(Ph. Eur. monograph 0201)
C12H12N2O3 232.2 50-06-6
Action and use
Barbiturate.
Preparations
Phenobarbital Elixir
Phenobarbital Tablets
DEFINITION
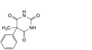
5-Ethyl-5-phenylpyrimidine-2,4,6(1H,3H,5H)-trione.
Content
99.0 per cent to 101.0 per cent (dried substance).
CHARACTERS
Appearance
White or almost white, crystalline powder or colourless crystals.
Solubility
Very slightly soluble in water, freely soluble in ethanol (96 per cent).
It forms water-soluble compounds with alkali hydroxides, carbonates and ammonia.
IDENTIFICATION
First identification: A, B.
Second identification: A, C, D.
A. Determine the melting point (2.2.14) of the substance to be examined. Mix equal parts of the substance to be examined and phenobarbital CRS and determine the melting point of the mixture. The difference between the melting points (which are about 176 °C) is not greater than 2 °C.
B. Infrared absorption spectrophotometry (2.2.24).
Comparison: phenobarbital CRS.
C. Thin-layer chromatography (2.2.27).
Test solution: Dissolve 10 mg of the substance to be examined in ethanol (96 per cent) R and dilute to 10.0 mL with the same solvent.
Reference solution: Dissolve 10 mg of phenobarbital CRS in ethanol (96 per cent) R and dilute to 10.0 mL with the same solvent.
Plate: TLC silica gel GF254 plate R.
Mobile phase: concentrated ammonia R, ethanol (96 per cent) R, methylene chloride R (5:15:80 V/V/V); use the lower layer.
Application: 10 μL.
Development: Over 2/3 of the plate.
Detection: Examine in ultraviolet light at 254 nm.
Results: The principal spot in the chromatogram obtained with the test solution is similar in position and size to the principal spot in the chromatogram obtained with the reference solution.
D. It gives the reaction of non-nitrogen substituted barbiturates (2.3.1).
TESTS
Appearance of solution
The solution is clear (2.2.1) and not more intensely coloured than reference solution Y6 (2.2.2, Method II).
Dissolve 1.0 g in a mixture of 4 mL of dilute sodium hydroxide solution R and 6 mL of water R.
Acidity
Boil 1.0 g with 50 mL of water R for 2 min, allow to cool and filter. To 10 mL of the filtrate add 0.15 mL of methyl red solution R. The solution is orange-yellow. Not more than 0.1 mL of 0.1 M sodium hydroxide is required to produce a pure yellow colour.
Related substances
Liquid chromatography (2.2.29).
Test solution: Dissolve 0.125 g of the substance to be examined in 5.0 mL of methanol R and dilute to 25.0 mL with the mobile phase.
Reference solution (a): Mix 1.0 mL of the test solution and 20.0 mL of methanol R and dilute to 100.0 mL with the mobile phase. Mix 1.0 mL of this solution with 2.0 mL of methanol R and dilute to 10.0 mL with the mobile phase.
Reference solution (b): Dissolve 5.0 mg of phenobarbital impurity A CRS and 5.0 mg of phenobarbital impurity B CRS in 2.0 mL of methanol R and dilute to 10.0 mL with the mobile phase. Mix 1.0 mL of this solution with 20.0 mL of methanol R and dilute to 100.0 mL with the mobile phase.
Column:
— size: l = 0.25 m, Ø = 4.6 mm;
— stationary phase: end-capped octadecylsilyl silica gel for chromatography R (5 μm).
Mobile phase: Dissolve 6.60 g of sodium acetate R in 900 mL of water R, add 3 mL of glacial acetic acid R, adjust to pH 4.5 with glacial acetic acid R and dilute to 1000 mL with water R. Mix 60 volumes of this solution with 40 volumes of methanol R.
Flow rate: 1.0 mL/min.
Detection: Spectrophotometer at 254 nm.
Injection: 20 μL.
Run time 2.1 times the retention time of phenobarbital.
Identification of impurities: Use the chromatogram obtained with reference solution (b) to identify the peaks due to impurities A and B.
Relative retention: With reference to phenobarbital (retention time = about 14 min): impurity A = about 0.2; impurity B = about 0.3.
System suitability: Reference solution (b):
— resolution: minimum 1.5 between the peaks due to impurities A and B.
Limits:
— impurity A: not more than 1.5 times the area of the corresponding peak in the chromatogram obtained with reference solution (b) (0.15 per cent);
— impurity B: not more than 1.5 times the area of the corresponding peak in the chromatogram obtained with reference solution (b) (0.15 per cent);
— unspecified impurities: for each impurity, not more than the area of the principal peak in the chromatogram obtained with reference solution (a) (0.10 per cent);
— total: not more than twice the area of the principal peak in the chromatogram obtained with reference solution (a) (0.2 per cent);
— disregard limit: 0.5 times the area of the principal peak in the chromatogram obtained with reference solution (a) (0.05 per cent).
Loss on drying (2.2.32)
Maximum 0.5 per cent, determined on 1.000 g by drying in an oven at 105 °C.
Sulfated ash (2.4.14)
Maximum 0.1 per cent, determined on 1.0 g.
ASSAY
Dissolve 0.200 g in 40 mL of ethanol (96 per cent) R and add 20 mL of water R. Titrate with 0.1 M sodium hydroxide, determining the end-point potentiometrically (2.2.20).
1 mL of 0.1 M sodium hydroxide is equivalent to 23.22 mg of C12H12N2O3.
IMPURITIES
Specified impurities A, B.
Other detectable impurities (the following substances would, if present at a sufficient level, be detected by one or other of the tests in the monograph. They are limited by the general acceptance criterion for other/unspecified impurities and/or by the general monograph Substances for pharmaceutical use (2034). It is therefore not necessary to identify these impurities for demonstration of compliance. See also 5.10. Control of impurities in substances for pharmaceutical use) C.

A. (5RS)-5-ethyl-2,6-diimino-5-phenyltetrahydropyrimidin-4(1H)-one,

B. (5RS)-5-ethyl-6-imino-5-phenyldihydropyrimidine-2,4(1H,3H)-dione,

C. 5-methyl-5-phenylpyrimidine-2,4,6(1H,3H,5H)-trione.






