(Ph. Eur. monograph 1559)
C23H27FN4O2 410.5 106266-06-2
Action and use
Dopamine D2 receptor antagonist; serotonin 5HT2 receptor antagonist; neuroleptic.
Preparations
Risperidone Oral Solution
Risperidone Tablets
Risperidone Dispersible Tablets
DEFINITION
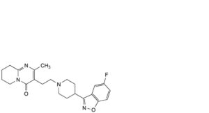
3-[2-[4-(6-Fluoro-1,2-benzisoxazol-3-yl)piperidin-1-yl]ethyl]-2-methyl-6,7,8,9-tetrahydro-4H-pyrido[1,2-a]pyrimidin-4-one.
Content
99.0 per cent to 101.0 per cent (dried substance).
CHARACTERS
Appearance
White or almost white powder.
Solubility
Practically insoluble in water, freely soluble in methylene chloride, sparingly soluble in ethanol (96 per cent). It dissolves in dilute acid solutions.
It shows polymorphism (5.9).
IDENTIFICATION
Infrared absorption spectrophotometry (2.2.24).
Comparison: risperidone CRS.
If the spectra obtained show differences, dissolve the substance to be examined and the reference substance separately in acetone R, evaporate to dryness and record new spectra using the residues.
TESTS
Appearance of solution
The solution is clear (2.2.1) and colourless (2.2.2, Method II).
Dissolve 0.1 g in a 7.5 g/L solution of tartaric acid R and dilute to 100 mL with the same acid solution.
Related substances
Liquid chromatography (2.2.29).
Test solution: Dissolve 0.100 g of the substance to be examined in methanol R and dilute to 10.0 mL with the same solvent.
Reference solution (a): Dissolve 10 mg of risperidone for system suitability CRS (containing impurities A, B, C, D and E) in 1.0 mL of methanol R.
Reference solution (b): Dilute 1.0 mL of the test solution to 100.0 mL with methanol R. Dilute 5.0 mL of this solution to 25.0 mL with methanol R.
Reference solution (c): Dissolve the contents of a vial of risperidone impurity K CRS in 1.0 mL of methanol R.
Column:
— size: l = 0.10 m, Ø = 4.6 mm;
— stationary phase: base-deactivated octadecylsilyl silica gel for chromatography R (3 μm).
Mobile phase:
— mobile phase A: 5 g/L solution of ammonium acetate R;
— mobile phase B: methanol R;
| Time (min) |
Mobile phase A (per cent V/V) |
Mobile phase B (per cent V/V) |
| 0 – 2 | 70 | 30 |
| 2 – 17 | 70 → 30 | 30 → 70 |
| 17 – 22 | 30 | 70 |
Flow rate: 1.5 mL/min.
Detection: Spectrophotometer at 260 nm.
Injection: 10 μL.
Identification of impurities: Use the chromatogram supplied with risperidone for system suitability CRS and the chromatogram obtained with reference solution (a) to identify the peaks due to impurities A, B, C, D and E; use the chromatogram obtained with reference solution (c) to identify the peak due to impurity K.
Relative retention: With reference to risperidone (retention time = about 12 min): impurity A = about 0.7; impurity B = about 0.75; impurity C = about 0.8; impurity K = about 0.9; impurity D = about 0.94; impurity E = about 1.1.
System suitability: Reference solution (a):
— the chromatogram obtained is similar to the chromatogram supplied with risperidone for system suitability CRS;
— peak-to-valley ratio: minimum 1.5, where Hp = height above the baseline of the peak due to impurity D and Hv = height above the baseline of the lowest point of the curve separating this peak from the peak due to risperidone.
Limits:
— impurities A, B, C, D, E: for each impurity, not more than the area of the principal peak in the chromatogram obtained with reference solution (b) (0.2 per cent);
— impurity K: not more than 0.75 times the area of the principal peak in the chromatogram obtained with reference solution (b) (0.15 per cent);
— unspecified impurities: for each impurity, not more than 0.5 times the area of the principal peak in the chromatogram obtained with reference solution (b) (0.10 per cent);
— total: not more than 1.5 times the area of the principal peak in the chromatogram obtained with reference solution (b) (0.3 per cent);
— disregard limit: 0.25 times the area of the principal peak in the chromatogram obtained with reference solution (b) (0.05 per cent).
Loss on drying (2.2.32)
Maximum 0.5 per cent, determined on 1.000 g by drying in an oven at 105 °C for 4 h.
Sulfated ash (2.4.14)
Maximum 0.1 per cent, determined on 1.0 g in a platinum crucible.
ASSAY
Dissolve 0.160 g in 70 mL of a mixture of 1 volume of anhydrous acetic acid R and 7 volumes of methyl ethyl ketone R and titrate with 0.1 M perchloric acid. Determine the end-point potentiometrically (2.2.20).
1 mL of 0.1 M perchloric acid is equivalent to 20.53 mg of C23H27FN4O2.
STORAGE
Protected from light.
IMPURITIES
Specified impurities A, B, C, D, E, K.
Other detectable impurities (the following substances would, if present at a sufficient level, be detected by one or other of the tests in the monograph. They are limited by the general acceptance criterion for other/unspecified impurities and/or by the general monograph Substances for pharmaceutical use (2034). It is therefore not necessary to identify these impurities for demonstration of compliance. See also 5.10. Control of impurities in substances for pharmaceutical use) F, H, I, J, L, M.

