(Ph. Eur. monograph 2267)
C39H54N6O8S 767 149845-06-7
Action and use
Protease inhibitor; antiviral (HIV).
DEFINITION
(2S)-N1 -[(1S,2R)-1-Benzyl-3-[(3S,4aS,8aS)-3-[(1,1-dimethylethyl)carbamoyl]octahydroisoquinolin-2(1H)-yl]-2-hydroxypropyl]-2-[(quinolin-2-ylcarbonyl)amino]butanediamide methanesulfonate.
Content
97.5 per cent to 102.0 per cent (anhydrous substance).
PRODUCTION
It is considered that alkyl methanesulfonate esters are genotoxic and are potential impurities in saquinavir mesilate. The manufacturing process should be developed taking into consideration the principles of quality risk management, together with considerations of the quality of starting materials, process capability and validation. The general methods 2.5.37. Methyl, ethyl and isopropyl methanesulfonate in methanesulfonic acid, 2.5.38. Methyl, ethyl and isopropyl methanesulfonate in active substances and 2.5.39. Methanesulfonyl chloride in methanesulfonic acid are available to assist manufacturers.
CHARACTERS
Appearance
White or almost white, slightly hygroscopic powder.
Solubility
Practically insoluble in water, sparingly soluble in methanol, slightly soluble in ethanol (96 per cent).
IDENTIFICATION
A. Specific optical rotation (see Tests).
B. Infrared absorption spectrophotometry (2.2.24).
Comparison: saquinavir mesilate CRS.
TESTS
Specific optical rotation (2.2.7)
-42.0 to -35.0 (anhydrous substance).
Dissolve 0.25 g in anhydrous methanol R and dilute to 50.0 mL with the same solvent.
Related substances
Liquid chromatography (2.2.29).
Solvent mixture water for chromatography R, acetonitrile R1 (47:53 V/V).
Test solution: Dissolve 30.0 mg of the substance to be examined in the solvent mixture, using sonication, and dilute to 100.0 mL with the same solvent.
Reference solution (a): Dilute 1.0 mL of the test solution to 100.0 mL with the solvent mixture. Dilute 1.0 mL of this solution to 10.0 mL with the solvent mixture.
Reference solution (b): Dissolve the contents of a vial of saquinavir for system suitability CRS (containing impurities A, B, C and D) in 1.0 mL of the solvent mixture and sonicate for 2 min.
Reference solution (c) Dissolve 30.0 mg of saquinavir mesilate CRS in the solvent mixture, using sonication, and dilute to 100.0 mL with the same solvent.
Column:
— size: l = 0.15 m, Ø = 4.6 mm;
— stationary phase: spherical end-capped octadecylsilyl silica gel for chromatography R (3.5 μm).
Mobile phase:
— mobile phase A: to 2.5 mL of strong sodium hydroxide solution R add 900 mL of water for chromatography R, adjust to pH 1.8 with perchloric acid R and dilute to 1000 mL with water for chromatography R;
— mobile phase B: mobile phase A, acetonitrile R1 (38:62 V/V);
| Time (min) |
Mobile phase A (per cent) |
Mobile phase B (per cent) |
| 0 – 1 | 50 | 50 |
| 1 – 31 | 50 → 0 | 50 → 100 |
Flow rate: 1.0 mL/min.
Detection: Spectrophotometer at 210 nm.
Injection: 10 μL of the test solution and reference solutions (a) and (b).
Identification of impurities: Use the chromatogram supplied with saquinavir for system suitability CRS and the chromatogram obtained with reference solution (b) to identify the peaks due to impurities A, B, C and D.
Relative retention: With reference to saquinavir (retention time = about 17 min): impurity A = about 0.2; impurity B = about 0.3; impurity C = about 0.5; impurity D = about 0.9.
System suitability: Reference solution (b):
— peak-to-valley ratio: minimum 3, where Hp = height above the baseline of the peak due to impurity D and Hv = height above the baseline of the lowest point of the curve separating this peak from the peak due to saquinavir.
Limits:
— correction factors: for the calculation of content, multiply the peak areas of the following impurities by the corresponding correction factor: impurity A = 0.5; impurity B = 0.5; impurity C = 2.5;
— impurities A, B, C: for each impurity, not more than 1.5 times the area of the principal peak in the chromatogram obtained with reference solution (a) (0.15 per cent);
— unspecified impurities: for each impurity, not more than 0.5 times the area of the principal peak in the chromatogram obtained with reference solution (a) (0.05 per cent);
— total: not more than 5 times the area of the principal peak in the chromatogram obtained with reference solution (a) (0.5 per cent);
— disregard limit: not more than 0.3 times the area of the principal peak in the chromatogram obtained with reference solution (a) (0.03 per cent).
Water (2.5.12)
Maximum 1.0 per cent, determined on 0.250 g.
Sulfated ash (2.4.14)
Maximum 0.1 per cent, determined on 1.0 g.
ASSAY
Liquid chromatography (2.2.29) as described in the test for related substances with the following modification.
Injection: 10 μL of the test solution and reference solution (c).
Calculate the percentage content of saquinavir mesilate from the assigned content of saquinavir mesilate CRS.
STORAGE
In an airtight container, protected from light.
IMPURITIES
Specified impurities A, B, C.
Other detectable impurities (the following substances would, if present at a sufficient level, be detected by one or other of the tests in the monograph. They are limited by the general acceptance criterion for other/unspecified impurities and/or by the general monograph Substances for pharmaceutical use (2034). It is therefore not necessary to identify these impurities for demonstration of compliance. See also 5.10. Control of impurities in substances for pharmaceutical use) D, E, F, G, H.

