Anhydrous Paroxetine Hydrochloride
(Ph. Eur. monograph 2283)
C19H21ClFNO3 365.8 78246-49-8
Action and use
Selective serotonin reuptake inhibitor; antidepressant.
Preparation
Paroxetine Tablets
DEFINITION
(3S,4R)-3-[[(1,3-Benzodioxol-5-yl)oxy]methyl]-4-(4-fluorophenyl)piperidine hydrochloride.
Content
97.5 per cent to 102.0 per cent (anhydrous substance).
PRODUCTION
Impurity G
Maximum 1 ppm, determined by a suitable validated method.
CHARACTERS
Appearance
White or almost white, hygroscopic, crystalline powder.
Solubility
Slightly soluble in water, freely soluble in methanol, sparingly soluble in anhydrous ethanol and in methylene chloride.
It shows polymorphism (5.9).
IDENTIFICATION
A. Infrared absorption spectrophotometry (2.2.24).
Comparison: anhydrous paroxetine hydrochloride CRS.
If the spectra obtained in the solid state show differences, mix 1 part of the substance to be examined and 1 part of the reference substance separately with 30 parts of anhydrous acetone R and heat to boiling to dissolve. Recrystallise and record new spectra using the residues.
B. Water (see Tests).
C. Dissolve 20 mg in 2 mL of methanol R. The solution gives reaction (a) of chlorides (2.3.1).
D. Enantiomeric purity (see Tests).
TESTS
Enantiomeric purity
Liquid chromatography (2.2.29).
Test solution: Dissolve 50.0 mg of the substance to be examined in 5 mL of methanol R and dilute to 50.0 mL with the mobile phase.
Reference solution (a): Dissolve 5.0 mg of paroxetine impurity D CRS in 2 mL of methanol R and dilute to 50.0 mL with the mobile phase.
Reference solution (b): Dilute 1 mL of reference solution (a) to 10 mL with the test solution.
Reference solution (c): Dilute 1.0 mL of reference solution (a) to 100.0 mL with the mobile phase.
Column:
— size: l = 0.10 m, Ø = 4.0 mm;
— stationary phase: α1-acid-glycoprotein silica gel for chiral separation R (5 μm);
— temperature: 30 °C.
Mobile phase: Dissolve 8.7 g of dipotassium hydrogen phosphate R in 1000 mL of water for chromatography R and adjust to pH 6.5 with phosphoric acid R; mix 930 mL of this solution and 70 mL of acetonitrile R.
Flow rate: 0.9 mL/min.
Detection: Spectrophotometer at 295 nm.
Injection: 20 μL of the test solution and reference solutions (b) and (c).
Run time: 2.5 times the retention time of paroxetine.
Identification of impurities: Use the chromatogram obtained with reference solution (c) to identify the peak due to impurity D.
Relative retention: With reference to paroxetine (retention time = about 13 min): impurity D = about 0.7.
System suitability: Reference solution (b):
— peak-to-valley ratio: minimum 2.0, where Hp = height above the baseline of the peak due to impurity D and Hv = height above the baseline of the lowest point of the curve separating this peak from the peak due to paroxetine.
Limit:
— impurity D: not more than twice the area of the principal peak in the chromatogram obtained with reference solution (c) (0.2 per cent).
Related substances
Liquid chromatography (2.2.29).
Solvent mixture tetrahydrofuran R, water R (10:90 V/V).
Test solution: Dissolve 50.0 mg of the substance to be examined in the solvent mixture and dilute to 50.0 mL with the solvent mixture.
Reference solution (a): Dilute 5.0 mL of the test solution to 50.0 mL with the solvent mixture.
Reference solution (b): Dissolve 5.0 mg of anhydrous paroxetine hydrochloride impurity H CRS in 25 mL of tetrahydrofuran R and dilute to 50.0 mL with water R.
Reference solution (c): Dissolve 5.0 mg of anhydrous paroxetine hydrochloride impurity C CRS in 25 mL of tetrahydrofuran R and dilute to 50.0 mL with water R.
Reference solution (d): To 5.0 mL of reference solution (a) add 1.0 mL of reference solution (b) and dilute to 100.0 mL with the solvent mixture.
Reference solution (e): To 5.0 mL of reference solution (a) add 5.0 mL of reference solution (b) and 5.0 mL of reference solution (c). Dilute to 100.0 mL with the solvent mixture. Dilute 1.0 mL of this solution to 10.0 mL with the solvent mixture.
Reference solution (f): Dissolve 2.5 mg of paroxetine impurity E CRS in the solvent mixture, add 2.5 mL of the test solution and dilute to 100 mL with the solvent mixture.
Reference solution (g): Dissolve 5 mg of paroxetine impurity A CRS in the solvent mixture and dilute to 50 mL with the solvent mixture. Use this solution to identify the peak due to impurity A.
Column:
— size: l = 0.25 m, Ø = 4.6 mm;
— stationary phase: end-capped octylsilyl silica gel for chromatography R (5 μm);
— temperature: 40 °C.
Mobile phase:
— mobile phase A: trifluoroacetic acid R, tetrahydrofuran R, water for chromatography R (0.5:10:90 V/V/V);
— mobile phase B: trifluoroacetic acid R, tetrahydrofuran R, acetonitrile R (0.5:10:90 V/V/V);
| Time (min) |
Mobile phase A (per cent V/V) |
Mobile phase B (per cent V/V) |
| 0 – 30 | 80 | 20 |
