Orodispersible Olanzapine Tablets
Action and use
Dopamine D2 receptor antagonist; serotonin 5HT2 receptor antagonist; neuroleptic.
DEFINITION
Olanzapine Orodispersible Tablets contain Olanzapine in a suitable orodispersible basis.
The tablets comply with the requirements stated under Tablets and with the following requirements.
Content of Olanzapine, C17H20N4S
95.0 to 105.0% of the stated amount.
IDENTIFICATION
Shake a quantity of the powdered tablets containing 60 mg of Olanzapine with 20 mL of methanol, filter and evaporate the filtrate to dryness. The infrared absorption spectrum of the residue, Appendix II A, is concordant with the reference spectrum of olanzapine (RS 477).
TESTS
Dissolution
Comply with the requirements in the dissolution test for tablets and capsules, Appendix XII B1.
TEST CONDITIONS
(a) Use Apparatus 2, rotating the paddle at 50 revolutions per minute.
(b) Use 900 mL of 0.1M hydrochloric acid, at a temperature of 37°, as the dissolution medium.
PROCEDURE
(1) After 15 minutes withdraw a sample of the medium, filter and dilute with the dissolution medium, if necessary, to produce a solution expected to contain 0.00028% w/v of Olanzapine. Measure the absorbance of this solution in a 4-cm cell, at 260 nm, Appendix II B using dissolution medium in the reference cell.
(2) 0.00028% w/v solution of olanzapine BPCRS in the dissolution medium. Measure the absorbance in a 4-cm cell, at 260 nm, Appendix II B using dissolution medium in the reference cell.
DETERMINATION OF CONTENT
Calculate the total content of olanzapine, C17H20N4S, in the medium from the absorbances obtained and using the declared content of C17H20N4S in olanzapine BPCRS.
LIMITS
The amount of olanzapine released is not less than 75%(Q) of the stated amount.
Related substances
Carry out the method for liquid chromatography, Appendix III D, using the following solutions, protected from light.
(1) Disperse a quantity of powdered tablets containing 25 mg of Olanzapine in 5 mL of water. Add 40 mL of acetonitrile, mix with the aid of ultrasound, add 40 mL of water and shake for 20 minutes, add sufficient water to produce 100 mL and filter through a 0.45-μm PTFE filter.
(2) Dilute 1 volume of solution (1) to 100 volumes with a mixture of 4 volumes of acetonitrile and 6 volumes of water. Dilute 1 volume of the resulting solution to 5 volumes with the same solvent mixture.
(3) 0.025% w/v of olanzapine for system suitability EPCRS with a mixture of 4 volumes of acetonitrile and 6 volumes of water.
CHROMATOGRAPHIC CONDITIONS
(a) Use a stainless steel column (25 cm × 4.6 mm) packed with end-capped octadecylsilyl silica gel (5 μm) (Inertsil ODS- 3 is suitable).
(b) Use gradient elution and the mobile phase described below.
(c) Use a flow rate of 1.5 mL per minute.
(d) Use an ambient column temperature.
(e) Use a detection wavelength of 250 nm.
(f) Inject 50 μL of each solution.
MOBILE PHASE
Mobile phase A 45 volumes of a mixture of equal volumes of acetonitrile and methanol and 55 volumes of a 0.345% w/v buffer solution of sodium dihydrogen orthophosphate monohydrate adjusted to pH 6.8 with dilute sodium hydroxide.
Mobile phase B 25 volumes of the buffer solution described under Mobile phase A and 75 volumes of a mixture of equal volumes of acetonitrile and methanol.
| Time (Minutes) | Mobile phase A (% v/v) | Mobile phase B (% v/v) | Comment |
| 0-2 | 100 | 0 | isocratic |
| 2-7 | 100→60 | 0→40 | linear gradient |
| 7-13 | 60 | 40 | isocratic |
| 13-17 | 60→0 | 40→100 | linear gradient |
| 17-30 | 0 | 100 | isocratic |
| 30-31 | 0→100 | 100→0 | linear gradient |
| 31-34 | 100 | 0 | re-equilibration |
When the chromatograms are recorded under the prescribed conditions the retention times relative to olanzapine (retention time about 15 minutes) are; impurity 2, about 0.13; impurity 3, about 0.34; impurity C, about 0.37; impurity D, about 0.40; impurity B, about 0.6 and impurity 1, about 0.61.
