(Ph. Eur. monograph 0851)
C13H18N4O3 278.3 6493-05-6
Action and use
Vasodilator.
DEFINITION
3,7-Dimethyl-1-(5-oxohexyl)-3,7-dihydro-1H-purine-2,6-dione.
Content
99.0 per cent to 101.0 per cent (dried substance).
CHARACTERS
Appearance
White or almost white, crystalline powder.
Solubility
Soluble in water, freely soluble in methylene chloride, sparingly soluble in ethanol (96 per cent).
IDENTIFICATION
First identification: A, B.
Second identification: A, C, D.
A. Melting point (2.2.14): 103 °C to 107 °C.
B. Infrared absorption spectrophotometry (2.2.24).
Comparison: pentoxifylline CRS.
C. Thin-layer chromatography (2.2.27).
Test solution: Dissolve 20 mg of the substance to be examined in methanol R and dilute to 10 mL with the same solvent.
Reference solution: Dissolve 20 mg of pentoxifylline CRS in methanol R and dilute to 10 mL with the same solvent. Plate TLC silica gel F254 plate R.
Mobile phase: methanol R, ethyl acetate R (15:85 V/V). Application 5 μL.
Development: Over 2/3 of the plate.
Drying: In air.
Detection: Examine in ultraviolet light at 254 nm.
Results: The principal spot in the chromatogram obtained with the test solution is similar in position and size to the principal spot in the chromatogram obtained with the reference solution.
D. It gives the reaction of xanthines (2.3.1).
TESTS
Solution S
Dissolve 2.5 g in carbon dioxide-free water R prepared from distilled water R and dilute to 50 mL with the same solvent.
Appearance of solution
A 40 per cent V/V solution of solution S is clear (2.2.1) and not more intensely coloured than reference solution Y7 (2.2.2, Method II).
Acidity
To 8 mL of solution S add 12 mL of carbon dioxide-free water R and 0.05 mL of bromothymol blue solution R1. The solution is green or yellow. Not more than 0.2 mL of 0.01 M sodium hydroxide is required to change the colour of the indicator to blue.
Related substances
Liquid chromatography (2.2.29).
Solution A: 5.44 g/L solution of potassium dihydrogen phosphate R.
Solvent mixture methanol R, solution A (50:50 V/V).
Test solution: Dissolve 50.0 mg of the substance to be examined in the solvent mixture and dilute to 25.0 mL with the solvent mixture.
Reference solution (a): Dilute 2.0 mL of the test solution to 100.0 mL with the solvent mixture. Dilute 5.0 mL of this solution to 100.0 mL with the solvent mixture.
Reference solution (b): Dilute 10.0 mL of reference solution (a) to 50.0 mL with the solvent mixture. Reference solution (c) Dissolve 2 mg of caffeine R (impurity F) and 2 mg of theophylline R (impurity C) in the solvent mixture, add 1 mL of the test solution and dilute to 10 mL with the solvent mixture.
Reference solution (d): Dissolve 5.0 mg of caffeine R (impurity F), 5.0 mg of theobromine R (impurity A) and 5.0 mg of theophylline R (impurity C) in the solvent mixture and dilute to 100.0 mL with the solvent mixture.
Dilute 1.0 mL of the solution to 25.0 mL with the solvent mixture.
Column:
— size: l = 0.25 m, Ø = 4.0 mm;
— stationary phase: base-deactivated octylsilyl silica gel for chromatography R (5 μm);
— temperature: 30 °C.
Mobile phase:
— mobile phase A: methanol R, solution A (30:70 V/V);
— mobile phase B: solution A, methanol R (30:70 V/V);
| Time (min) |
Mobile phase A (per cent V/V) |
Mobile phase B (per cent V/V) |
| 0 – 6 | 85 | 15 |
| 6 – 13 | 85 → 10 | 15 → 90 |
| 13 – 30 | 10 | 90 |
| 30 – 35 | 10 → 85 | 90 → 15 |
| 35 – 45 | 85 | 15 |
Flow rate: 1 mL/min.
Detection: Spectrophotometer at 272 nm.
Injection: 10 μL.
Relative retention: With reference to pentoxifylline (retention time = about 12 min): impurity A = about 0.3; impurity C = about 0.4; impurity F = about 0.5; impurity J = about 1.6.
System suitability: Reference solution (c):
— resolution: minimum 4.0 between the peaks due to impurities C and F.
Limits:
— impurities A, C, F: for each impurity, not more than the area of the corresponding peak in the chromatogram obtained with reference solution (d) (0.1 per cent);
— impurity J: not more than the area of the principal peak in the chromatogram obtained with reference solution (a) (0.1 per cent);
— any other impurity: for each impurity, not more than the area of the principal peak in the chromatogram obtained with reference solution (a) (0.1 per cent);
— total: not more than 5 times the area of the principal peak in the chromatogram obtained with reference solution (a) (0.5 per cent);
— disregard limit: the area of the principal peak in the chromatogram obtained with reference solution (b) (0.02 per cent).
Chlorides (2.4.4)
Maximum 100 ppm.
Place 20 mL of solution S in a separating funnel and shake with 2 quantities, each of 20 mL, of 2-methylpropanol R. Dilute 10 mL of the aqueous layer to 15 mL with water R.
Sulfates (2.4.13)
Maximum 200 ppm, determined on 15 mL of solution S.
Loss on drying (2.2.32)
Maximum 0.5 per cent, determined on 1.000 g by drying in vacuo at 60 °C.
Sulfated ash (2.4.14)
Maximum 0.1 per cent, determined on 1.0 g.
ASSAY
Dissolve 0.200 g in 5 mL of anhydrous acetic acid R. Add 20 mL of acetic anhydride R. Titrate with 0.1 M perchloric acid determining the end-point potentiometrically (2.2.20).
1 mL of 0.1 M perchloric acid is equivalent to 27.83 mg of C13H18N4O3.
STORAGE
Protected from light.
IMPURITIES
Specified impurities A, C, F, J.
Other detectable impurities (the following substances would, if present at a sufficient level, be detected by one or other of the tests in the monograph. They are limited by the general acceptance criterion for other/unspecified impurities and/or by the general monograph Substances for pharmaceutical use (2034). It is therefore not necessary to identify these impurities for demonstration of compliance. See also 5.10. Control of impurities in substances for pharmaceutical use) B, D, E, G, H, I, K.

