Edition: BP 2025 (Ph. Eur. 11.6 update)
Action and use
Proton pump inhibitor; treatment of peptic ulcer disease.
Preparations
Omeprazole Gastro-resistant Tablets Omeprazole Oral Suspension
Ph Eur
DEFINITION
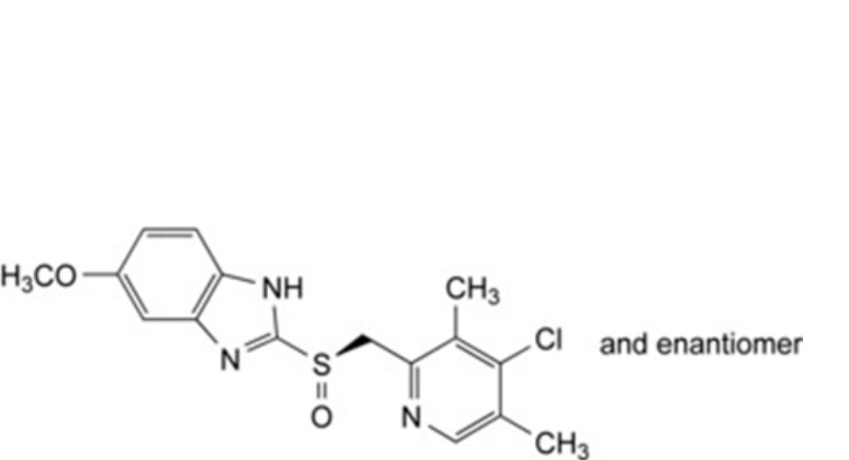
5-Methoxy-2-[(RS)-[(4-methoxy-3,5-dimethylpyridin-2-yl)methyl]sulfinyl]-1H-benzimidazole.
Content
99.0 per cent to 101.0 per cent (dried substance).
CHARACTERS
Appearance
White or almost white powder.
Solubility
Very slightly soluble in water, soluble in methylene chloride, sparingly soluble in ethanol (96 per cent) and in methanol. It dissolves in dilute solutions of alkali hydroxides.
It shows polymorphism (5.9).
IDENTIFICATION
Infrared absorption spectrophotometry (2.2.24).
Comparison omeprazole CRS.
If the spectra obtained in the solid state show differences, dissolve the substance to be examined and the reference substance separately in methanol R, evaporate to dryness and record new spectra using the residues.
TESTS
Solution S
Dissolve 0.50 g in methylene chloride R and dilute to 25 mL with the same solvent.
Appearance of solution
Solution S is clear (2.2.1).
Impurities F and G
Maximum 350 ppm for the sum of the contents.
The absorbance (2.2.25) of solution S determined at 440 nm is not greater than 0.10.
Related substances
Liquid chromatography (2.2.29). Prepare the solutions immediately before use.
Test solution Dissolve 3 mg of the substance to be examined in the mobile phase and dilute to 25.0 mL with the mobile phase.
Reference solution (a) Dissolve 1 mg of omeprazole CRS and 1 mg of omeprazole impurity D CRS in the mobile phase and dilute to 10 mL with the mobile phase.
Reference solution (b) Dilute 1.0 mL of the test solution to 100.0 mL with the mobile phase. Dilute 1.0 mL of this solution to 10.0 mL with the mobile phase.
Reference solution (c) Dissolve 3 mg of omeprazole for peak identification CRS (containing impurity E) in the mobile phase and dilute to 20 mL with the mobile phase.
Column:
— size: l = 0.125 m, Ø = 4.6 mm;
— stationary phase: octylsilyl silica gel for chromatography R (5 µm).
Mobile phase Mix 27 volumes of acetonitrile R and 73 volumes of a 1.4 g/L solution of disodium hydrogen phosphate dodecahydrate R previously adjusted to pH 7.6 with phosphoric acid R.
Flow rate 1 mL/min.
Detection Spectrophotometer at 280 nm.
Injection 40 µL.
Run time 5 times the retention time of omeprazole.
Identification of impurities Use the chromatogram obtained with reference solution (a) to identify the peak due to impurity D; use the chromatogram supplied with omeprazole for peak identification CRS and the chromatogram obtained with reference solution (c) to identify the peak due to impurity E.
Relative retention With reference to omeprazole (retention time = about 9 min): impurity E = about 0.6; impurity D = about 0.8.
System suitability Reference solution (a):
— resolution: minimum 3.0 between the peaks due to impurity D and omeprazole; if necessary, adjust the pH of the aqueous part of the mobile phase or the concentration of acetonitrile R; an increase in the pH will improve the resolution.
Limits:
— impurities D, E: for each impurity, not more than 1.5 times the area of the principal peak in the chromatogram obtained with reference solution (b) (0.15 per cent);
— unspecified impurities: for each impurity, not more than the area of the principal peak in the chromatogram obtained with reference solution (b) (0.10 per cent);
— total: not more than 5 times the area of the principal peak in the chromatogram obtained with reference solution (b) (0.5 per cent);
— disregard limit: 0.5 times the area of the principal peak in the chromatogram obtained with reference solution (b) (0.05 per cent).
Loss on drying (2.2.32)
Maximum 0.2 per cent, determined on 1.000 g by drying in vacuo at 60 °C at a pressure not exceeding 0.1 kPa for 4 h.
Sulfated ash (2.4.14)
Maximum 0.1 per cent, determined on 1.0 g.
ASSAY
Dissolve 0.250 g in a mixture of 10 mL of water R and 40 mL of ethanol (96 per cent) R. Titrate with 0.1 M sodium hydroxide, determining the end-point potentiometrically (2.2.20).
1 mL of 0.1 M sodium hydroxide is equivalent to 34.54 mg of C17H19N3O3S.
STORAGE
In an airtight container, protected from light, at a temperature of 2 °C to 8 °C.
IMPURITIES
Specified impurities D, E, F, G.
Other detectable impurities (the following substances would, if present at a sufficient level, be detected by one or other of the tests in the monograph. They are limited by the general acceptance criterion for other/unspecified impurities and/or by the general monograph Substances for pharmaceutical use (2034). It is therefore not necessary to identify these impurities for demonstration of compliance. See also 5.10.
Control of impurities in substances for pharmaceutical use) A, B, C, H, I.

