(Ph. Eur. monograph 0630)
C12H11N2NaO3 254.2 57-30-7
Action and use
Barbiturate.
Preparations
Phenobarbital Injection
Paediatric Phenobarbital Oral Solution
Phenobarbital Sodium Tablets
DEFINITION
Sodium derivative of 5-ethyl-5-phenylpyrimidine-2,4,6(1H,3H,5H)-trione.
Content
98.0 per cent to 102.0 per cent (dried substance).
CHARACTERS
Appearance
White or almost white, crystalline powder, hygroscopic.
Solubility
Freely soluble in carbon dioxide-free water (a small fraction may be insoluble), soluble in ethanol (96 per cent), practically insoluble in methylene chloride.
It shows polymorphism (5.9).
IDENTIFICATION
First identification: A, B, E.
Second identification: A, C, D, E.
A. Acidify 10 mL of solution S (see Tests) with dilute hydrochloric acid R and shake with 20 mL of ether R. Separate the ether layer, wash with 10 mL of water R, dry over anhydrous sodium sulfate R and filter. Evaporate the filtrate to dryness and dry the residue at 100-105 °C (test residue). Determine the melting point (2.2.14) of the test residue. Mix equal parts of the test residue and phenobarbital CRS and determine the melting point of the mixture. The difference between the melting points (which are about 176 °C) is not greater than 2 °C.
B. Infrared absorption spectrophotometry (2.2.24).
Preparation: Use the test residue obtained in identification test A.
Comparison: phenobarbital CRS.
If the spectra obtained in the solid state show differences, dissolve the test residue and the reference substance separately in anhydrous ethanol R, evaporate to dryness and record new spectra using the residues.
C. Thin-layer chromatography (2.2.27).
Test solution: Dissolve 10 mg of the substance to be examined in ethanol (50 per cent V/V) R and dilute to 10.0 mL with the same solvent.
Reference solution: Dissolve 9 mg of phenobarbital CRS in ethanol (50 per cent V/V) R and dilute to 10.0 mL with the same solvent.
Plate: TLC silica gel F254 plate R.
Mobile phase: concentrated ammonia R, ethanol (96 per cent) R, methylene chloride R (5:15:80 V/V/V); use the lower layer.
Application: 10 μL.
Development: Over 2/3 of the plate.
Detection: Examine immediately in ultraviolet light at 254 nm.
Results: The principal spot in the chromatogram obtained with the test solution is similar in position and size to the principal spot in the chromatogram obtained with the reference solution.
D. It gives the reaction of non-nitrogen substituted barbiturates (2.3.1).
E. It gives reaction (a) of sodium (2.3.1).
TESTS
Solution S
Dissolve 5.0 g in ethanol (50 per cent V/V) R and dilute to 50 mL with the same solvent.
Appearance of solution
Solution S is clear (2.2.1) and not more intensely coloured than reference solution Y7 (2.2.2, Method II).
pH (2.2.3)
Maximum 10.2.
Dissolve 5.0 g as completely as possible in carbon dioxide-free water R and dilute to 50 mL with the same solvent
Related substances
Liquid chromatography (2.2.29).
Test solution (a): Dissolve 55.0 mg of the substance to be examined in 2.0 mL of methanol R and dilute to 10.0 mL with the mobile phase.
Test solution (b): Dissolve 25.0 mg of the substance to be examined in 10.0 mL of methanol R and dilute to 50.0 mL with the mobile phase.
Reference solution (a): Mix 1.0 mL of test solution (b) and 20.0 mL of methanol R and dilute to 100.0 mL with the mobile phase.
Reference solution (b): Dissolve 5.0 mg of phenobarbital impurity A CRS and 5.0 mg of phenobarbital impurity B CRS in 2.0 mL of methanol R and dilute to 10.0 mL with the mobile phase. Mix 1.0 mL of the solution and 20.0 mL of methanol R and dilute to 100.0 mL with the mobile phase.
Reference solution (c): Dissolve 25.0 mg of phenobarbital CRS in 10.0 mL of methanol R and dilute to 50.0 mL with the mobile phase.
Column:
— size: l = 0.25 m, Ø = 4.6 mm;
— stationary phase: end-capped octadecylsilyl silica gel for chromatography R (5 μm).
Mobile phase: Dissolve 6.6 g of sodium acetate R in 900 mL of water R, add 3 mL of glacial acetic acid R, adjust to pH 4.5 with glacial acetic acid R and dilute to 1000 mL with water R. Mix 60 volumes of this solution and 40 volumes of methanol R.
Flow rate: 1.0 mL/min.
Detection: Spectrophotometer at 254 nm.
Injection: 20 μL of test solution (a) and reference solutions (a) and (b).
Run time: 2.5 times the retention time of phenobarbital.
Identification of impurities: Use the chromatogram obtained with reference solution (b) to identify the peaks due to impurities A and B.
Relative retention: With reference to phenobarbital (retention time = about 13 min): impurity A = about 0.29; impurity B = about 0.32.
System suitability: Reference solution (b):
— resolution: minimum 1.5 between the peaks due to impurities A and B.
Calculation of percentage contents:
— for impurity A, use the concentration of impurity A in reference solution (b);
— for impurity B, use the concentration of impurity B in reference solution (b);
— for impurities other than A and B, use the concentration of phenobarbital sodium in reference solution (a).
Limits:
— impurities A, B: for each impurity, maximum 0.15 per cent;
— unspecified impurities: for each impurity, maximum 0.10 per cent;
— total: maximum 0.2 per cent;
— reporting threshold: 0.05 per cent.
Loss on drying (2.2.32)
Maximum 7.0 per cent, determined on 0.500 g by drying in an oven at 150 °C for 4 h.
ASSAY
Liquid chromatography (2.2.29) as described in the test for related substances with the following modifications.
Injection: 10 μL of test solution (b) and reference solution (c).
Run time: 1.5 times the retention time of phenobarbital.
Calculate the percentage content of C12H11N2NaO3 taking into account the assigned content of phenobarbital CRS and a conversion factor of 1.095.
STORAGE
In an airtight container.
IMPURITIES
Specified impurities A, B. Other detectable impurities (the following substances would, if present at a sufficient level, be detected by one or other of the tests in the monograph. They are limited by the general acceptance criterion for other/unspecified impurities and/or by the general monograph Substances for pharmaceutical use (2034). It is therefore not necessary to identify these impurities for demonstration of compliance. See also 5.10. Control of impurities in substances for pharmaceutical use) C, E.

A. (5RS)-5-ethyl-2,6-diimino-5-phenyltetrahydropyrimidin-4(1H)-one,

B. (5RS)-5-ethyl-6-imino-5-phenyldihydropyrimidine-2,4(1H,3H)-dione,

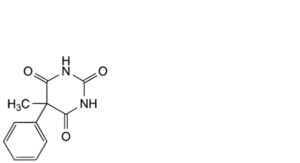
C. 5-methyl-5-phenylpyrimidine-2,4,6(1H,3H,5H)-trione,

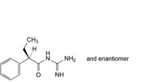
E. (2RS)-N-carbamimidoyl-2-phenylbutanamide.






