(Ph. Eur. monograph 2258)
C17H20N4S 312.4 132539-06-1
Action and use
Dopamine D2 receptor antagonist; serotonin 5HT2 receptor antagonist; neuroleptic.
Preparation
Olanzapine Orodispersible Tablets
DEFINITION
2-Methyl-4-(4-methylpiperazin-1-yl)-10H-thieno[2,3-b][1,5]benzodiazepine.
Content
98.0 per cent to 102.0 per cent (anhydrous substance).
CHARACTERS
Appearance
Yellow, crystalline powder.
Solubility
Practically insoluble in water, freely soluble in methylene chloride, slightly soluble in ethanol (96 per cent).
It shows polymorphism (5.9).
IDENTIFICATION
Infrared absorption spectrophotometry (2.2.24).
Comparison: olanzapine CRS.
If the spectra obtained in the solid state show differences, dissolve the substance to be examined and the reference substance separately in ethyl acetate R, evaporate to dryness and record new spectra using the
residues.
TESTS
Related substances
Liquid chromatography (2.2.29). Prepare the test and reference solutions immediately before use or keep them refrigerated and inject within 20 h of preparation.
Solution A: Dissolve 13 g of sodium dodecyl sulfate R in about 1450 mL of water R, add 5 mL of phosphoric acid R and adjust to pH 2.5 by slowly adding strong sodium hydroxide solution R. If a precipitate is formed, this precipitate has to be re-dissolved prior to final pH adjustment. Dilute to 1500 mL with water R.
Solvent mixture: Mix 4 volumes of acetonitrile R1 with 6 volumes of a 37 mg/L solution of sodium edetate R in solution A.
Test solution: Dissolve 10 mg of the substance to be examined in the solvent mixture and dilute to 25.0 mL with the solvent mixture.
Reference solution (a): Dilute 1.0 mL of the test solution to 100.0 mL with the solvent mixture. Dilute 1.0 mL of this solution to 10.0 mL with the solvent mixture.
Reference solution (b): Dissolve 4 mg of olanzapine for system suitability CRS (containing impurities B, C and D) in 10.0 mL of the solvent mixture.
Column:
— size: l = 0.25 m, Ø = 4.6 mm;
— stationary phase: octylsilyl silica gel for chromatography R (5 μm);
— temperature: 35 °C.
Mobile phase:
— mobile phase A: acetonitrile R1, solution A (48:52 V/V);
— mobile phase B: solution A, acetonitrile R1 (30:70 V/V);
| Time (min) |
Mobile phase A (per cent V/V) |
Mobile phase B (per cent V/V) |
| 0 – 10 | 100 | 0 |
| 10 – 20 | 100 → 0 | 0 → 100 |
| 20 – 25 | 0 | 100 |
Flow rate: 1.5 mL/min.
Detection: Spectrophotometer at 220 nm.
Injection: 20 μL.
Identification of impurities: Use the chromatogram supplied with olanzapine for system suitability CRS and the chromatogram obtained with reference solution (b) to identify the peaks due to impurities B, C and D.
Relative retention: With reference to olanzapine (retention time = about 13 min): impurity B = about 0.3; impurity D = about 0.9; impurity C = about 1.2.
System suitability: Reference solution (b):
— resolution: minimum 1.5 between the peaks due to impurity D and olanzapine.
Limits:
— correction factor: for the calculation of content, multiply the peak area of impurity B by 0.4;
— impurities B, C, D: for each impurity, not more than 1.5 times the area of the principal peak in the chromatogram obtained with reference solution (a) (0.15 per cent);
— unspecified impurities: for each impurity, not more than the area of the principal peak in the chromatogram obtained with reference solution (a) (0.10 per cent);
— total: not more than twice the area of the principal peak in the chromatogram obtained with reference solution (a) (0.2 per cent);
— disregard limit: 0.5 times the area of the principal peak in the chromatogram obtained with reference solution (a) (0.05 per cent).
Water (2.5.12)
Maximum 1.0 per cent, determined on 0.250 g.
Sulfated ash (2.4.14)
Maximum 0.1 per cent, determined on 1.0 g.
ASSAY
Liquid chromatography (2.2.29).
Test solution: Dissolve 50.0 mg of the substance to be examined in the mobile phase and dilute to 100.0 mL with the mobile phase. Dilute 2.0 mL of the solution to 10.0 mL with the mobile phase.
Reference solution (a): Dissolve 50.0 mg of olanzapine CRS in the mobile phase and dilute to 100.0 mL with the mobile phase. Dilute 2.0 mL of the solution to 10.0 mL with the mobile phase.
Reference solution (b): Dissolve 10 mg of the substance to be examined and 1 mg of olanzapine impurity A CRS in the mobile phase and dilute to 100.0 mL with the mobile phase.
Column:
— size: l = 0.15 m, Ø = 4.6 mm;
— stationary phase: octylsilyl silica gel for chromatography R (5 μm).
Mobile phase: Mix 1 volume of acetonitrile R with 1 volume of a 6.9 g/L solution of sodium dihydrogen phosphate monohydrate R adjusted to pH 2.5 with phosphoric acid R and containing 12 g/L of sodium dodecyl sulfate R.
Flow rate: 1.5 mL/min.
Detection: Spectrophotometer at 260 nm.
Injection: 20 μL.
Run time: 1.2 times the retention time of olanzapine.
Relative retention: With reference to olanzapine (retention time = about 7 min): impurity A = about 0.8.
System suitability: Reference solution (b):
— resolution: minimum 2.0 between the peaks due to impurity A and olanzapine.
Calculate the percentage content of C17H20N4S using the chromatogram obtained with reference solution (a) and the declared content of olanzapine CRS.
IMPURITIES
Specified impurities B, C, D.
Other detectable impurities (the following substances would, if present at a sufficient level, be detected by one or other of the tests in the monograph. They are limited by the general acceptance criterion for other/unspecified impurities and/or by the general monograph Substances for pharmaceutical use (2034). It is therefore not necessary to identify these impurities for demonstration of compliance. See also 5.10.
Control of impurities in substances for pharmaceutical use) A.

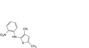
A. 5-methyl-2-[(2-nitrophenyl)amino]thiophene-3-carbonitrile,

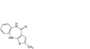
B. 2-methyl-5,10-dihydro-4H-thieno[2,3-b][1,5]benzodiazepin-4-one,

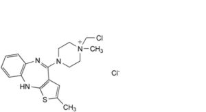
C. 1-(chloromethyl)-1-methyl-4-(2-methyl-10H-thieno[2,3-b][1,5]benzodiazepin-4-yl)piperazin-1-ium chloride,

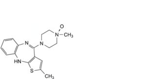
D. 1-methyl-4-(2-methyl-10H-thieno[2,3-b][1,5]benzodiazepin-4-yl)piperazin-1-oxide.