A. 5-methoxy-1H-benzimidazole-2-thiol,

B. 2-[(RS)-[(3,5-dimethylpyridin-2-yl)methyl]sulfinyl]-5-methoxy-1H-benzimidazole,

C. 5-methoxy-2-[[(4-methoxy-3,5-dimethylpyridin-2-yl)methyl]sulfanyl]-1H-benzimidazole (ufiprazole),

D. 5-methoxy-2-[[(4-methoxy-3,5-dimethylpyridin-2-yl)methyl]sulfonyl]-1H-benzimidazole (omeprazole sulfone),

E. 4-methoxy-2-[[(RS)-(5-methoxy-1H-benzimidazol-2-yl)sulfinyl]methyl]-3,5-dimethylpyridine 1-oxide,

F. 8-methoxy-1,3-dimethyl-12-thioxopyrido[1′,2′:3,4]imidazo[1,2-a]benzimidazol-2(12H)-one,

G. 9-methoxy-1,3-dimethyl-12-thioxopyrido[1′,2′:3,4]imidazo[1,2-a]benzimidazol-2(12H)-one,

H. 2-[(RS)-[(4-chloro-3,5-dimethylpyridin-2-yl)methyl]sulfinyl]-5-methoxy-1H-benzimidazole,

I. 4-methoxy-2-[[(5-methoxy-1H-benzimidazol-2-yl)sulfonyl]methyl]-3,5-dimethylpyridine 1-oxide.
Ph Eur






