(Ph. Eur. monograph 2136)
C37H48N6O5S2 721 155213-67-5
Action and use
Protease inhibitor; antiviral (HIV).
Preparations
Ritonavir Oral Solution
Ritonavir Tablets
DEFINITION
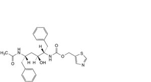
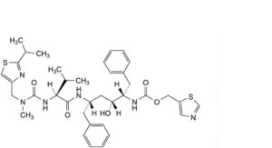
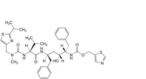
Thiazol-5-ylmethyl [(1S,2S,4S)-1-benzyl-2-hydroxy-4-[[(2S)-3-methyl-2-[[methyl[[2-(1-methylethyl)thiazol-4-yl]methyl]carbamoyl]amino]butanoyl]amino]-5-phenylpentyl]carbamate.
Content
97.0 per cent to 102.0 per cent (anhydrous substance).
PRODUCTION
The production method is validated to demonstrate suitable enantiomeric purity of the final product.
CHARACTERS
Appearance
White or almost white powder.
Solubility
Practically insoluble in water, freely soluble in methanol and in methylene chloride, very slightly soluble in acetonitrile.
It shows polymorphism (5.9).
IDENTIFICATION
Infrared absorption spectrophotometry (2.2.24).
Comparison: ritonavir CRS.
If the spectra obtained in the solid state show differences dissolve the substance to be examined and the reference substance separately in methylene chloride R, evaporate to dryness and record new spectra using the residues.
TESTS
Related substances
Liquid chromatography (2.2.29).
Solvent mixture: Mix equal volumes of acetonitrile R and a 4.1 g/L solution of potassium dihydrogen phosphate R.
Test solution (a): Dissolve 10.0 mg of the substance to be examined in the solvent mixture and dilute to 10.0 mL with the solvent mixture. Sonicate if necessary.
Test solution (b): Dilute 5.0 mL of test solution (a) to 10.0 mL with the solvent mixture. Dilute 1.0 mL of this solution to 20.0 mL with the solvent mixture.
Reference solution (a): Dissolve 5.0 mg of ritonavir for peak identification CRS (containing impurities E, F, L, O and T) in the solvent mixture and dilute to 5.0 mL with the solvent mixture. Sonicate if necessary.
Reference solution (b): Dilute 1.0 mL of test solution (a) to 10.0 mL with the solvent mixture. Dilute 1.0 mL of this solution to 100.0 mL with the solvent mixture.
Reference solution (c): Dissolve 10.0 mg of ritonavir CRS in the solvent mixture and dilute to 10.0 mL with the solvent mixture. Sonicate if necessary. Dilute 5.0 mL of this solution to 10.0 mL with the solvent mixture.
Dilute 1.0 mL of this solution to 20.0 mL with the solvent mixture.
Column:
— size: l = 0.15 m, Ø = 4.6 mm;
— stationary phase: end-capped butylsilyl silica gel for chromatography R (3 μm);
— temperature: 60 °C.
Mobile phase:
— mobile phase A: mix 5 volumes of butanol R, 8 volumes of tetrahydrofuran R, 18 volumes of acetonitrile R and 69 volumes of a 4.1 g/L solution of potassium dihydrogen phosphate R filtered through a 0.45 μm nylon membrane;
— mobile phase B: mix 5 volumes of butanol R, 8 volumes of tetrahydrofuran R, 40 volumes of a 4.1 g/L solution of potassium dihydrogen phosphate R filtered through a 0.45 μm nylon membrane and 47 volumes of acetonitrile R;
| Time (min) |
Mobile phase A (per cent V/V) |
Mobile phase B (per cent V/V) |
| 0 – 60 | 100 | 0 |
| 60 – 120 | 100 → 0 | 0 → 100 |
| 120 – 120.1 | 0 → 100 | 100 → 0 |
| 120.1 – 155 | 100 | 0 |
Flow rate: 1.0 mL/min.
Detection: Spectrophotometer at 240 nm.
Injection: 50 μL of test solution (a) and reference solutions (a) and (b).
Identification of impurities: Use the chromatogram supplied with ritonavir for peak identification CRS and the chromatogram obtained with reference solution (a) to identify the peaks due to impurities E, F, L, O and T.
Relative retention: With reference to ritonavir (retention time = about 34 min): impurity E = about 0.39; impurity F = about 0.40; impurity L = about 0.8; impurity O = about 1.1; impurity T = about 2.6.
System suitability: Reference solution (a):
— peak-to-valley ratio: minimum 1.2, where Hp = height above the baseline of the peak due to impurity E and Hv = height above the baseline of the lowest point of the curve separating this peak from the peak due to impurity F.
Limits:
— correction factors: for the calculation of content, multiply the peak areas of the following impurities by the corresponding correction factor: impurity F = 1.4; impurity L = 1.9; impurity T = 1.4;
— impurities E, O: for each impurity, not more than 3 times the area of the principal peak in the chromatogram obtained with reference solution (b) (0.3 per cent);
— impurity T: not more than twice the area of the principal peak in the chromatogram obtained with reference solution (b) (0.2 per cent);
— impurities F, L: for each impurity, not more than the area of the principal peak in the chromatogram obtained with reference solution (b) (0.1 per cent);
— unspecified impurities: for each impurity, not more than the area of the principal peak in the chromatogram obtained with reference solution (b) (0.10 per cent);
— total: not more than 10 times the area of the principal peak in the chromatogram obtained with reference solution (b) (1.0 per cent);
— disregard limit: 0.5 times the area of the principal peak in the chromatogram obtained with reference solution (b) (0.05 per cent).
Water (2.5.12)
Maximum 0.5 per cent, determined on 0.500 g.
Sulfated ash (2.4.14)
Maximum 0.2 per cent, determined on 1.0 g.
ASSAY
Liquid chromatography (2.2.29) as described in the test for related substances with the following modification.
Injection: Test solution (b) and reference solution (c).
Calculate the percentage content of C37H48N6O5S2 from the declared content of ritonavir CRS.
STORAGE
Protected from light.
IMPURITIES
Specified impurities E, F, L, O, T.
Other detectable impurities (the following substances would, if present at a sufficient level, be detected by one or other of the tests in the monograph. They are limited by the general acceptance criterion for other/unspecified impurities and/or by the general monograph Substances for pharmaceutical use (2034). It is therefore not necessary to identify these impurities for demonstration of compliance. See also 5.10. Control of impurities in substances for pharmaceutical use) A, B, C, D, G, H, I, J, K, M, N, P, Q, R, S, U.

