usp Hoạt chất Dược điện

Phenylalanine

DOWNLOAD FILE PDF:VIEWDOWNLOAD
Phenylalanine

If you find any inaccurate information, please let us know by providing your feedback here

(Ph. Eur. monograph 0782)

C9H11NO2 165.2 63-91-2

Action and use

Amino acid.

DEFINITION

(2S)-2-Amino-3-phenylpropanoic acid.

Product of fermentation or of protein hydrolysis.

Content

98.5 per cent to 101.0 per cent (dried substance).

CHARACTERS

Appearance

White or almost white, crystalline powder, or shiny, white flakes.

Solubility

Sparingly soluble in water, very slightly soluble in ethanol (96 per cent). It dissolves in dilute mineral acids and in dilute solutions of alkali hydroxides.

IDENTIFICATION

First identification: A, B.

Second identification: A, C, D.

A. Specific optical rotation (see Tests).

B. Infrared absorption spectrophotometry (2.2.24).

Comparison: phenylalanine CRS.

C. Thin-layer chromatography (2.2.27).

Test solution: Dissolve 10 mg of the substance to be examined in a mixture of equal volumes of glacial acetic acid R and water R and dilute to 50 mL with the same mixture of solvents.

Reference solution: Dissolve 10 mg of phenylalanine CRS in a mixture of equal volumes of glacial acetic acid R and water R and dilute to 50 mL with the same mixture of solvents.

Plate: TLC silica gel plate R.

Mobile phase: glacial acetic acid R, water R, butanol R (20:20:60 V/V/V).

Application: 5 μL.

Development: Over 2/3 of the plate.

Drying: In air.

Detection: Spray with ninhydrin solution R and heat at 105 °C for 15 min.

Results: The principal spot in the chromatogram obtained with the test solution is similar in position, colour and size to the principal spot in the chromatogram obtained with the reference solution.

D. To about 10 mg add 0.5 g of potassium nitrate R and 2 mL of sulfuric acid R. Heat on a water-bath for 20 min. Allow to cool. Add 5 mL of a 50 g/L solution of hydroxylamine hydrochloride R and allow to stand in iced water for 10 min.

Add 9 mL of strong sodium hydroxide solution R. A violet-red or violet-brown colour develops.

TESTS

Appearance of solution

The solution is clear (2.2.1) and not more intensely coloured than reference solution BY6 (2.2.2, Method II).

Dissolve 0.5 g in a 103 g/L solution of hydrochloric acid R and dilute to 10 mL with the same solution.

Specific optical rotation (2.2.7)

-35.5 to -33.0 (dried substance).

Dissolve 0.50 g in water R and dilute to 25.0 mL with the same solvent.

Ninhydrin-positive substances

Amino acid analysis (2.2.56). For analysis, use Method 1.

The concentrations of the test solution and the reference solutions may be adapted according to the sensitivity of the equipment used. The concentrations of all solutions are adjusted so that the system suitability requirements described in general chapter 2.2.46 are fulfilled, keeping the ratios of concentrations between all solutions as described.

Solution: A dilute hydrochloric acid R1 or a sample preparation buffer suitable for the apparatus used.

Test solution: Dissolve 30.0 mg of the substance to be examined in solution A and dilute to 50.0 mL with solution A.

Reference solution (a): Dilute 1.0 mL of the test solution to 100.0 mL with solution A. Dilute 2.0 mL of this solution to 10.0 mL with solution A.

Reference solution (b): Dissolve 30.0 mg of proline R in solution A and dilute to 100.0 mL with solution A. Dilute 1.0 mL of the solution to 250.0 mL with solution A.

Reference solution (c): Dilute 6.0 mL of ammonium standard solution (100 ppm NH4) R to 50.0 mL with solution A. Dilute 1.0 mL of this solution to 100.0 mL with solution A.

Reference solution (d): Dissolve 30 mg of isoleucine R and 30 mg of leucine R in solution A and dilute to 50.0 mL with solution A. Dilute 1.0 mL of the solution to 200.0 mL with solution A.

Blank solution: Solution A.

Inject suitable, equal amounts of the test, blank and reference solutions into the amino acid analyser. Run a program suitable for the determination of physiological amino acids.

System suitability Reference solution (d):

— resolution: minimum 1.5 between the peaks due to isoleucine and leucine. Calculation of percentage contents:

— for any ninhydrin-positive substance detected at 570 nm, use the concentration of phenylalanine in reference solution (a);

— for any ninhydrin-positive substance detected at 440 nm, use the concentration of proline in reference solution (b); if a peak is above the reporting threshold at both wavelengths, use the result obtained at 570 nm for quantification.

Limits:

— any ninhydrin-positive substance: for each impurity, maximum 0.2 per cent;

— total: maximum 0.5 per cent;

— reporting threshold: 0.05 per cent.

The thresholds indicated under Related substances (Table 2034.-1) in the general monograph Substances for pharmaceutical use (2034) do not apply.

Chlorides (2.4.4)

Maximum 200 ppm.

Dissolve 0.25 g in 3 mL of dilute nitric acid R and dilute to 15 mL with water R. The solution, without further addition of nitric acid, complies with the test.

Sulfates (2.4.13)

Maximum 300 ppm.

Dissolve 0.5 g in a mixture of 5 volumes of dilute hydrochloric acid R and 25 volumes of distilled water R and dilute to 15 mL with the same mixture of solvents.

Ammonium

Amino acid analysis (2.2.56) as described in the test for ninhydrin-positive substances with the following modifications.

Injection Test solution, reference solution (c) and blank solution.

Limit:

— ammonium at 570 nm: not more than the area of the corresponding peak in the chromatogram obtained with reference solution (c) (0.02 per cent), taking into account the peak due to ammonium in the chromatogram obtained
with the blank solution.

Iron (2.4.9)

Maximum 10 ppm.

In a separating funnel, dissolve 1.0 g in 10 mL of dilute hydrochloric acid R. Shake with 3 quantities, each of 10 mL, of methyl isobutyl ketone R1, shaking for 3 min each time. To the combined organic layers add 10 mL of water R and shake for 3 min. Use the aqueous layer.

Loss on drying (2.2.32)

Maximum 0.5 per cent, determined on 1.000 g by drying in an oven at 105 °C.

Sulfated ash (2.4.14)

Maximum 0.1 per cent, determined on 1.0 g.

ASSAY

Dissolve 0.100 g in 3 mL of anhydrous formic acid R. Add 30 mL of anhydrous acetic acid R. Titrate with 0.1 M perchloric acid, determining the end-point potentiometrically (2.2.20).

1 mL of 0.1 M perchloric acid is equivalent to 16.52 mg of C9H11NO2.

STORAGE

Protected from light.

IMPURITIES

Other detectable impurities (the following substances would, if present at a sufficient level, be detected by one or other of the tests in the monograph. They are limited by the general acceptance criterion for other/unspecified impurities. It is therefore not necessary to identify these impurities for demonstration of compliance. See also 5.10. Control of impurities in substances for pharmaceutical use) A, B, C, D.

Phenylalanine

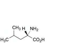
A. (2S)-2-amino-4-methylpentanoic acid (leucine),

Phenylalanine

B. (2S)-2-amino-4-(methylsulfanyl)butanoic acid (methionine),

Phenylalanine

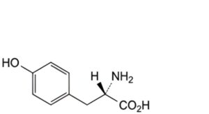
C. (2S)-2-amino-3-(4-hydroxyphenyl)propanoic acid (tyrosine),

Phenylalanine

D. (2S)-2-amino-3-methylbutanoic acid (valine).

Leave a Reply

Your email address will not be published. Required fields are marked *