(Perfloxacin Mesilate Dihydrate, Ph. Eur. monograph 1460)
C18H24FN3O6S,2H2O 465.5 149676-40-4
Action and use
Antibacterial.
DEFINITION
1-Ethyl-6-fluoro-7-(4-methylpiperazin-1-yl)-4-oxo-1,4-dihydroquinoline-3-carboxylic acid methanesulfonate dihydrate.
Content
98.5 per cent to 101.5 per cent (anhydrous substance).
PRODUCTION
It is considered that alkyl methanesulfonate esters are genotoxic and are potential impurities in pefloxacin mesilate dihydrate. The manufacturing process should be developed taking into consideration the principles of quality risk management, together with considerations of the quality of starting materials, process capability and validation. The general methods 2.5.37. Methyl, ethyl and isopropyl methanesulfonate in methanesulfonic acid, 2.5.38. Methyl, ethyl and isopropyl methanesulfonate in active substances and 2.5.39. Methanesulfonyl chloride in methanesulfonic acid are available to assist manufacturers.
CHARACTERS
Appearance
Fine, white or almost white powder.
Solubility
Freely soluble in water, slightly soluble in ethanol (96 per cent), very slightly soluble in methylene chloride.
IDENTIFICATION
A. Infrared absorption spectrophotometry (2.2.24).
Preparation: Dissolve 0.1 g in 10 mL of water R. Add 5 mL of 1 M sodium hydroxide. Adjust to pH 7.4 ± 0.1 with phosphoric acid R and shake with 2 quantities, each of 30 mL, of methylene chloride R. Combine the organic layers and dry over anhydrous sodium sulfate R. Evaporate to dryness and examine the residue.
Comparison: Repeat the operations using 0.1 g of pefloxacin mesilate dihydrate CRS.
B. Thin-layer chromatography (2.2.27).
Test solution: Dissolve 40 mg in water R and dilute to 1 mL with the same solvent.
Reference solution: Dissolve 60 mg of methanesulfonic acid R in water R and dilute to 10 mL with the same solvent.
Plate: TLC silica gel plate R.
Mobile phase: water R, ammonia R, butanol R, acetone R (5:10:20:65 V/V/V/V).
Application: 10 μL.
Development: Over a path of 15 cm.
Drying: In air.
Detection: Spray with a 0.4 g/L solution of bromocresol purple R in ethanol (50 per cent V/V) R, adjusted to pH 10 using 1 M sodium hydroxide.
Results: The principal spot in the chromatogram obtained with the test solution is similar in position, colour and size to the principal spot in the chromatogram obtained with the reference solution.
TESTS
Solution S
Dissolve 1.0 g in carbon dioxide-free water R and dilute to 10.0 mL with the same solvent.
Appearance of solution
Examined within 1 h after its preparation, solution S is not more opalescent than reference suspension II (2.2.1) and not more intensely coloured than intensity 3 of the range of reference solutions of the most appropriate colour (2.2.2, Method II).
pH (2.2.3)
3.5 to 4.5.
Dilute 1 mL of solution S to 10 mL with carbon dioxide-free water R.
Related substances
Liquid chromatography (2.2.29).
Solution A: Dissolve 2.70 g of cetyltrimethylammonium bromide R and 6.18 g of boric acid R in 900 mL of water for chromatography R, add 10 mL of acetonitrile R, adjust to pH 8.30 with a 40 g/L solution of sodium hydroxide R, and dilute to 1000 mL with water for chromatography R.
Test solution: Dissolve 20.0 mg of the substance to be examined in the mobile phase and dilute to 20.0 mL with the mobile phase.
Reference solution (a): Dilute 1.0 mL of the test solution to 100.0 mL with the mobile phase. Dilute 1.0 mL of this solution to 10.0 mL with the mobile phase.
Reference solution (b): Dissolve the contents of a vial of pefloxacin for system suitability CRS (containing impurity G) in1 mL of the mobile phase.
Column:
— size: l = 0.15 m, Ø = 6.0 mm;
— stationary phase: octadecylsilyl vinyl polymer for chromatography R (5 μm).
Mobile phase: acetonitrile R, solution A (30:70 V/V).
Flow rate: 1 mL/min.
Detection: Spectrophotometer at 262 nm.
Autosampler: Set at 4 °C.
Injection: 20 μL.
Run time: 4 times the retention time of pefloxacin.
Identification of impurities: Use the chromatogram supplied with pefloxacin for system suitability CRS and the chromatogram obtained with reference solution (b) to identify the peak due to impurity G.
Relative retention: With reference to pefloxacin (retention time = about 12 min): impurity G = about 0.9.
System suitability: Reference solution (b):
— peak-to-valley ratio: minimum 1.5, where Hp = height above the baseline of the peak due to impurity G and Hv = height above the baseline of the lowest point of the curve separating this peak from the peak due to pefloxacin.
Calculation of percentage contents:
— for each impurity, use the concentration of pefloxacin mesilate dihydrate in reference solution (a).
Limits:
— unspecified impurities: for each impurity, maximum 0.10 per cent;
— total: maximum 0.2 per cent;
— reporting threshold: 0.05 per cent.
Water (2.5.12)
7.0 per cent to 8.5 per cent, determined on 50.0 mg using a mixture of 10 volumes of methanol R and 50 volumes of methylene chloride R.
Sulfated ash (2.4.14)
Maximum 0.1 per cent, determined on 1.0 g in a platinum crucible.
ASSAY
Dissolve 0.200 g in 15.0 mL of anhydrous acetic acid R and add 75.0 mL of acetic anhydride R. Titrate with 0.1 M perchloric acid, determining the end-point potentiometrically (2.2.20).
1 mL of 0.1 M perchloric acid is equivalent to 21.48 mg of C18H24FN3O6S.
STORAGE
In an airtight container, protected from light.
IMPURITIES
Other detectable impurities (the following substances would, if present at a sufficient level, be detected by one or other of the tests in the monograph. They are limited by the general acceptance criterion for other/unspecified impurities and/or by the general monograph Substances for pharmaceutical use (2034). It is therefore not necessary to identify these impurities for demonstration of compliance. See also 5.10. Control of impurities in substances for pharmaceutical use) A, B, C, D, E, F, G, H.