A. (2S)-3-methyl-2-[[methyl[[2-(1-methylethyl)thiazol-4-yl]methyl]carbamoyl]amino]butanoic acid,

B. thiazol-5-ylmethyl [(1S,2S,4S)-4-[[(2S)-2-amino-3-methylbutanoyl]amino]-1-benzyl-2-hydroxy-5-phenylpentyl]carbamate,

C. thiazol-5-ylmethyl [(1S,2S,4S)-4-(acetylamino)-1-benzyl-2-hydroxy-5-phenylpentyl]carbamate,

D. thiazol-5-ylmethyl [(1S,2S,4S)-1-benzyl-2-hydroxy-5-phenyl-4-[[(thiazol-5-ylmethoxy)carbonyl]amino]pentyl]carbamate,

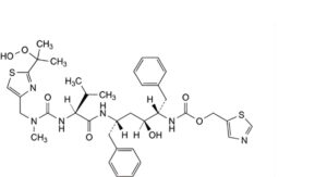
E. thiazol-5-ylmethyl [(1S,2S,4S)-1-benzyl-2-hydroxy-4-[[(2S)-2-[[[[2-(1-hydroxy-1-methylethyl)thiazol-4-yl]methyl]methylcarbamoyl]amino]-3-methylbutanoyl]amino]-5-phenylpentyl]carbamate,

F. thiazol-5-ylmethyl [(1S,2S,4S)-1-benzyl-4-[[(2S)-1-benzyl-2-hydroxy-4-[(4S)-4-(1-methylethyl)-2,5-dioxoimidazolidin-1-yl]-5-phenylpentyl]carbamate,

G. thiazol-5-ylmethyl [(1S,2S,4S)-1-benzyl-4-[[(2S)-2-[[[[2-(1-hydroperoxy-1-methylethyl)thiazol-4-yl]methyl]methylcarbamoyl]amino]-3-methylbutanoyl]amino]-2-hydroxy-5-phenylpentyl]carbamate,

H. thiazol-5-ylmethyl (4S,5S)-4-benzyl-5-[(2S)-2-[(4S)-4-(1-methylethyl)-2,5-dioxoimidazolidin-1-yl]-3-phenylpropyl]-2-oxooxazolidine-3-carboxylate,