A. 3-[2-[4-[(E)-(2,4-difluorophenyl)(hydroxyimino)methyl]piperidin-1-yl]ethyl]-2-methyl-6,7,8,9-tetrahydro-4H-pyrido[1,2-a]pyrimidin-4-one,

B. 3-[2-[4-[(Z)-(2,4-difluorophenyl)(hydroxyimino)methyl]piperidin-1-yl]ethyl]-2-methyl-6,7,8,9-tetrahydro-4H-pyrido[1,2-a]pyrimidin-4-one,

C. (9RS)-3-[2-[4-(6-fluoro-1,2-benzisoxazol-3-yl)piperidin-1-yl]ethyl]-9-hydroxy-2-methyl-6,7,8,9-tetrahydro-4H-pyrido[1,2-a]pyrimidin-4-one,

D. 3-[2-[4-(5-fluoro-1,2-benzisoxazol-3-yl)piperidin-1-yl]ethyl]-2-methyl-6,7,8,9-tetrahydro-4H-pyrido[1,2-a]pyrimidin-4-one,

E. (6RS)-3-[2-[4-(6-fluoro-1,2-benzisoxazol-3-yl)piperidin-1-yl]ethyl]-2,6-dimethyl-6,7,8,9-tetrahydro-4H-pyrido[1,2-a]pyrimidin-4-one,

F. 2-[2-methyl-4-oxo-6,7,8,9-tetrahydro-4H-pyrido[1,2-a]pyrimidin-3-yl]ethyl 4-(6-fluoro-1,2-benzisoxazol-3-yl)piperidin-1-carboxylate,

H. 3-[2-[4-(2,4-difluorobenzoyl)piperidin-1-yl]ethyl]-2-methyl-6,7,8,9-tetrahydro-4H-pyrido[1,2-a]pyrimidin-4-one,

I. 3-[2-[4-[4-fluoro-2-[4-(6-fluoro-1,2-benzisoxazol-3-yl)piperidin-1-yl]benzoyl]piperidin-1-yl]ethyl]-2-methyl-6,7,8,9-tetrahydro-4H-pyrido[1,2-a]pyrimidin-4-one,

J. 3-[2-[4-[(Z)-[4-fluoro-2-[4-(6-fluoro-1,2-benzisoxazol-3-yl)piperidin-1-yl]phenyl](hydroxyimino)methyl]piperidin-1-yl]ethyl]-2-methyl-6,7,8,9-tetrahydro-4H-pyrido[1,2-a]pyrimidin-4-one,

K. 3-[2-[4-(1,2-benzisoxazol-3-yl)piperidin-1-yl]ethyl]-2-methyl-6,7,8,9-tetrahydro-4H-pyrido[1,2-a]pyrimidin-4-one(desfluoro risperidone),

L. 3-(2-chloroethyl)-2-methyl-6,7,8,9-tetrahydro-4Hpyrido[1,2-a]pyrimidin-4-one (piperidopyrimidinone intermediate),

M. 6-fluoro-3-(piperidin-4-yl)-1,2-benzisoxazole.