| 30 – 50 | 80 → 20 | 20 → 80 |
| 50 – 55 | 20 | 80 |
Flow rate: 1.0 mL/min.
Detection: Spectrophotometer at 295 nm.
Injection: 20 μL of the test solution and reference solutions (d), (e), (f) and (g).
Relative retention: With reference to paroxetine (retention time = about 28 min): impurity A = about 0.8; impurity E = about 0.9; impurity C = about 1.5.
Relative retention: With reference to impurity C: impurity F = about 0.97; impurity J = about 1.02.
System suitability: — resolution: minimum 3.5 between the peaks due to impurity E and paroxetine in the chromatogram obtained with reference solution (f);
— signal-to-noise ratio: minimum 3 for the peak due to paroxetine in the chromatogram obtained with reference solution (e).
Limits:
— correction factors: for the calculation of content, multiply the peak areas of the following impurities by the corresponding correction factor: impurity C = 1.6; impurity F = 1.7; impurity J = 1.3;
— impurity A: not more than 0.6 times the area of the peak due to paroxetine in the chromatogram obtained with reference solution (d) (0.3 per cent);
— impurities C, F, J: for each impurity, not more than 0.2 times the area of the peak due to paroxetine in the chromatogram obtained with reference solution (d) (0.1 per cent);
— unspecified impurities: for each impurity, not more than 0.2 times the area of the peak due to paroxetine in the chromatogram obtained with reference solution (d) (0.10 per cent);
— total: not more than the area of the peak due to paroxetine in the chromatogram obtained with reference solution (d) (0.5 per cent);
— disregard limit: the area of the peak due to paroxetine in the chromatogram obtained with reference solution (e) (0.05 per cent).
Impurities H and I
Liquid chromatography (2.2.29) as described in the test for related substances with the following modifications.
Detection: Spectrophotometer at 263 nm.
Injection: Test solution and reference solutions (d) and (e).
Relative retention: With reference to paroxetine (retention time = about 28 min): impurity I = about 0.2; impurity H = about 0.4.
System suitability: Reference solution (e):
— signal-to-noise ratio: minimum 3 for the peak due to impurity H.ư
Limits:
— impurities H, I: for each impurity, not more than the area of the peak due to impurity H in the chromatogram obtained with reference solution (d) (0.1 per cent).
Acetone (2.4.24, System B)
Maximum 3.5 per cent.
2-Propanol (2.4.24, System B)
Maximum 4.3 per cent.
Water (2.5.12)
Maximum 1.5 per cent, determined on 0.500 g.
Sulfated ash (2.4.14)
Maximum 0.1 per cent, determined on 1.0 g in a platinum crucible.
ASSAY
Liquid chromatography (2.2.29).
Test solution: Dissolve 50.0 mg of the substance to be examined in water R and dilute to 100.0 mL with the same solvent.
Reference solution (a): Dissolve 51.2 mg of paroxetine hydrochloride hemihydrate CRS in water R and dilute to 100.0 mL with the same solvent.
Reference solution (b): Dissolve 5 mg of paroxetine hydrochloride hemihydrate CRS and 5 mg of paroxetine impurity A CRS in water R and dilute to 10 mL with the same solvent.
Column:
— size: l = 0.25 m, Ø = 4.6 mm;
— stationary phase: trimethylsilyl silica gel for chromatography R (5 μm).
Mobile phase: Dissolve 3.85 g of ammonium acetate R in water for chromatography R, adjust to pH 5.5 with anhydrous acetic acid R and dilute to 600 mL with water for chromatography R; add 400 mL of acetonitrile R; slowly add, with stirring, 10 mL of triethylamine R and adjust to pH 5.5 with anhydrous acetic acid R.
Flow rate: 1 mL/min.
Detection: Spectrophotometer at 295 nm.
Injection: 10 μL.
Run time: Twice the retention time of paroxetine.
Identification of impurities: Use the chromatogram obtained with reference solution (b) to identify the peak due to impurity A.
Relative retention: With reference to paroxetine (retention time = about 8 min): impurity A = about 0.9.
System suitability: Reference solution (b):— resolution: minimum 2.0 between the peaks due to impurity A and paroxetine.
Calculate the percentage content of C19H21ClFNO3 using the chromatogram obtained with reference solution (a) and taking into account the assigned content of paroxetine hydrochloride hemihydrate CRS.
STORAGE
In an airtight container, at a temperature not exceeding 25 °C.
IMPURITIES
Specified impurities A, C, D, F, G, H, I, J.
Other detectable impurities (the following substances would, if present at a sufficient level, be detected by one or other of the tests in the monograph. They are limited by the general acceptance criterion for other/unspecified impurities and/or by the general monograph Substances for pharmaceutical use (2034). It is therefore not necessary to identify these impurities for demonstration of compliance. See also 5.10. Control of impurities in substances for pharmaceutical use) B, E.

