(Ph. Eur. monograph 2018)
C19H21ClFNO3,1⁄2H2O 374.8 110429-35-1
Action and use
Selective serotonin reuptake inhibitor; antidepressant.
DEFINITION
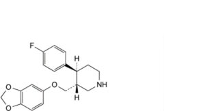
(3S,4R)-3-[[(1,3-Benzodioxol-5-yl)oxy]methyl]-4-(4-fluorophenyl)piperidine hydrochloride hemihydrate.
Content
97.5 per cent to 102.0 per cent (anhydrous substance).
PRODUCTION
Impurity G
Maximum 1 ppm, determined by a suitable, validated method.
CHARACTERS
Appearance
White or almost white, crystalline powder.
Solubility
Slightly soluble in water, freely soluble in methanol, sparingly soluble in ethanol (96 per cent) and in methylene chloride.
It shows pseudopolymorphism (5.9).
IDENTIFICATION
A. Infrared absorption spectrophotometry (2.2.24).
Comparison: paroxetine hydrochloride hemihydrate CRS.
If the spectra obtained show differences, dissolve 1 part of the substance to be examined and 1 part of the reference substance separately in 10 parts of a mixture of 1 volume of water R and 9 volumes of 2-propanol R and heat to 70 °C to dissolve. Recrystallise and record new spectra using the residues.
B. Enantiomeric purity (see Tests).
C. Water (see Tests).
D. Dissolve 21 mg in 2 mL of methanol R. The solution gives reaction (a) of chlorides (2.3.1).
TESTS
Enantiomeric purity
Liquid chromatography (2.2.29).
Test solution: Dissolve 0.100 g of the substance to be examined in 20 mL of methanol R and dilute to 100.0 mL with the mobile phase.
Reference solution (a): Dilute 1.0 mL of the test solution to 100.0 mL with the mobile phase. Dilute 1.0 mL of this solution to 10.0 mL with the mobile phase.
Reference solution (b): Dissolve 5 mg of paroxetine impurity D CRS and 5 mg of paroxetine hydrochloride hemihydrate CRS in 2 mL of methanol R and dilute to 100 mL with the mobile phase.
Column:
— size: l = 0.10 m, Ø = 4.0 mm;
— stationary phase: α1-acid-glycoprotein silica gel for chiral separation R (5 μm).
Mobile phase: Mix 2 volumes of methanol R and 8 volumes of a 5.8 g/L solution of sodium chloride R.
Flow rate: 0.5 mL/min.
Detection: Spectrophotometer at 295 nm.
Injection: 10 μL.
Run time: 2.5 times the retention time of paroxetine.
Identification of impurities: Use the chromatogram obtained with reference solution (b) to identify the peak due to impurity D.
Relative retention: With reference to paroxetine (retention time = about 30 min): impurity D = about 0.4.
System suitability: Reference solution (b):
— resolution: minimum 2.2 between the peaks due to impurity D and paroxetine.
Limit:
— impurity D: not more than twice the area of the principal peak in the chromatogram obtained with reference solution (a) (0.2 per cent).
Related substances
Liquid chromatography (2.2.29).
Solvent mixture tetrahydrofuran R, water R (10:90 V/V).
Test solution: Dissolve 50.0 mg of the substance to be examined in the solvent mixture and dilute to 50.0 mL with the solvent mixture.
Reference solution (a): Dilute 5.0 mL of the test solution to 50.0 mL with the solvent mixture. Dilute 2.0 mL of this solution to 200.0 mL with the solvent mixture.
Reference solution (b): Dissolve the contents of a vial of paroxetine for system suitability CRS (containing impurity C) in 1 mL of the solvent mixture.
Reference solution (c): Dissolve 2 mg of paroxetine impurity A CRS in the solvent mixture and dilute to 20 mL with the solvent mixture.
Column:
— size: l = 0.25 m, Ø = 4.6 mm;
— stationary phase: end-capped octylsilyl silica gel for chromatography R (5 μm);
— temperature: 40 °C.
Mobile phase:
— mobile phase A: trifluoroacetic acid R, tetrahydrofuran R, water for chromatography R (0.5:10:90 V/V/V);
— mobile phase B: trifluoroacetic acid R, tetrahydrofuran R, acetonitrile R (0.5:10:90 V/V/V);
| Time (min) |
Mobile phase A (per cent V/V) |
Mobile phase B (per cent V/V) |
| 0 – 30 | 80 | 20 |
| 30 – 50 | 80 → 20 | 20 → 80 |
| 50 – 55 | 20 | 80 |
Flow rate: 1 mL/min.
Detection: Spectrophotometer at 295 nm.
Injection: 20 μL.
Identification of impurities: Use the chromatogram obtained with reference solution (c) to identify the peak due to impurity A; use the chromatogram supplied with paroxetine for system suitability CRS and the chromatogram obtained with reference solution (b) to identify the peak due to impurity C.
Relative retention: With reference to paroxetine (retention time = about 28 min): impurity A = about 0.8; impurity C = about 1.2.
System suitability: Reference solution (b):
— resolution: minimum 3.5 between the peaks due to paroxetine and impurity C.
Limits:
— impurity A: not more than 3 times the area of the principal peak in the chromatogram obtained with reference solution (a) (0.3 per cent);
— unspecified impurities: for each impurity, not more than the area of the principal peak in the chromatogram obtained with reference solution (a) (0.10 per cent);
— total: not more than 5 times the area of the principal peak in the chromatogram obtained with reference solution (a) (0.5 per cent);
— disregard limit: 0.5 times the area of the principal peak in the chromatogram obtained with reference solution (a) (0.05 per cent).
Water (2.5.12)
2.2 per cent to 2.7 per cent, determined on 0.300 g.
Sulfated ash (2.4.14)
Maximum 0.1 per cent, determined on 1.0 g in a platinum crucible.
ASSAY
Liquid chromatography (2.2.29).
Test solution: Dissolve 50.0 mg of the substance to be examined in water R and dilute to 100.0 mL with the same solvent.
Reference solution (a): Dissolve 50.0 mg of paroxetine hydrochloride hemihydrate CRS in water R and dilute to 100.0 mL with the same solvent.
Reference solution (b): Dissolve 5 mg of paroxetine hydrochloride hemihydrate CRS and 5 mg of paroxetine impurity A CRS in water R and dilute to 10 mL with the same solvent.
Column:
— size: l = 0.25 m, Ø = 4.6 mm;
— stationary phase: trimethylsilyl silica gel for chromatography R (5 μm).
Mobile phase: Dissolve 3.85 g of ammonium acetate R in water for chromatography R, adjust to pH 5.5 with anhydrous acetic acid R and dilute to 600 mL with water for chromatography R; add 400 mL of acetonitrile R; slowly add, with stirring,10 mL of triethylamine R and readjust to pH 5.5 with anhydrous acetic acid R.
Flow rate: 1 mL/min.
Detection: Spectrophotometer at 295 nm.
Injection: 10 μL.
Run time: Twice the retention time of paroxetine.
Identification of impurities: Use the chromatogram obtained with reference solution (b) to identify the peak due to impurity A.
Relative retention: With reference to paroxetine (retention time = about 8 min): impurity A = about 0.9.
System suitability: Reference solution (b):
— resolution: minimum 2.0 between the peaks due to impurity A and paroxetine.
Calculate the percentage content of C19H21ClFNO3 using the chromatogram obtained with reference solution (a) and taking into account the assigned content of paroxetine hydrochloride hemihydrate CRS.
STORAGE
Protected from light.
IMPURITIES
Specified impurities A, D, G.
Other detectable impurities (the following substances would, if present at a sufficient level, be detected by one or other of the tests in the monograph. They are limited by the general acceptance criterion for other/unspecified impurities and/or by the general monograph Substances for pharmaceutical use (2034). It is therefore not necessary to identify these impurities for demonstration of compliance. See also 5.10.
Control of impurities in substances for pharmaceutical use) B, C, E, F.