SYSTEM SUITABILITY
The test is not valid unless, in the chromatogram obtained with solution (3), the resolution between the peaks due to impurity B and impurity D is at least 6.0.
LIMITS
Identify any peaks in the chromatogram obtained with solution (1) corresponding to impurities B and D using solution (3) and multiply the areas of these peaks by the corresponding correction factors; impurity B, 0.63, impurity D, 1.52. In the chromatogram obtained with solution (1):
the area of any peak due to impurity B is not greater than 2.5 times the area of the principal peak in the chromatogram obtained with solution (2) (0.5%);
the area of any peak due to impurity D is not greater than 2.5 times the area of the principal peak in the chromatogram obtained with solution (2) (0.5%);
the area of any peak due to impurity 1 is not greater than 2.5 times the area of the principal peak in the chromatogram obtained with solution (2) (0.5%);
the area of any peak due to impurity 3 is not greater than twice the area of the principal peak in the chromatogram obtained with solution (2) (0.4%);
the area of any other secondary peak is not greater than the area of the principal peak in the chromatogram obtained with solution (2) (0.2%);
the sum of the areas of all the secondary peaks is not greater than 7.5 times the area of the principal peak in the chromatogram obtained with solution (2) (1.5%).
Disregard any peak with an area less than half the area of the principal peak in the chromatogram obtained with solution (2) (0.1%).
ASSAY
Weigh and powder 20 tablets. Carry out the method for liquid chromatography, Appendix III D, using the following solutions, protected from light.
(1) Disperse a quantity of powdered tablets containing 25 mg of Olanzapine in 5 mL of water. Add 40 mL of acetonitrile and mix with the aid of ultrasound. Add 40 mL of water and shake for 20 minutes, dilute to 100 mL and filter through a 0.45-μm PTFE filter. Discard the first 2 mL of the filtrate.
(2) 0.025% w/v of olanzapine BPCRS in a mixture of 4 volumes of acetonitrile and 6 volumes of water.
(3) 0.025% w/v of olanzapine for system suitability EPCRS with a mixture of 4 volumes of acetonitrile and 6 volumes of water.
CHROMATOGRAPHIC CONDITIONS
(a) Use a stainless steel column (25 cm × 4.6 mm) packed with end-capped octadecylsilyl silica gel (5 μm) (Inertsil ODS-3 is suitable).
(b) Use isocratic elution and the mobile phase described below.
(c) Use a flow rate of 2.0 mL per minute.
(d) Use an ambient column temperature.
(e) Use a detection wavelength of 250 nm.
(f) Inject 10 μL of each solution.
MOBILE PHASE
25 volumes of a 0.345% w/v solution of sodium dihydrogen orthophosphate monohydrate previously adjusted to pH 6.8 with dilute sodium hydroxide and 75 volumes of a mixture of equal volumes of acetonitrile and methanol.
SYSTEM SUITABILITY
The test is not valid unless, in the chromatogram obtained with solution (3), the resolution between the peaks due to impurity D and olanzapine is at least 8.0.
DETERMINATION OF CONTENT
Calculate the content of C17H20N4S in the tablets using the declared content of C17H20N4S in olanzapine BPCRS.
IMPURITIES
The impurities limited by the requirements of this monograph include those listed under Olanzapine and:

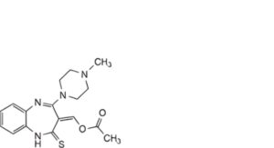
1. [4-(4-methylpiperazin-1-yl)-2-thioxo-2,3-dihydro-1H-1,4-benzodiazopin-3-ylidene]ethen-1-yl acetate; acetoxymethylidene thione;

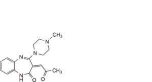
2. 1-[(3Z)-4-(4-methylpiperazin-1-yl)-2-thioxo-2,3-dihydro-1H-1,4-benzodiazopin-3-ylidene]propan-2-one;

3. 4-(4-methylpiperazin-1-yl)-3-(2-oxopropylidene)-1H-1,4-benzodiazopin-2(3H)-one.






