(Ph. Eur. monograph 2572)
C7H10NNaO7P2,21⁄2H2O 350.1 329003-65-8
Action and use
Bisphosphonate; treatment of osteoporosis, Paget’s disease.
Preparation
Risedronate Sodium Tablets
DEFINITION
Monosodium trihydrogen [1-hydroxy-2-(pyridin-3-yl)ethane-1,1-diyl]bis(phosphonate) hemipentahydrate.
Content
99.0 per cent to 101.0 per cent (anhydrous substance).
CHARACTERS
Appearance
White or almost white, crystalline powder.
Solubility
Soluble in water, practically insoluble in methanol. It dissolves in dilute solutions of alkali hydroxides and mineral acids.
IDENTIFICATION
A. Infrared absorption spectrophotometry (2.2.24).
Comparison risedronate sodium 2.5-hydrate CRS.
B. It gives reaction (a) of sodium (2.3.1). Dissolution of the substance to be examined is achieved after the addition of the 150 g/L solution of potassium carbonate R.
C. Water (see Tests).
TESTS
pH (2.2.3)
4.0 to 5.0.
Dissolve 0.10 g in carbon dioxide-free water R with the aid of an ultrasonic bath and dilute to 10 mL with the same solvent.
Related substances
A. Liquid chromatography (2.2.29).
Buffer solution: Dissolve 0.410 g of sodium edetate R, 1.7 g of dipotassium hydrogen phosphate R and 1.7 g of tetrabutylammonium dihydrogen phosphate R in 900 mL of water for chromatography R, adjust to pH 7.5 with 1 M sodium hydroxide and dilute to 1000 mL with water for chromatography R. Solution A Dissolve 0.1 g of sodium chloride R in the mobile phase and dilute to 10.0 mL with the mobile phase.
Test solution: Dissolve 50 mg of the substance to be examined in the mobile phase by gentle swirling and heating for 5-10 min and dilute to 20.0 mL with the mobile phase.
Reference solution (a): To 2 mL of the test solution add 5 mg of risedronate impurity E CRS and dilute to 50 mL with the mobile phase. Dilute 1 mL of this solution to 10 mL with the mobile phase.
Reference solution (b): Dilute 1.0 mL of the test solution to 100.0 mL with the mobile phase. Dilute 1.0 mL of this solution to 10.0 mL with the mobile phase.
Column:
— size: l = 0.15 m, Ø = 4.6 mm;
— stationary phase: end-capped octadecylsilyl silica gel for chromatography R (3 μm);
— temperature: 40 °C.
Mobile phase: acetonitrile R, buffer solution (10:90 V/V).
Flow rate: 1.0 mL/min.
Detection: Spectrophotometer at 263 nm.
Injection: 20 μL.
Run time: Twice the retention time of risedronate.
Identification of impurities: Use the chromatogram obtained with reference solution (a) to identify the peak due to impurity E.
Relative retention: With reference to risedronate (retention time = about 17 min): impurity E = about 0.95.
System suitability: Reference solution (a):
— resolution: minimum 3.0 between the peaks due to impurity E and risedronate.
Limits:
— unspecified impurities: for each impurity, not more than the area of the principal peak in the chromatogram obtained with reference solution (b) (0.10 per cent);
— total: not more than twice the area of the principal peak in the chromatogram obtained with reference solution (b) (0.2 per cent);
— disregard limit: 0.5 times the area of the principal peak in the chromatogram obtained with reference solution (b) (0.05 per cent); disregard any peak due to solution A.
B. Liquid chromatography (2.2.29) as described in test A for related substances, with the following modifications.
Reference solution (a): Dissolve 5 mg of the substance to be examined in 50 mL of the mobile phase by gentle swirling and heating for 5-10 min, using an ultrasonic bath if necessary.
Reference solution (b): Dissolve the contents of a vial of risedronate impurity A CRS in 1 mL of reference solution (a), using an ultrasonic bath if necessary.
Reference solution (c): Dilute 1.0 mL of the test solution to 100.0 mL with the mobile phase. Dilute 1.0 mL of this solution to 10.0 mL with the mobile phase.
Mobile phase: acetonitrile R, buffer solution (25:75 V/V).
Injection: 10 μL of solution A, the test solution and reference solutions (b) and (c).
Run time: 8 times the retention time of risedronate.
Identification of impurities: Use the chromatogram obtained with reference solution (b) to identify the peak due to impurity A.
Relative retention: With reference to risedronate (retention time = about 4 min): impurity A = about 2.2.
System suitability: Reference solution (b):
— resolution: minimum 10.0 between the peaks due to risedronate and impurity A.
Limits:
— unspecified impurities: for each impurity, not more than the area of the principal peak in the chromatogram obtained with reference solution (c) (0.10 per cent);
— total: not more than twice the area of the principal peak in the chromatogram obtained with reference solution (c) (0.2 per cent);
— disregard limit: 0.5 times the area of the principal peak in the chromatogram obtained with reference solution (c) (0.05 per cent); disregard any peak due to solution A and any peak eluting before the peak due to risedronate.
Water (2.5.12)
11.9 per cent to 13.9 per cent, determined on 0.100 g.
ASSAY
Dissolve 0.125 g in 50 mL of carbon dioxide-free water R. Titrate with 0.1 M sodium hydroxide, determining the end-point potentiometrically (2.2.20).
1 mL of 0.1 M sodium hydroxide is equivalent to 15.26 mg of C7H10NNaO7P2.
IMPURITIES
Other detectable impurities (the following substances would, if present at a sufficient level, be detected by one or other of the tests in the monograph. They are limited by the general acceptance criterion for other/unspecified impurities and/or by the general monograph Substances for pharmaceutical use (2034). It is therefore not necessary to identify these impurities for demonstration of compliance. See also 5.10. Control of impurities in substances for pharmaceutical use) A, B, C, D, E.

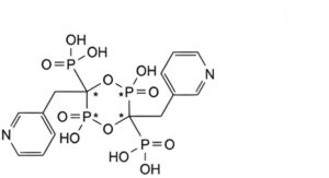
A. [(2Ξ,3Ξ,5Ξ,6Ξ)-2,5-dihydroxy-2,5-dioxo-3,6-bis[(pyridin-3-yl)methyl]-1,4,2λ ,5λ -dioxadiphosphinane-3,6-diyl]bis(phosphonic acid),

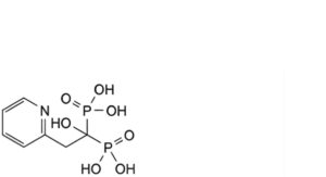
B. [1-hydroxy-2-(pyridin-2-yl)ethane-1,1-diyl]bis(phosphonic acid),

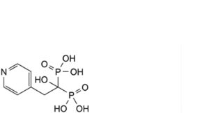
C. [1-hydroxy-2-(pyridin-4-yl)ethane-1,1-diyl]bis(phosphonic acid),

D. (pyridin-3-yl)acetic acid,

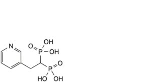
E. [2-(pyridin-3-yl)ethane-1,1-diyl]bis(phosphonic acid).






