Edition: BP 2025 (Ph. Eur. 11.6 update)
Action and use
Benzodiazepine.
Preparation
Oxazepam Tablets
Ph Eur
DEFINITION
(3RS)-7-Chloro-3-hydroxy-5-phenyl-1,3-dihydro-2H-1,4-benzodiazepin-2-one.
Content
99.0 per cent to 101.0 per cent (dried substance).
CHARACTERS
Appearance
White or almost white, crystalline powder.
Solubility
Practically insoluble in water, slightly soluble in ethanol (96 per cent).
IDENTIFICATION
Infrared absorption spectrophotometry (2.2.24).
Comparison oxazepam CRS.
TESTS
Related substances
Liquid chromatography (2.2.29). Prepare the solutions immediately before use.
Test solution Dissolve 40.0 mg of the substance to be examined in 25 mL of a mixture of equal volumes of acetonitrile R and water R and dilute to 50.0 mL with the same mixture of solvents.
Reference solution (a) Dilute 1.0 mL of the test solution to 100.0 mL with a mixture of equal volumes of acetonitrile R and water R. Dilute 2.0 mL of this solution to 10.0 mL with a mixture of equal volumes of acetonitrile R and water R.
Reference solution (b) Dissolve the contents of a vial of oxazepam for peak identification CRS (containing impurities A, B, C, D and E) in 1.0 mL of the test solution.
Column:
— size: l = 0.25 m, Ø = 4.6 mm;
— stationary phase: end-capped octadecylsilyl silica gel for chromatography R (5 µm) resistant to bases up to pH 11.
Mobile phase:
— mobile phase A: dissolve 3.48 g of dipotassium hydrogen phosphate R in 900 mL of water R, adjust to pH 10.5 with a 40 g/L solution of sodium hydroxide R and dilute to 1000 mL with water R;
— mobile phase B: acetonitrile R;
| Time (min) | Mobile phase A (per cent V/V) | Mobile phase B (per cent V/V) |
| 0 – 4 | 75 | 25 |
| 4 – 34 | 75 → 25 | 25 → 75 |
| 34 – 45 | 25 | 75 |
| 45 – 50 | 25 → 75 | 75 → 25 |
| 50 – 60 | 75 | 25 |
Flow rate 1.0 mL/min.
Detection Spectrophotometer at 235 nm.
Injection 10 µL.
Identification of impurities Use the chromatogram obtained with reference solution (b) and the chromatogram supplied with oxazepam for peak identification CRS to identify the peaks due to impurities A, B, C, D and E.
Relative retention With reference to oxazepam (retention time = about 15 min): impurity E = about 0.7; impurity A = about 0.8; impurity B = about 1.2; impurity C = about 1.4; impurity D = about 2.0.
System suitability Reference solution (b):
— resolution: minimum 1.5 between the peaks due to impurities E and A.
Limits:
— correction factors: for the calculation of content, multiply the peak areas of the following impurities by the corresponding correction factor: impurity A = 4.0; impurity B = 1.1;
— impurities A, B, C, D, E: for each impurity, not more than the area of the principal peak in the chromatogram obtained with reference solution (a) (0.2 per cent);
— unspecified impurities: for each impurity, not more than 0.5 times the area of the principal peak in the chromatogram obtained with reference solution (a) (0.10 per cent);
— total: not more than 5 times the area of the principal peak in the chromatogram obtained with reference solution (a) (1.0 per cent);
— disregard limit: 0.25 times the area of the principal peak in the chromatogram obtained with reference solution (a) (0.05 per cent).
Loss on drying (2.2.32)
Maximum 0.5 per cent, determined on 1.000 g by drying in an oven at 105 °C at a pressure not exceeding 0.7 kPa.
Sulfated ash (2.4.14)
Maximum 0.1 per cent, determined on 1.0 g.
ASSAY
Dissolve 0.250 g in a mixture of 10 mL of anhydrous acetic acid R and 90 mL of acetic anhydride R. Titrate with 0.1 M perchloric acid, determining the end-point potentiometrically (2.2.20).
1 mL of 0.1 M perchloric acid is equivalent to 28.67 mg of C15H11ClN2O2.
STORAGE
Protected from light.
IMPURITIES
Specified impurities A, B, C, D, E.

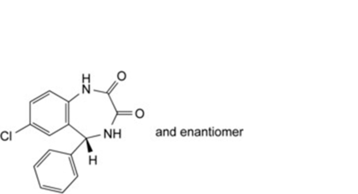
A. (5RS)-7-chloro-5-phenyl-4,5-dihydro-1H-1,4-benzodiazepine-2,3-dione,

B. (3RS)-7-chloro-2-oxo-5-phenyl-2,3-dihydro-1H-1,4-benzodiazepin-3-yl acetate,

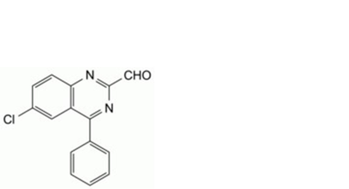
C. 6-chloro-4-phenylquinazoline-2-carbaldehyde,

D. (2-amino-5-chlorophenyl)phenylmethanone,

E. 7-chloro-5-phenyl-1,3-dihydro-2H-1,4-benzodiazepin-2-one 4-oxide.
Ph Eur