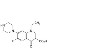
A. 1-ethyl-6-fluoro-4-oxo-7-(piperazin-1-yl)-1,4-dihydroquinoline-3-carboxylic acid ( norfloxacin),

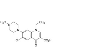
B. 6-chloro-1-ethyl-7-(4-methylpiperazin-1-yl)-4-oxo-1,4-dihydroquinoline-3-carboxylic acid,

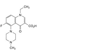
C. 1-ethyl-6-fluoro-5-(4-methylpiperazin-1-yl)-4-oxo-1,4-dihydroquinoline-3-carboxylic acid,

D. 4-(3-carboxy-1-ethyl-6-fluoro-4-oxo-1,4-dihydroquinolin-7-yl)-1-methylpiperazine 1-oxide,

E. 1-ethyl-6-fluoro-7-(4-methylpiperazin-1-yl)quinolin-4(1H)-one,

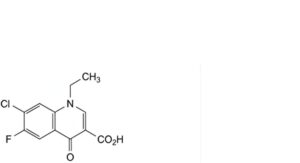
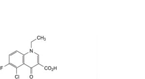
F. 7-chloro-1-ethyl-6-fluoro-4-oxo-1,4-dihydroquinoline-3-carboxylic acid,

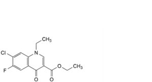
G. ethyl 7-chloro-1-ethyl-6-fluoro-4-oxo-1,4-dihydroquinoline-3-carboxylate,

H. 5-chloro-1-ethyl-6-fluoro-4-oxo-1,4-dihydroquinoline-3-carboxylic acid.