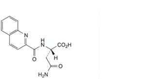
A. (2S)-4-amino-4-oxo-2-[(quinolin-2-ylcarbonyl)amino]butanoic acid,

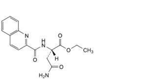
B. ethyl (2S)-4-amino-4-oxo-2-[(quinolin-2-ylcarbonyl)amino]butanoate,

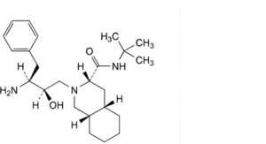
C. (3S,4aS,8aS)-2-[(2R,3S)-3-amino-2-hydroxy-4-phenylbutyl]-N-(1,1-dimethylethyl)decahydroisoquinoline-3-carboxamide,

D. (2R)-N1 -[(1S,2R)-1-benzyl-3-[(3S,4aS,8aS)-3-[(1,1-dimethylethyl)carbamoyl]octahydroisoquinolin-2(1H)-yl]-2- hydroxypropyl]-2-[(quinolin-2-ylcarbonyl)amino]butanediamide (2-epi-saquinavir),

E. (3S)-4-[[(1S,2R)-1-benzyl-3-[(3S,4aS,8aS)-3-[(1,1-dimethylethyl)carbamoyl]octahydroisoquinolin-2(1H)-yl]-2- hydroxypropyl]amino]-4-oxo-3-[(quinolin-2-ylcarbonyl)amino]butanoic acid,

F. N-[(1S)-2-[[(1S,2R)-1-benzyl-3-[(3S,4aS,8aS)-3-[(1,1-dimethylethyl)carbamoyl]octahydroisoquinolin-2(1H)-yl]-2-hydroxypropyl]amino]-1-(cyanomethyl)-2-oxoethyl]quinoline-2-carboxamide,

G. methyl (3S)-4-[[(1S,2R)-1-benzyl-3-[(3S,4aS,8aS)-3-[(1,1-dimethylethyl)carbamoyl]octahydroisoquinolin-2(1H)-yl]-2-hydroxypropyl]amino]-4-oxo-3-[(quinolin-2-ylcarbonyl)amino]butanoate,

H. N-[(3S)-1-[(1S,2R)-1-benzyl-3-[(3S,4aS,8aS)-3-[(1,1-dimethylethyl)carbamoyl]octahydroisoquinolin-2(1H)-yl]-2-
hydroxypropyl]-2,5-dioxopyrrolidin-3-yl]quinoline-2-carboxamide.