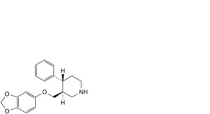
A. (3S,4R)-3-[[(1,3-benzodioxol-5-yl)oxy]methyl]-4-phenylpiperidine (defluoroparoxetine),

B. 1,3-benzodioxol-5-ol (sesamol),

C. (3S,4R)-3-[[(1,3-benzodioxol-5-yl)oxy]methyl]-1-benzyl-4-(4-fluorophenyl)piperidine (N-benzylparoxetine),

D. (3R,4S)-3-[[(1,3-benzodioxol-5-yl)oxy]methyl]-4-(4-fluorophenyl)piperidine ((+)-trans-paroxetine),

E. (3RS,4RS)-3-[[(1,3-benzodioxol-5-yl)oxy]methyl]-4-(4-fluorophenyl)piperidine (cis-paroxetine),

F. (3S,4R)-3-[[(1,3-benzodioxol-5-yl)oxy]methyl]-1-benzyl-4-phenylpiperidine (N-benzyldefluoroparoxetine),

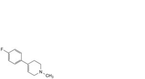
G. 4-(4-fluorophenyl)-1-methyl-1,2,3,6-tetrahydropyridine,

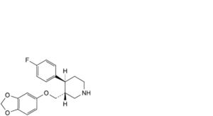
H. [(3S,4R)-1-benzyl-4-(4-fluorophenyl)piperidin-3-yl]methanol,

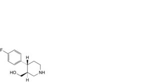
I. [(3S,4R)-4-(4-fluorophenyl)piperidin-3-yl]methanol,

J. (3S,4R)-3-[[(1,3-benzodioxol-5-yl)oxy]methyl]-4-(4′-fluoro[1,1′-biphenyl]-3-yl)piperidine.






