any opalescence in the test solution is not more intense than that in the reference solution.
Related substances
Liquid chromatography (2.2.29). Prepare the solutions immediately before use.
Phosphate buffer solution: Dissolve 6.8 g of potassium dihydrogen phosphate R in water for chromatography R and dilute to about 200 mL with the same solvent. Filter through a membrane filter (nominal pore size 0.45 μm) and dilute to 1000 mL with water for chromatography R.
Test solution: Dissolve 0.500 g of the substance to be examined in the phosphate buffer solution and dilute to 10.0 mL with the phosphate buffer solution.
Reference solution (a): Dissolve 10.0 mg of ascorbic acid impurity C CRS (impurity C) in the mobile phase and dilute to 5.0 mL with the mobile phase.
Reference solution (b): Dissolve 5.0 mg of ascorbic acid impurity D CRS (impurity D) and 5.0 mg of ascorbic acid CRS in the mobile phase and dilute to 100.0 mL with the mobile phase.
Reference solution (c): Dilute 1 mL of the test solution to 200 mL with the mobile phase. Mix 1 mL of this solution and 1 mL of reference solution (a).
Reference solution (d): Dilute 2.5 mL of reference solution (a) to 100.0 mL with the mobile phase.
Column:
— size: l = 0.25 m, Ø = 4.6 mm;
— stationary phase: aminopropylsilyl silica gel for chromatography R (5 μm);
— temperature: 45 °C.
Mobile phase: Phosphate buffer solution, acetonitrile R1 (25:75 V/V).
Flow rate: 1.0 mL/min.
Detection: Spectrophotometer at 210 nm.
Injection: 20 μL of the test solution and reference solutions (b), (c) and (d).
Run time: 2.5 times the retention time of ascorbic acid.
Identification of impurities: Use the chromatogram obtained with reference solution (d) to identify the peak due to impurity C; use the chromatogram obtained with reference solution (b) to identify the peak due to impurity D.
Relative retention: With reference to ascorbic acid (retention time = about 9 min): impurity D = about 0.5; impurity C = about 1.45.
System suitability:
— resolution: minimum 3.0 between the peaks due to ascorbic acid and impurity C in the chromatogram obtained with reference solution (c);
— signal-to-noise ratio: minimum 20 for the peak due to impurity C in the chromatogram obtained with reference solution (d).
Calculation of percentage contents:
— for impurity C, use the concentration of impurity C in reference solution (d);
— for impurity D, use the concentration of impurity D in reference solution (b);
— for impurities other than C and D, use the concentration of ascorbic acid in reference solution (b).
Limits:
— impurities C, D: for each impurity, maximum 0.15 per cent;
— unspecified impurities: for each impurity, maximum 0.10 per cent;
— sum of impurities other than C and D: maximum 0.2 per cent;
— reporting threshold: 0.05 per cent.
Sulfates (2.4.13)
Maximum 150 ppm.
To 10 mL of solution S add 2 mL of hydrochloric acid R1 and dilute to 15 mL with distilled water R.
Copper
Maximum 5 ppm.
Atomic absorption spectrometry (2.2.23, Method I).
Test solution: Dissolve 2.0 g in 0.1 M nitric acid and dilute to 25.0 mL with the same acid.
Reference solutions: Prepare the reference solutions (0.2 ppm, 0.4 ppm and 0.6 ppm) using copper standard solution (10 ppm Cu) R, diluting with 0.1 M nitric acid.
Source: Copper hollow-cathode lamp.
Wavelength: 324.8 nm.
Atomisation device: Air-acetylene flame.
Iron
Maximum 2 ppm.
Atomic absorption spectrometry (2.2.23).
Test solution: Dissolve 5.0 g in 0.1 M nitric acid and dilute to 25.0 mL with the same acid.
Reference solutions: Prepare the reference solutions (0.2 ppm, 0.4 ppm and 0.6 ppm) using iron standard solution (20 ppm Fe) R, diluting with 0.1 M nitric acid.
Source: Iron hollow-cathode lamp.
Wavelength: 248.3 nm.
Atomisation device: Air-acetylene flame.
Loss on drying (2.2.32)
Maximum 0.25 per cent, determined on 1.000 g by drying in an oven at 105 °C.
ASSAY
Dissolve 80 mg in a mixture of 10 mL of dilute sulfuric acid R and 80 mL of carbon dioxide-free water R. Add 1 mL of starch solution R. Titrate with 0.05 M iodine until a persistent violet-blue colour is obtained.
1 mL of 0.05 M iodine is equivalent to 9.91 mg of C6H7NaO6.
STORAGE
In a non-metallic container, protected from light.
IMPURITIES
Specified impurities C, D, E.
Other detectable impurities (the following substances would, if present at a sufficient level, be detected by one or other of the tests in the monograph. They are limited by the general acceptance criterion for other/unspecified impurities and/or by the general monograph Substances for pharmaceutical use (2034). It is therefore not necessary to identify these impurities for demonstration of compliance. See also 5.10. Control of impurities in substances for pharmaceutical use) A, F, G, H.

A. furan-2-carbaldehyde (furfural),

C. L-xylo-hex-2-ulosonic acid (L-sorbosonic acid),

D. methyl L-xylo-hex-2-ulosonate (methyl L-sorbosonate),

E. oxalic acid,

F. (5R)-5-[(1R)-1,2-dihydroxyethyl]-3,4-dihydroxyfuran-2(5H)-one,

G. (R)-[(2R)-3,4-dihydroxy-5-oxo-2,5-dihydrofuran-2-yl]hydroxyacetic acid,

H. methyl (R)-[(2R)-3,4-dihydroxy-5-oxo-2,5-dihydrofuran-2-yl]hydroxyacetate.






