(Ph. Eur. monograph 3023)
Action and use
Tyrosine kinase inhibitor; treatment of metastatic colorectal cancer and unresectable or metastatic gastrointestinal stromal tumour.
DEFINITION
Tablets containing Regorafenib monohydrate (3012), for human use.
They comply with the monograph Tablets (0478) and the following additional requirements.
Content
95.0 per cent to 105.0 per cent of the content of regorafenib (C21H15ClF4N4O3) stated on the label.
IDENTIFICATION
A. Record the UV spectrum of the principal peak in the chromatograms obtained with the solutions used in the assay, with a diode array detector in the range of 210-400 nm.
Results: The UV spectrum of the principal peak in the chromatogram obtained with the test solution is similar to the UV spectrum of the principal peak in the chromatogram obtained with reference solution (b).
B. Examine the chromatograms obtained in the assay.
Results: The principal peak in the chromatogram obtained with the test solution is similar in retention time and size to the principal peak in the chromatogram obtained with reference solution (b).
TESTS
Impurity A
Liquid chromatography (2.2.29). Carry out the test protected from light and store the solutions at 2-8 °C.
Internal standard solution: Dissolve 2.0 mg of 4-(4-aminophenoxy)-N-methylpicolinamide R in methanol R and dilute to 200.0 mL with the same solvent.
Buffer solution To 0.4 mL of concentrated ammonia R add 0.7 mL of acetic acid R and dilute to 1000 mL with water for chromatography R; adjust to pH 4.6 with acetic acid R or concentrated ammonia R.
Test solution: Cut 5 tablets into pieces and add about 60 mL of methanol R and 2.0 mL of the internal standard solution.Sonicate for at least 15 min then shake for about 30 min until the tablet cores are finely dispersed. Dilute with methanol R to obtain a concentration of regorafenib of 2 mg/mL and shake vigorously. Centrifuge about 10 mL of the solution at 3400 g for 10 min. Dilute 5.0 mL of the supernatant to 10.0 mL with a 10 per cent V/V solution of tetrahydrofuran R and sonicate for another 30 s. Keep the solution on ice for at least 30 min with intermittent shaking. Filter through a 0.45 μm filter, discarding the initial 2 mL. Transfer an aliquot of the filtrate into a vial and allow to cool in an autosampler maintained at 8 °C for at least 1 h prior to injecting.
Reference solution (a): Dissolve 3.0 mg of regorafenib impurity A CRS in methanol R and dilute to 100.0 mL with the same solvent.
Reference solution (b): Dilute 10.0 mL of reference solution (a) to 20.0 mL with a 50 per cent V/V solution of methanol R. To 7.0 mL of this solution add 5.0 mL of tetrahydrofuran R and 1.0 mL of the internal standard solution then dilute to 100.0 mL with a 50 per cent V/V solution of methanol R.
Reference solution (c): Dilute 5 mL of reference solution (a) to 20 mL with a 50 per cent V/V solution of methanol R. To 7 mL of this solution add 5 mL of tetrahydrofuran R and 1 mL of the internal standard solution then dilute to 100 mL with a 50 per cent V/V solution of methanol R.
Column:
— size: l = 0.10 m, Ø = 3.0 mm;
— stationary phase: end-capped octadecylsilyl silica gel for chromatography R (3 μm).
Mobile phase:
— mobile phase A: anhydrous ethanol R, buffer solution (25:75 V/V);
— mobile phase B: anhydrous ethanol R;
| Time (min) |
Mobile phase A (per cent V/V) |
Mobile phase B (per cent V/V) |
| 0 – 11 | 100 | 0 |
| 11 – 15 | 100 → 95 | 0 → 5 |
| 15 – 17 | 95 | 5 |
| 17 – 17.5 | 95 → 10 | 5 → 90 |
| 17.5 – 20 | 10 | 90 |
Flow rate: 0.4 mL/min.
Detection: Spectrophotometer at 228 nm.
Autosampler: Set at 8 °C.
Injection: 40 μL of the test solution and reference solutions (b) and (c).
Relative retention: With reference to the internal standard (retention time = about 7 min): impurity A = about 1.9.
System suitability: Reference solution (c):
— resolution: minimum 3.0 between the peaks due to the internal standard and impurity A;
— repeatability: maximum relative standard deviation of 5.0 per cent for the ratio of the area of the peak due to impurity A to the area of the peak due to the internal standard, determined on 6 injections.
Calculation of percentage content:
— for impurity A, use the concentration of impurity A in reference solution (b).
Limit:
— impurity A: maximum 0.10 per cent.
Related substances
Liquid chromatography (2.2.29). Carry out the test protected from light.
Solvent mixture: water R, acetonitrile R (25:75 V/V).
Test solution: Cut 5 tablets into pieces and add 60 mL of methanol R. Sonicate for at least 15 min then shake for about 30 min until the tablet cores are finely dispersed. Dilute with methanol R to obtain a concentration of regorafenib of 2 mg/mL and shake vigorously. Centrifuge about 10 mL of the solution at 3400 g for 5 min. Dilute 4.0 mL of the supernatant to 50.0 mL with the solvent mixture.
Reference solution (a): Dilute 1.0 mL of the test solution to 100.0 mL with the solvent mixture. Dilute 2.0 mL of this solution to 10.0 mL with the solvent mixture.