I. thiazol-5-ylmethyl [((1S,2S,4S)-1-benzyl-4-[[(2S)-2-[[[[2-ethylthiazol-4-yl]methyl]methylcarbamoyl]amino]-3-methylbutanoyl]amino]-2-hydroxy-5-phenylpentyl]carbamate,

J. thiazol-5-ylmethyl [(1S,2S,4S)-1-benzyl-4-[[(1,1-dimethylethoxy)carbonyl]amino]-2-hydroxy-5-phenylpentyl]carbamate,

K. thiazol-5-ylmethyl (1S,2S,4S)-1-benzyl-2-hydroxy-4-[[(2-methylpropoxy)carbonyl]amino]-5-phenylpentyl]carbamate,

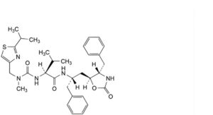
L. (4S,5S)-4-benzyl-5-[(2S)-2-[[(2S)-3-methyl-2-[[methyl[[2-(1-methylethyl)thiazol-4-yl]methyl]carbamoyl]amino]butanoyl]amino]-3-phenylpropyl]oxazolidin-2-one,

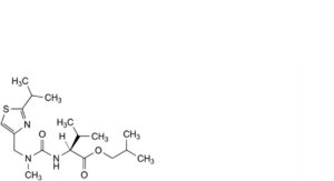
M. 2-methylpropyl (2S)-3-methyl-2-[[methyl[[2-(1-methylethyl)thiazol-4-yl]methyl]carbamoyl]amino]butanoate,

N. thiazol-5-ylmethyl [(1S,3S,4S)-1-benzyl-3-hydroxy-4-[[(2S)-3-methyl-2-[[methyl[[2-(1-methylethyl)thiazol-4-yl]methyl]carbamoyl]amino]butanoyl]amino]-5-phenylpentyl]carbamate,

O. thiazol-5-ylmethyl [(1S,2R,4S)-1-benzyl-2-hydroxy-4-[[(2S)-3-methyl-2-[[methyl[[2-(1-methylethyl)thiazol-4-yl]methyl]carbamoyl]amino]butanoyl]amino]-5-phenylpentyl]carbamate,

P. bis(thiazol-5-ylmethyl) [carbonylbis[imino[(2S,3S,5S)-3-hydroxy-1,6-diphenylhexane-5,2-diyl]]]dicarbamate,

Q. thiazol-5-ylmethyl [(1S,2R,4R)-1-benzyl-2-hydroxy-4-[[(2S)-3-methyl-2-[[methyl[[2-(1-methylethyl)thiazol-4-yl]methyl]carbamoyl]amino]butanoyl]amino]-5-phenylpentyl]carbamate,

R. thiazol-5-ylmethyl [(1S,2S,4R)-1-benzyl-2-hydroxy-4-[[(2S)-3-methyl-2-[[methyl[[2-(1-methylethyl)thiazol-4-yl]methyl]carbamoyl]amino]butanoyl]amino]-5-phenylpentyl]carbamate,

S. thiazol-5-ylmethyl [(1S,2S,4S)-1-benzyl-4-[[(2S)-2-[[[(1S,3S,4S)-1-benzyl-3-hydroxy-5-phenyl-4-[[(thiazol-5-ylmethoxy)carbonyl]amino]pentyl]carbamoyl]amino]-3-methylbutanoyl]amino]-2-hydroxy-5-phenylpentyl]carbamate,

T. (2S)-N-[(1S,2S,4S)-1-benzyl-2-hydroxy-4-[[(2S)-3-methyl-2-[[methyl[[2-(1-methylethyl)thiazol-4-yl]methyl]carbamoyl]amino]butanoyl]amino]-5-phenylpentyl]-3-methyl-2-[[methyl[[2-(1-methylethyl)thiazol-4yl]methyl]carbamoyl]amino]butanamide,

U. (1S,3S)-3-[[(2S)-3-methyl-2-[[methyl[[2-(1-methylethyl)thiazol-4-yl]methyl]carbamoyl]amino]butanoyl]amino]-4-phenyl-1-[(1S)-2-phenyl-1-[[(thiazol-5-ylmethoxy)carbonyl]amino]ethyl]butyl (2S)-3-methyl-2-[[methyl[[2-(1-methylethyl)thiazol-4-yl]methyl]carbamoyl]amino]butanoate.






