Edition: BP 2025 (Ph. Eur. 11.6 update)
Action and use
Anticholinergic; treatment of reversible airways obstruction. Ph Eur
DEFINITION
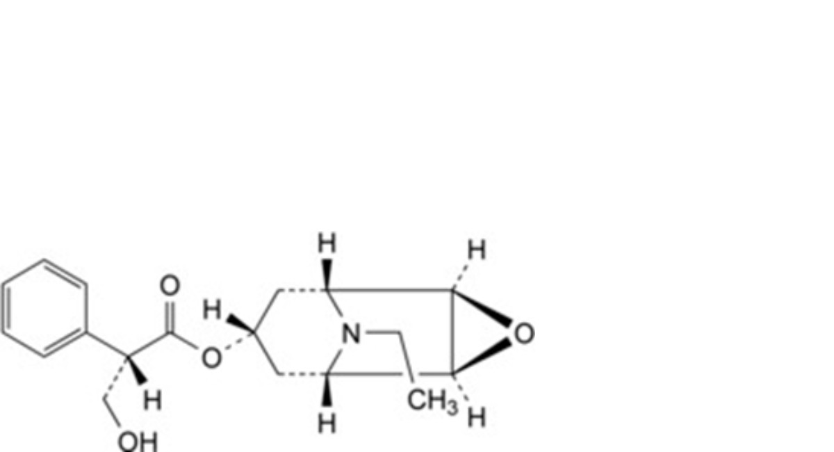
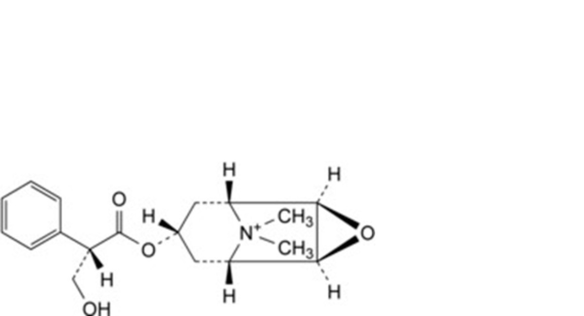
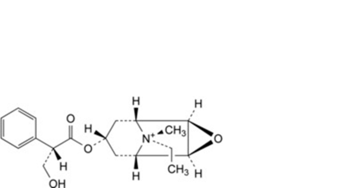
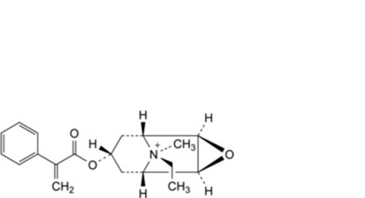
(1R,2R,4S,5S,7s,9s)-9-Ethyl-7-[[(2S)-3-hydroxy-2-phenylpropanoyl]oxy]-9-methyl-3-oxa-9- azoniatricyclo[3.3.1.02,4]nonane bromide (ethylhyoscine).
Content
99.0 per cent to 101.0 per cent (dried substance).
CHARACTERS
Appearance
White or almost white, crystalline powder.
Solubility
Very soluble in water, freely soluble in methanol, sparingly soluble in ethanol (96 per cent), practically insoluble in methylene chloride.
It shows polymorphism (5.9).
IDENTIFICATION
A. Infrared absorption spectrophotometry (2.2.24).
Comparison oxitropium bromide CRS.
If the spectra obtained in the solid state show differences at about 1700 cm-1 and about 3300 cm-1, dissolve the substance to be examined and the reference substance separately in methanol R, evaporate to dryness and record new spectra using the residues.
B. It gives reaction (a) of bromides (2.3.1).
TESTS
Specific optical rotation (2.2.7)
-26 to -24 (dried substance).
Dissolve 1.0 g in water R and dilute to 20.0 mL with the same solvent.
Related substances
Liquid chromatography (2.2.29).
Test solution Dissolve 75.0 mg of the substance to be examined in the mobile phase and dilute to 50.0 mL with the mobile phase. Dilute 5.0 mL of the solution to 50.0 mL with the mobile phase.
Reference solution (a) Dissolve 7.5 mg of oxitropium bromide impurity B CRS in the mobile phase and dilute to 50.0 mL with the mobile phase.
Reference solution (b) Dilute 5.0 mL of reference solution (a) to 50.0 mL with the mobile phase. Dilute 5.0 mL of this solution to 50.0 mL with the mobile phase. Dilute 5.0 mL of this solution to 50.0 mL with the mobile phase.
Reference solution (c) Mix 5.0 mL of the test solution and 5.0 mL of reference solution (a).
Reference solution (d) Dilute 15.0 mL of the test solution to 100.0 mL with the mobile phase. Dilute 5.0 mL of this solution to 50.0 mL with the mobile phase.
Reference solution (e) Dilute 5.0 mL of the test solution to 50.0 mL with the mobile phase. Dilute 5.0 mL of this solution to 50.0 mL with the mobile phase. Dilute 5.0 mL of this solution to 50.0 mL with the mobile phase.
Column:
— size: l = 0.125 m, Ø = 4.0 mm;
— stationary phase: base-deactivated octylsilyl silica gel for chromatography R (5 µm) with a specific surface area of 350 m2/g and a pore size of 6 nm.
Mobile phase acetonitrile for chromatography R, 7.8 g/L solution of sodium dihydrogen phosphate R(10:100 V/V).
Flow rate 2.0 mL/min.
Detection Spectrophotometer at 210 nm.
Injection 50 µL of the test solution and reference solutions (b), (c), (d) and (e).
Relative retention With reference to oxitropium (retention time = about 6 min): impurity A = about 0.8; impurity B = about 0.9; impurity C = about 1.3.
System suitability Reference solution (c):
— resolution: minimum 1.6 between the peaks due to impurity B and oxitropium.
Limits:
— impurity A: not more than the area of the principal peak in the chromatogram obtained with reference solution (e) (0.1 per cent);
— impurity B: not more than the area of the corresponding peak in the chromatogram obtained with reference solution (b) (0.1 per cent);
— impurity C: not more than the area of the principal peak in the chromatogram obtained with reference solution (d) (1.5 per cent);
— unspecified impurities: for each impurity, not more than the area of the principal peak in the chromatogram obtained with reference solution (e) (0.10 per cent);
— sum of unspecified impurities: not more than twice the area of the principal peak in the chromatogram obtained with reference solution (e) (0.2 per cent);
— disregard limit: 0.5 times the area of the principal peak in the chromatogram obtained with reference solution (e) (0.05 per cent).
Impurity D
Liquid chromatography (2.2.29).
Test solution Dissolve 75.0 mg of the substance to be examined in the mobile phase and dilute to 50.0 mL with the mobile phase. Dilute 5.0 mL of the solution to 50.0 mL with the mobile phase.
Reference solution (a) Dissolve 6.0 mg of oxitropium bromide impurity D CRS in the mobile phase and dilute to 50.0 mL with the mobile phase.
Reference solution (b) Dilute 5.0 mL of reference solution (a) to 200.0 mL with the mobile phase. Dilute 5.0 mL of this solution to 50.0 mL with the mobile phase.
Reference solution (c) To 5.0 mL of the test solution add 5.0 mL of reference solution (a).
Column:
— size: l = 0.125 m, Ø = 4.0 mm;
— stationary phase: base-deactivated octylsilyl silica gel for chromatography R (5 µm).
Mobile phase acetonitrile for chromatography R, 7.8 g/L solution of sodium dihydrogen phosphate R(18.5:100 V/V).
Flow rate 2.0 mL/min.
Detection Spectrophotometer at 210 nm.
Injection 50 µL of the test solution and reference solutions (b) and (c).
System suitability Reference solution (c):
— resolution: minimum 3.0 between the peaks due to impurity D and oxitropium.
Limit:
— impurity D: not more than the area of the corresponding peak in the chromatogram obtained with reference solution (b) (0.2 per cent).
Loss on drying (2.2.32)
Maximum 0.5 per cent, determined on 1.000 g by drying in an oven at 105 °C.
ASSAY
Dissolve 0.350 g in 100 mL of water R and add 5.0 mL of dilute nitric acid R. Titrate with 0.1 M silver nitrate. Determine the end-point potentiometrically (2.2.20) using a silver indicator electrode and a silver-silver chloride reference electrode.
1 mL of 0.1 M silver nitrate is equivalent to 41.23 mg of C19H26BrNO4.
IMPURITIES
Specified impurities A, B, C, D.

A. (1R,2R,4S,5S,7s)-9-ethyl-3-oxa-9-azatricyclo[3.3.1.02,4]non-7-yl (2S)-3-hydroxy-2-phenylpropanoate (N- ethylnorhyoscine),

B. (1R,2R,4S,5S,7s)-7-[[(2S)-3-hydroxy-2-phenylpropanoyl]oxy]-9,9-dimethyl-3-oxa-9- azoniatricyclo[3.3.1.02,4]nonane (methylhyoscine),

C. (1R,2R,4S,5S,7s,9r)-9-ethyl-7-[[(2S)-3-hydroxy-2-phenylpropanoyl]oxy]-9-methyl-3-oxa-9- azoniatricyclo[3.3.1.02,4]nonane (pseudo-isomer),

D. (1R,2R,4S,5S,7s,9s)-9-ethyl-9-methyl-7-[(2-phenylacryloyl)oxy]-3-oxa-9-azoniatricyclo[3.3.1.02,4]nonane (apo-N-ethylhyoscine).
Ph Eur






