Edition: BP 2025 (Ph. Eur. 11.6 update)
Action and use
Antiepileptic.
Ph Eur
DEFINITION
10-Oxo-10,11-dihydro-5H-dibenzo[b,f]azepine-5-carboxamide.
Content
97.5 per cent to 102.0 per cent (dried substance).
CHARACTERS
Appearance
White or faintly orange, crystalline powder.
Solubility
Practically insoluble in water and in ethanol (96 per cent), slightly soluble in methylene chloride.
IDENTIFICATION
Infrared absorption spectrophotometry (2.2.24).
Comparison oxcarbazepine CRS.
TESTS
Related substances
Liquid chromatography (2.2.29). Carry out the test protected from light. Solvent mixture acetonitrile R, solution A (50:50 V/V).
Phosphate buffer solution Dissolve 0.54 g of potassium dihydrogen phosphate R and 8.9 g of disodium hydrogen phosphate dihydrate R in 1.0 L of water R.
Solution A 1.8 g/L solution of ascorbic acid R.
Solution B 1.8 g/L solution of sodium edetate R in a mixture of equal volumes of the phosphate buffer solution and water R.
Test solution (a) Dissolve 50.0 mg of the substance to be examined in 25 mL of acetonitrile R, sonicate for 10 min, cool to room temperature and dilute to 50.0 mL with solution A.
Test solution (b) Dilute 5.0 mL of test solution (a) to 50.0 mL with the solvent mixture.
Reference solution (a) Dissolve the contents of a vial of oxcarbazepine impurity mixture CRS (impurities A, B, I and K) in 0.5 mL of acetonitrile R and dilute to 1.0 mL with solution A.
Reference solution (b) Dilute 1.0 mL of test solution (a) to 100.0 mL with the solvent mixture. Dilute 1.0 mL of this solution to 10.0 mL with the solvent mixture.
Reference solution (c) Dissolve 50.0 mg of oxcarbazepine CRS in 25 mL of acetonitrile R, sonicate for 10 min, cool to room temperature and dilute to 50.0 mL with solution A. Dilute 5.0 mL of this solution to 50.0 mL with the solvent mixture.
Column:
— size: l = 0.25 m, Ø = 4.6 mm;
— stationary phase: phenylhexylsilyl silica gel for chromatography R (5 µm);
— temperature: 40 °C.
Mobile phase:
— mobile phase A: acetonitrile R, solution B, tetrahydrofuran R, water R (5:10:10:75 V/V/V/V);
— mobile phase B: solution B, tetrahydrofuran R, water R, acetonitrile R (10:10:20:60 V/V/V/V);
| Time (min) | Mobile phase A (per cent V/V) | Mobile phase B (per cent V/V) |
| 0 – 10 | 60 | 40 |
| 10 – 20 | 60 → 5 | 40 → 95 |
| 20 – 27 | 5 | 95 |
Flow rate 1.0 mL/min.
Detection Spectrophotometer at 240 nm.
Injection 10 µL of test solution (a) and reference solutions (a) and (b).
Identification of impurities Use the chromatogram supplied with oxcarbazepine impurity mixture CRS and the chromatogram obtained with reference solution (a) to identify the peaks due to impurities A, B, I and K.
Relative retention With reference to oxcarbazepine (retention time = about 6 min): impurity I = about 0.8; impurity A = about 1.3; impurities K and L = about 1.4; impurity B = about 1.6.
System suitability Reference solution (a):
— peak-to-valley ratio: minimum 4.0, where Hp = height above the baseline of the peak due to impurities K and L and Hv = height above the baseline of the lowest point of the curve separating this peak from the peak due to impurity A.
Calculation of percentage contents:
— for each impurity, use the concentration of oxcarbazepine in reference solution (b).
Limits:
— impurities B, I: for each impurity, maximum 0.1 per cent;
— sum of impurities K and L: maximum 0.1 per cent;
— unspecified impurities: for each impurity, maximum 0.05 per cent;
— total: maximum 0.5 per cent;
— reporting threshold: 0.03 per cent.
Loss on drying (2.2.32)
Maximum 0.5 per cent, determined on 1.000 g by drying in an oven at 105 °C.
Sulfated ash (2.4.14)
Maximum 0.1 per cent, determined on 1.0 g.
ASSAY
Liquid chromatography (2.2.29) as described in the test for related substances with the following modifications.
Mobile phase:
| Time (min) | Mobile phase A (per cent V/V) | Mobile phase B (per cent V/V) |
| 0 – 7 | 60 | 40 |
| 7 – 8 | 60 → 5 | 40 → 95 |
| 8 – 13 | 5 | 95 |
Injection Test solution (b) and reference solution (c).
Calculate the percentage content of C15H12N2O2 taking into account the assigned content of oxcarbazepine CRS.
IMPURITIES
Specified impurities B, I, K, L.
Other detectable impurities (the following substances would, if present at a sufficient level, be detected by one or other of the tests in the monograph. They are limited by the general acceptance criterion for other/unspecified impurities and/or by the general monograph Substances for pharmaceutical use (2034). It is therefore not necessary to identify these impurities for demonstration of compliance. See also 5.10.
Control of impurities in substances for pharmaceutical use) A, C, D, E, F, G, H, M.