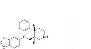
A. (3S,4R)-3-[[(1,3-benzodioxol-5-yl)oxy]methyl]-4-phenylpiperidine (defluoroparoxetine),

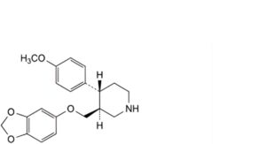
B. (3S,4R)-3-[[(1,3-benzodioxol-5-yl)oxy]methyl]-4-(4-methoxyphenyl)piperidine,

C. (3S,4R)-3-[[(1,3-benzodioxol-5-yl)oxy]methyl]-4-(4-ethoxyphenyl)piperidine,

D. (3R,4S)-3-[[(1,3-benzodioxol-5-yl)oxy]methyl]-4-(4-fluorophenyl)piperidine ((+)-trans-paroxetine),

E. (3RS,4RS)-3-[[(1,3-benzodioxol-5-yl)oxy]methyl]-4-(4-fluorophenyl)piperidine (cis-paroxetine),

F. 3,3′-[methylenebis(1,3-benzodioxole-6,5-diyloxymethylene)]bis[(3S,4R)-4-(4-fluorophenyl)piperidine],

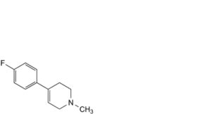
G. 4-(4-fluorophenyl)-1-methyl-1,2,3,6-tetrahydropyridine.






