Edition: BP 2025 (Ph. Eur. 11.6 update)
DEFINITION
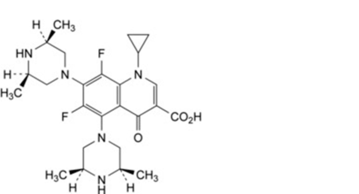
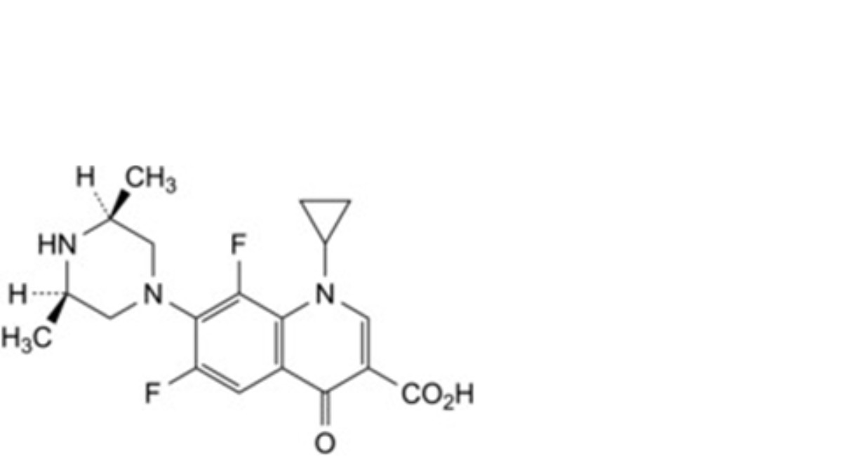
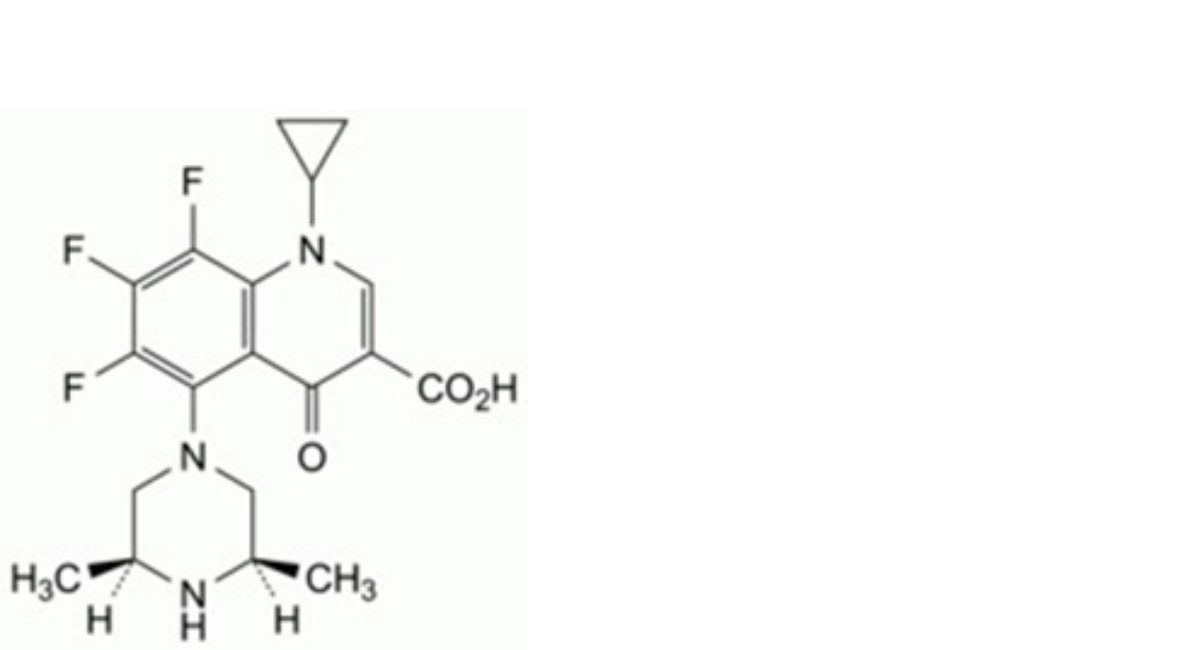
1-Cyclopropyl-7-[(3R,5S)-3,5-dimethylpiperazin-1-yl]-5,6,8-trifluoro-4-oxo-1,4-dihydroquinoline-3-carboxylic acid.
Content
99.0 per cent to 101.0 per cent (anhydrous substance).
CHARACTERS
Appearance
White or pale yellow, crystals or crystalline powder.
Solubility
Very slightly soluble in water, soluble in glacial acetic acid, practically insoluble in anhydrous ethanol. It shows polymorphism (5.9).
IDENTIFICATION
Infrared absorption spectrophotometry (2.2.24).
Comparison orbifloxacin CRS.
If the spectra obtained in the solid state show differences, dissolve 0.1 g of the substance to be examined and 0.1 g of the reference substance separately in 12 mL of methanol R. Heat to boiling while shaking. Filter the solutions and let them cool slowly to room temperature. Filter under vacuum and wash the residues with cooled methanol R. Dry the residues under vacuum and record new spectra using the residues.
TESTS
Appearance of solution
The solution is clear (2.2.1) and not more intensely coloured than reference solution GY4 (2.2.2, Method II). Dissolve 0.4 g in a 4 g/L solution of sodium hydroxide R and dilute to 20 mL with the same solution.
Related substances
Liquid chromatography (2.2.29).
Buffer solution Dissolve 5.9 g of sodium citrate R in 800 mL of water R, add 90 mL of glacial acetic acid R and mix. Adjust to pH 3.5 with a 240 g/L solution of sodium hydroxide R in water R and dilute to 1000 mL with water R.
Test solution Dissolve 10 mg of the substance to be examined in the buffer solution and dilute to 50.0 mL with the buffer solution.
Reference solution (a) Dilute 1.0 mL of the test solution to 50.0 mL with the buffer solution. Dilute 1.0 mL of this solution to 10.0 mL with the buffer solution.
Reference solution (b) Dissolve 10.0 mg of methyl 4-aminobenzoate R in the buffer solution and dilute to 100.0 mL with the buffer solution. Mix 10.0 mL of the solution with 5.0 mL of the test solution and dilute to 50.0 mL with the buffer solution. Dilute 1.0 mL of this solution to 50.0 mL with the buffer solution.
Reference solution (c) Dissolve the contents of a vial of orbifloxacin impurity mixture CRS (impurities A and D) in 1.0 mL of the buffer solution.
Reference solution (d) Dilute 0.25 mL of reference solution (c) to 1.0 mL of the buffer solution.
Column:
— size: l = 33 mm, Ø = 4.6 mm;
— stationary phase: base-deactivated octadecylsilyl silica gel for chromatography R (3 µm).