Reference solution (b): Dissolve 16.0 mg of regorafenib monohydrate CRS in the solvent mixture and dilute to 100.0 mL with the solvent mixture.
Reference solution (c): Dissolve 2 mg of regorafenib impurity C CRS and 2 mg of regorafenib impurity D CRS in the solvent mixture and dilute to 100 mL with the solvent mixture. Dilute 4 mL of the solution to 10 mL with the solvent mixture. To 5 mg of regorafenib for FP system suitability CRS (containing impurity FP-A) add 1 mL of this solution and dilute to 10 mL with the solvent mixture.
Reference solution (d): Dissolve 2.0 mg of regorafenib impurity FP-B CRS and 4.0 mg of regorafenib impurity FP-C CRS in the solvent mixture and dilute to 100.0 mL with the solvent mixture. Dilute 2.0 mL of the solution to 100.0 mL with the
solvent mixture.
Reference solution (e) Dissolve 3.2 mg of regorafenib impurity FP-C CRS in the solvent mixture and dilute to 100 mL with the solvent mixture. To 3.2 mg of regorafenib monohydrate CRS, add 2 mL of this solution and dilute to 20 mL with the solvent mixture.
Column:
— size: l = 0.10 m, Ø = 4.6 mm;
— stationary phase: end-capped octadecylsilyl silica gel for chromatography R (3 μm);
— temperature: 40 °C.
Mobile phase:
— mobile phase A: trifluoroacetic acid R, acetonitrile R, water for chromatography R (1.5:250:748.5 V/V/V);
— mobile phase B: acetonitrile R;
| Time (min) |
Mobile phase A (per cent V/V) |
Mobile phase B (per cent V/V) |
| 0 – 2 | 100 | 0 |
| 2 – 4.5 | 100 → 66.6 | 0 → 33.4 |
| 4.5 – 12.5 | 66.6 → 57.3 | 33.4 → 42.7 |
| 12.5 – 14 | 57.3 → 20 | 42.7 → 80 |
| 14 – 17 | 20 | 80 |
Flow rate: 1.0 mL/min.
Detection: Spectrophotometer at 260 nm.
Injection: 5 μL of the test solution and reference solutions (a), (c), (d) and (e).
Identification of impurities: Use the chromatogram supplied with regorafenib for FP system suitability CRS and the chromatogram obtained with reference solution (c) to identify the peaks due to impurities A + C, D and FP-A; use the chromatogram obtained with reference solution (d) to identify the peaks due to impurities FP-B and FP-C.
Relative retention: With reference to regorafenib (retention time = about 12 min): impurities A and C = about 0.17; impurity FP-A = about 0.49; impurity D = about 0.53; impurity FP-B = about 0.63; impurity FP-C = about 1.05.
System suitability:
— resolution: minimum 3.5 between the peaks due to impurities FP-A and D in the chromatogram obtained with reference solution (c);
— resolution: minimum 2.5 between the peaks due to regorafenib and impurity FP-C in the chromatogram obtained with reference solution (e).
Calculation of percentage contents:
— correction factor: multiply the peak area of impurity FP-A by 4.0;
— for impurity FP-A and unspecified impurities, use the concentration of regorafenib in reference solution (a);
— for impurities FP-B and FP-C, use the concentration of each substance in reference solution (d).
Limits:
— impurities FP-A, FP-B and FP-C: for each impurity, maximum 0.2 per cent;
— unspecified impurities: for each impurity, maximum 0.2 per cent;
— total: maximum 0.5 per cent;
— reporting threshold: 0.1 per cent; disregard the peaks due to impurities A + C and D.
Dissolution1 (2.9.3, Apparatus 2). Carry out the test protected from light.
Dissolution medium: Dissolve 29.9 g of sodium acetate R, 16.6 mL of glacial acetic acid R and 10.0 g of sodium dodecyl sulfate R in water R and dilute to 10 L with the same solvent. Adjust to pH 4.5 with glacial acetic acid R or a 4 g/L solution of sodium hydroxide R. Use 900 mL of the medium.
Rotation speed: 75 r/min.
Time: 30 min.
Analysis: Ultraviolet and visible absorption spectrophotometry (2.2.25), using a path length of 2 mm.
Test solutions: Samples withdrawn from the dissolution vessel and filtered.
When a different path length is used, the solutions may be diluted accordingly (e.g. for a path length of 1 cm, 5-fold dilution for 40 mg tablets).
Measure the absorbance of the solutions at 265 nm.
Calculate the amount of dissolved regorafenib (C21H15ClF4N4O3), expressed as a percentage of the content stated on the label, taking the specific absorbance to be 988.
Acceptance criterion:
— Q = 80 per cent after 30 min.
ASSAY
Liquid chromatography (2.2.29) as described in the test for related substances with the following modifications.
Injection: Test solution and reference solution (b).
System suitability: Reference solution (b):
— repeatability: maximum relative standard deviation of 1.0 per cent determined on 6 injections.
Calculate the percentage content of regorafenib (C21H15ClF4N4O3) taking into account the assigned content of regorafenib monohydrate CRS.
STORAGE
Protected from moisture.
IMPURITIES
Specified impurities A, FP-A, FP-B, FP-C.
Other detectable impurities (the following substances would, if present at a sufficient level, be detected by one or other of the tests in the monograph): C, D, E.