A. 5H-dibenzo[b,f]azepine-5-carboxamide (carbamazepine),

B. 10-methoxy-5H-dibenzo[b,f]azepine-5-carboxamide (10-methoxycarbamazepine),

C. 5,11-dihydro-10H-dibenzo[b,f]azepin-10-one,

D. 5H-dibenzo[b,f]azepine-10,11-dione,

E. 5H-dibenzo[b,f]azepine,

F. 10-methoxy-5H-dibenzo[b,f]azepine-5-carbonyl chloride,

G. 5-ethyl-10-methoxy-5H-dibenzo[b,f]azepine,

H. 10-methoxy-5H-dibenzo[b,f]azepine,

I. 10,11-dioxo-10,11-dihydro-5H-dibenzo[b,f]azepine-5-carboxamide,

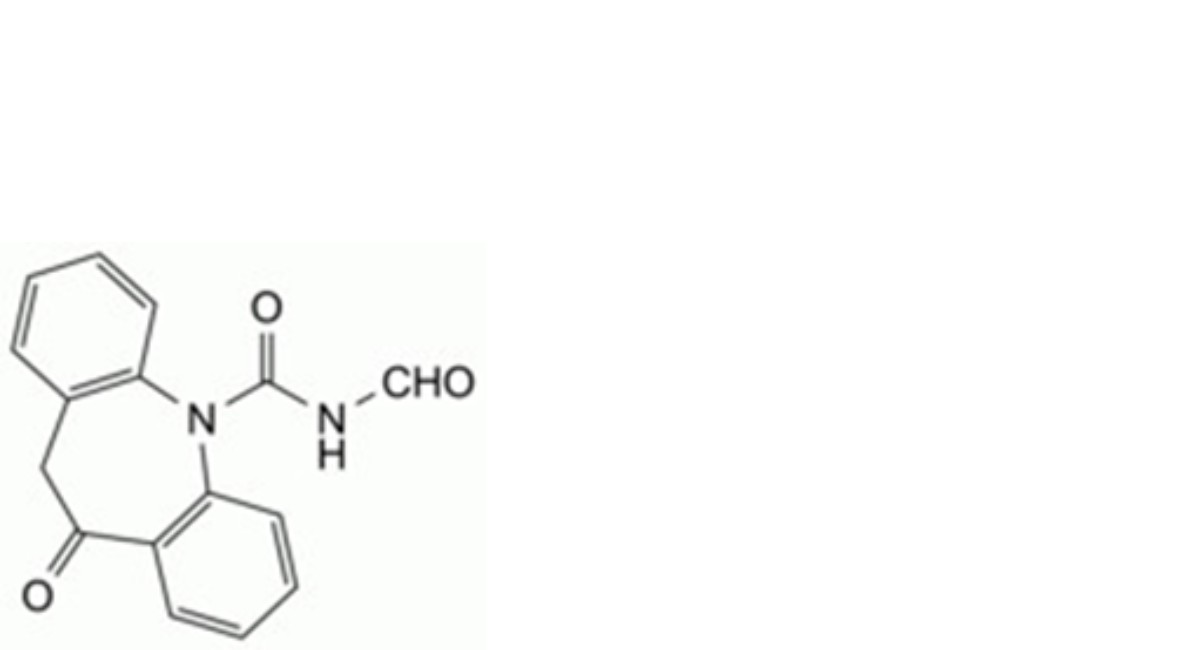
K. N-formyl-10-oxo-10,11-dihydro-5H-dibenzo[b,f]azepine-5-carboxamide,

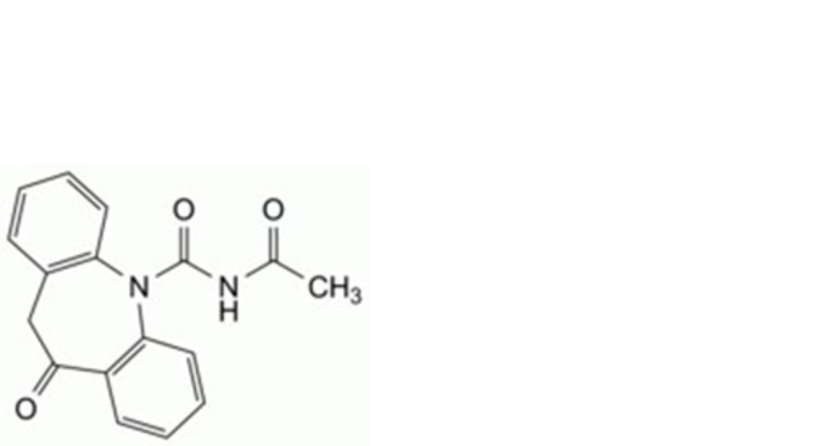
L. N-acetyl-10-oxo-10,11-dihydro-5H-dibenzo[b,f]azepine-5-carboxamide,

M. 10-[[(10-oxo-10,11-dihydro-5H-dibenzo[b,f]azepin-5-yl)carbonyl]amino]-5H-dibenzo[b,f]azepine-5- carboxamide.
Ph Eur