Mobile phase dioxan R, methanol R, buffer solution (4:11:86 V/V/V). Flow rate 1 mL/min.
Detection Spectrophotometer at 290 nm.
Injection 10 µL.
Run time 9 times the retention time of orbifloxacin.
Identification of the impurities Use the chromatogram supplied with orbifloxacin impurity mixture CRS and the chromatogram obtained with reference solution (c) to identify the peaks due to impurities A and D.
Relative retention With reference to orbifloxacin (retention time = about 2 min): impurity A = about 0.5; methyl 4- aminobenzoate = about 1.2; impurity D = about 2.5.
System suitability:
— resolution: minimum 2.0 between the peaks due to orbifloxacin and methyl 4-aminobenzoate in the chromatogram obtained with reference solution (b);
— signal-to-noise ratio: minimum 10 for the peak due to impurity A in the chromatogram obtained with reference solution (d).
Limits:
— correction factors: for the calculation of contents, multiply the peak areas of the following impurities by the corresponding correction factor: impurity A = 2.8; impurity D = 1.4;
— impurities A, D: for each impurity, not more than the area of the principal peak in the chromatogram obtained with reference solution (a) (0.2 per cent);
— unspecified impurities: for each impurity, not more than the area of the principal peak in the chromatogram obtained with reference solution (a) (0.20 per cent);
— total: not more than twice the area of the principal peak in the chromatogram obtained with reference solution (a) (0.4 per cent);
— disregard limit: 0.5 times the area of the principal peak in the chromatogram obtained with reference solution (a) (0.10 per cent).
Water (2.5.12)
1.5 per cent to 2.9 per cent, determined on 0.250 g.
Sulfated ash (2.4.14)
Maximum 0.1 per cent, determined on 1.0 g.
ASSAY
Dissolve 0.300 g in 100 mL of anhydrous acetic acid R. Titrate with 0.1 M perchloric acid determining the end-point potentiometrically (2.2.20).
1 mL of 0.1 M perchloric acid is equivalent to 39.54 mg of C19H20F3N3O3.
IMPURITIES
Specified impurities A, D.
Other detectable impurities (the following substances would, if present at a sufficient level, be detected by one or other of the tests in the monograph. They are limited by the general acceptance criterion for other/unspecified impurities and/or by the general monograph Substances for pharmaceutical use (2034). It is therefore not necessary to identify these impurities for demonstration of compliance. See also 5.10. Control of impurities in substances for pharmaceutical use) B, C, E, F, G.

