(Ph. Eur. monograph 0102)
C20H22ClNO4 375.9 61-25-6
Action and use
Phosphodiesterase inhibitor; smooth muscle relaxant.
Preparation
Papaverine Injection
DEFINITION
1-(3,4-Dimethoxybenzyl)-6,7-dimethoxyisoquinoline hydrochloride.
Content
99.0 per cent to 101.0 per cent (dried substance).
CHARACTERS
Appearance
White or almost white, crystalline powder, or white or almost white crystals.
Solubility
Sparingly soluble in water, slightly soluble in ethanol (96 per cent).
IDENTIFICATION
First identification: A, D.
Second identification: B, C, D.
A. Infrared absorption spectrophotometry (2.2.24).
Comparison: papaverine hydrochloride CRS.
B. Thin-layer chromatography (2.2.27).
Test solution: Dissolve 5 mg of the substance to be examined in methanol R and dilute to 10 mL with the same solvent.
Reference solution: Dissolve 5 mg of papaverine hydrochloride CRS in methanol R and dilute to 10 mL with the same solvent.
Plate: TLC silica gel GF254 plate R.
Mobile phase: diethylamine R, ethyl acetate R, toluene R (10:20:70 V/V/V).
Application: 10 μL.
Development: Over 2/3 of the plate.
Drying: At 100-105 °C for 2 h.
Detection: Examine in ultraviolet light at 254 nm.
Results: The principal spot in the chromatogram obtained with the test solution is similar in position and size to the principal spot in the chromatogram obtained with the reference solution.
C. To 10 mL of solution S (see Tests) add 5 mL of ammonia R dropwise and allow to stand for 10 min. The precipitate, washed and dried, melts (2.2.14) at 146 °C to 149 °C.
D. It gives reaction (a) of chlorides (2.3.1).
TESTS
Solution S
Dissolve 0.4 g in carbon dioxide-free water R, heating gently if necessary, and dilute to 20 mL with the same solvent.
Appearance of solution
Solution S is clear (2.2.1) and not more intensely coloured than reference solution BY6 (2.2.2, Method II).
pH (2.2.3)
3.0 to 4.0 for solution S.
Related substances
Liquid chromatography (2.2.29).
Solvent mixture: acetonitrile R, mobile phase A (20:80 V/V).
Test solution: Dissolve 20.0 mg of the substance to be examined in the solvent mixture and dilute to 10.0 mL with the solvent mixture.
Reference solution (a): Dilute 1.0 mL of the test solution to 100.0 mL with the solvent mixture. Dilute 1.0 mL of this solution to 10.0 mL with the solvent mixture.
Reference solution (b): Dissolve 12 mg of noscapine CRS in 1.0 mL of the test solution and dilute to 100.0 mL with the solvent mixture.
Column:
— size: l = 0.25 m, Ø = 4.0 mm;
— stationary phase: base-deactivated octylsilyl silica gel for chromatography R (5 μm).
Mobile phase:
— mobile phase A: 3.4 g/L solution of potassium dihydrogen phosphate R adjusted to pH 3.0 with dilute phosphoric acid R;\
— mobile phase B: acetonitrile R;
— mobile phase C: methanol R;
| Time (min) |
Mobile phase A (per cent V/V) |
Mobile phase B (per cent V/V) |
Mobile phase C (per cent V/V) |
| 0 – 5 | 85 | 5 | 10 |
| 5 – 12 | 85 → 60 | 5 | 10 → 35 |
| 12 – 20 | 60 | 5 | 35 |
| 20 – 24 | 60 → 40 | 5 → 20 | 35 → 40 |
| 24 – 27 | 40 | 20 | 40 |
| 27 – 32 | 40 → 85 | 20 → 5 | 40 → 10 |
Flow rate: 1 mL/min.
Detection: Spectrophotometer at 238 nm.
Injection: 10 μL.
Relative retention: With reference to papaverine (retention time = about 24 min): impurity E = about 0.7; impurity C = about 0.75; impurity B = about 0.8; impurity A = about 0.9; impurity F = about 1.1; impurity D = about 1.2.
System suitability: Reference solution (b):
— resolution: minimum 1.5 between the peaks due to impurity A and papaverine.
Limits:
— correction factors: for the calculation of contents, multiply the peak areas of the following impurities by the corresponding correction factor: impurity A = 6.2; impurity C = 2.7; impurity D = 0.5;
— any impurity: not more than the area of the principal peak in the chromatogram obtained with reference solution (a) (0.1 per cent);
— total: not more than 5 times the area of the principal peak in the chromatogram obtained with reference solution (a) (0.5 per cent);
— disregard limit: 0.5 times the area of the principal peak in the chromatogram obtained with reference solution (a) (0.05 per cent).
Loss on drying (2.2.32)
Maximum 0.5 per cent, determined on 1.000 g by drying in an oven at 105 °C.
Sulfated ash (2.4.14)
Maximum 0.1 per cent, determined on the residue from the test for loss on drying.
ASSAY
Dissolve 0.300 g in a mixture of 5.0 mL of 0.01 M hydrochloric acid and 50 mL of alcohol R. Carry out a potentiometric titration (2.2.20), using 0.1 M sodium hydroxide. Read the volume added between the 2 points of inflexion.
1 mL of 0.1 M sodium hydroxide is equivalent to 37.59 mg of C20H22ClNO4.
IMPURITIES

A. (3S)-6,7-dimethoxy-3-[(5R)-4-methoxy-6-methyl-5,6,7,8-tetrahydro-1,3-dioxolo[4,5-g]isoquinolin-5-yl]isobenzofuran-1(3H)-one (noscapine),

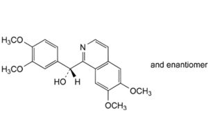
B. (RS)-(3,4-dimethoxyphenyl)(6,7-dimethoxyisoquinolin-1-yl)methanol (papaverinol),

C. 1-(3,4-dimethoxybenzyl)-6,7-dimethoxy-3,4-dihydroisoquinoline (dihydropapaverine),

D. (3,4-dimethoxyphenyl)(6,7-dimethoxyisoquinolin-1-yl)methanone (papaveraldine),

E. (1RS)-1-(3,4-dimethoxybenzyl)-6,7-dimethoxy-1,2,3,4-tetrahydroisoquinoline (tetrahydropapaverine),

F. 2-(3,4-dimethoxyphenyl)-N-[2-(3,4-dimethoxyphenyl)ethyl]acetamide.