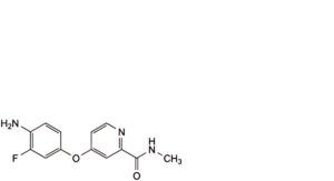
A. 4-(4-amino-3-fluorophenoxy)-N-methylpyridine-2-carboxamide,

C. 4-[3-fluoro-4-[[2-(methylcarbamoyl)pyridin-4-yl]amino]phenoxy]-N-methylpyridine-2-carboxamide,

D. 33 ,72 -difluoro-N,N′-dimethyl-5-oxo-2,8-dioxa-4,6-diaza-1(4),9(4)-dipyridina-3(1,4),7(1,4)-dibenzenanonaphane-1 ,9 -dicarboxamide,

E. 94 -chloro-34 -[[[4-chloro-3-(trifluoromethyl)phenyl]carbamoyl]amino]-5 -fluoro-N-methyl-7-oxo-9 -(trifluoromethyl)-2,4- dioxa-6,8-diaza-1(4)-pyridina-3(1,3),5(1,4),9(1)-tribenzenanonaphane-1 -carboxamide,

FP-A. ethyl [2-fluoro-4-[[2-(methylcarbamoyl)pyridin-4-yl]oxy]phenyl]carbamate,

FP-B. 4-chloro-3-(trifluoromethyl)aniline,

FP-C. ethyl [4-chloro-3-(trifluoromethyl)phenyl]carbamate.
1The test approved in the marketing authorisation is to be used for routine quality control to confirm batch-to-batch consistency. For more information please consult Ph. Eur. 1. General Notices.