A. 1-cyclopropyl-5,7-bis[(3R,5S)-3,5-dimethylpiperazin-1-yl]6,8-difluoro-4-oxo-1,4-dihydroquinoline-3-carboxylic acid,

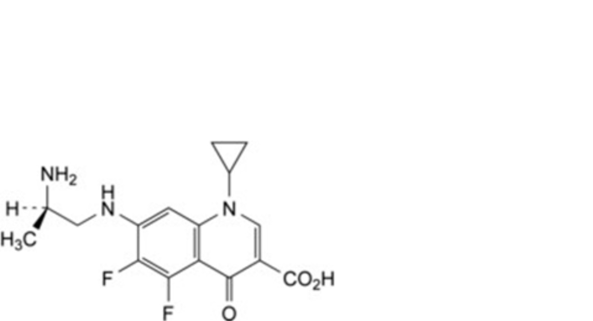
B. 7-[[(2R)-2-aminopropyl]amino]-1-cyclopropyl-5,6-difluoro-4-oxo-1,4-dihydroquinoline-3-carboxylic acid,

C. 1-cyclopropyl-7-[(3R,5S)3,5-dimethylpiperazin-1-yl]-6,8-difluoro-4-oxo-1,4-dihydroquinoline-3-carboxylic acid,

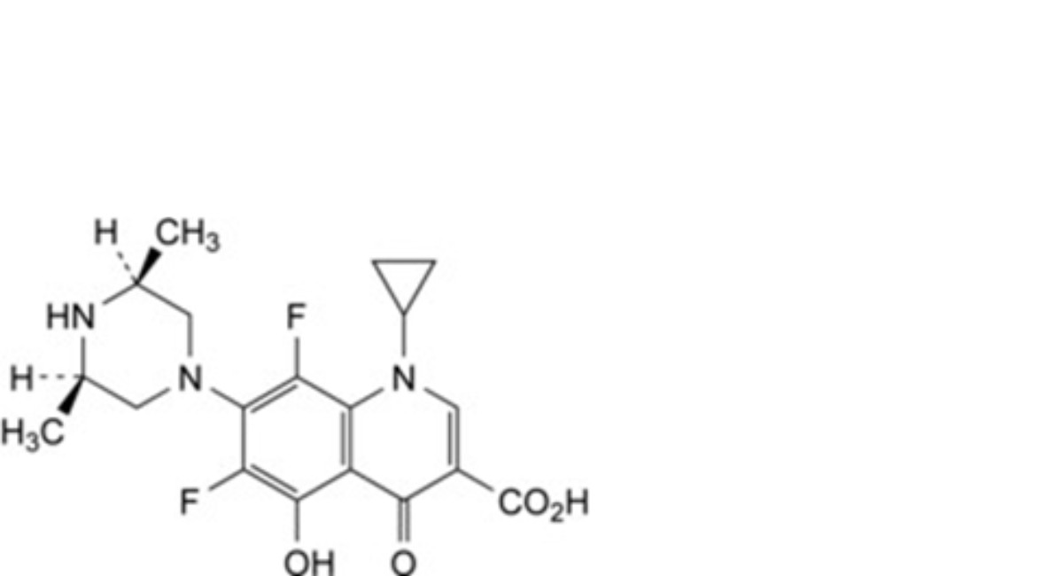
D. 1-cyclopropyl-7-[(3R,5S)-3,5-dimethylpiperazin-1-yl]-6,8-difluoro-5-hydroxy-4-oxo-1,4-dihydroquinoline-3-carboxylic acid,

E. 1-cyclopropyl-5-[(3R,5S)-3,5-dimethylpiperazin-1-yl]-6,7,8-trifluoro-4-oxo-1,4-dihydroquinoline-3-carboxylic acid,

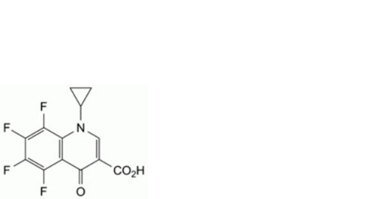
F. 1-cyclopropyl-5,6,7,8-tetrafluoro-4-oxo-1,4-dihydroquinoline-3-carboxylic acid,

G. 1-cyclopropyl-7-[(3R,5S)-3,5-dimethylpiperazin-1-yl]-5,6,8-trifluoroquinolin-4(1H)-one.