A. theobromine,

B. 3-methyl-3,7-dihydro-1H-purine-2,6-dione,

C. theophylline,

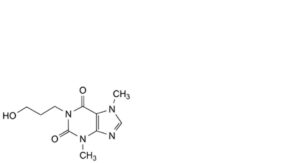
D. 1-(3-hydroxypropyl)-3,7-dimethyl-3,7-dihydro-1H-purine-2,6-dione,

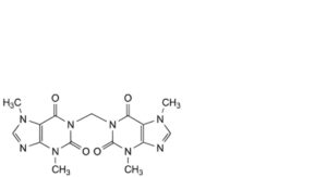
E. 1,1′-methylenebis(3,7-dimethyl-3,7-dihydro-1H-purine-2,6-dione),

F. caffeine,

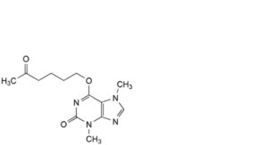
G. 3,7-dimethyl-6-(5-oxohexyloxy)-3,7-dihydro-2H-purin-2-one,

H. 3-methyl-1,7-bis(5-oxohexyl)-3,7-dihydro-1H-purine-2,6-dione,

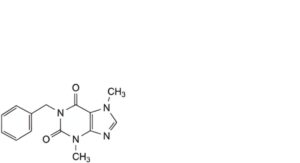
I. 1-benzyl-3,7-dimethyl-3,7-dihydro-1H-purine-2,6-dione,

J. 1-[(5E)-11-(3,7-dimethyl-2,6-dioxo-2,3,6,7-tetrahydro-1H-purin-1-yl)-5-methyl-7-oxoundec-5-enyl]-3,7-dimethyl-3,7-dihydro-1H-purine-2,6-dione,

K. 1,1′-(propane-1,3-diyl)bis(3,7-dimethyl-3,7-dihydro-1H-purine-2,6-dione).






