(Ph. Eur. monograph 3047)
C40H36N4O6S,H2O 719 221373-18-8
Action and use
Dopamine D2 receptor antagonist; serotonin 5HT2 receptor antagonist; antipsychotic.
DEFINITION
2-Methyl-4-(4-methylpiperazin-1-yl)-10H-thieno[2,3-b][1,5]benzodiazepine 4,4′-methylenebis(3-hydroxynaphthalene-2-carboxylate) monohydrate.
Content
98.0 per cent to 102.0 per cent (anhydrous substance).
PRODUCTION
It is produced by methods of manufacture designed to guarantee the proper hydrate form and it complies, if tested, with a suitable test that demonstrates its monohydrate nature (e.g. X-ray powder diffraction (2.9.33)).
CHARACTERS
Appearance
Yellow, slightly hygroscopic powder.
Solubility
Practically insoluble in water, freely soluble in dimethyl sulfoxide, very slightly soluble in anhydrous ethanol, practically insoluble in heptane.
IDENTIFICATION
A. Infrared absorption spectrophotometry (2.2.24).
Comparison olanzapine embonate monohydrate CRS.
B. Water (see Tests).
TESTS
Related substances
Liquid chromatography (2.2.29). Prepare the test and reference solutions immediately before use.
Solution A: A 1.15 g/L solution of phosphoric acid R, adjusted to pH 7.0 using a 330 g/L solution of potassium hydroxide R.
Test solution: Dissolve 25.0 mg of the substance to be examined in 5.0 mL of dimethyl sulfoxide R and dilute to 25.0 mL with mobile phase A.
Reference solution (a): Dilute 1.0 mL of the test solution to 100.0 mL with mobile phase A. Dilute 1.0 mL of this solution to 10.0 mL with mobile phase A.
Reference solution (b): Dissolve 5 mg of olanzapine for system suitability CRS (containing impurities B and D) in 1 mL of dimethyl sulfoxide R and dilute to 5 mL with mobile phase A.
Reference solution (c): Dissolve 5 mg of olanzapine embonate for peak identification CRS (containing impurities E and F) in 1 mL of dimethyl sulfoxide R and dilute to 5 mL with mobile phase A.
Column:
— size: l = 0.15 m, Ø = 4.6 mm;
— stationary phase: end-capped extra-dense bonded octadecylsilyl silica gel for chromatography R (3.5 μm);
— temperature: 30 °C.
Mobile phase:
— mobile phase A: methanol R, solution A (40:60 V/V);
— mobile phase B: solution A, methanol R (30:70 V/V);
| Time (min) |
Mobile phase A (per cent V/V) |
Mobile phase B (per cent V/V) |
| 0 – 10 | 100 | 0 |
| 10 – 20 | 100 → 0 | 0 → 100 |
| 20 – 25 | 0 | 100 |
Flow rate: 1.0 mL/min.
Detection: Spectrophotometer at 259 nm.
Autosampler: Set at 5 °C.
Injection: 10 μL.
Identification of impurities: Use the chromatogram supplied with olanzapine for system suitability CRS and the chromatogram obained with reference solution (b) to identify the peaks due to impurities B and D; use the chromatogram supplied with olanzapine for peak identification CRS and the chromatogram obtained with
reference solution (c) to identify the peaks due to embonic acid and impurities E and F.
Relative retention: With reference to olanzapine (retention time = about 18 min): embonic acid = about 0.2; impurity E = about 0.3; impurity F = about 0.4; impurity D = about 0.6; impurity B = about 0.7.
System suitability Reference solution (b):
— resolution: minimum 2.0 between the peaks due to impurities D and B.
Calculation of percentage contents:
— correction factor: multiply the peak area of impurity B by 0.7;
— for each impurity, use the concentration of olanzapine embonate monohydrate in reference solution (a).
Limits:
— impurities B, E, F: for each impurity, maximum 0.3 per cent;
— unspecified impurities: for each impurity, maximum 0.10 per cent;
— total: maximum 0.4 per cent;
— reporting threshold: 0.05 per cent; disregard the peak due to embonic acid.
Water (2.5.32)
2.4 per cent to 4.0 per cent, determined on 50.0 mg using the evaporation technique at 200 °C.
Sulfated ash (2.4.14)
Maximum 0.1 per cent, determined on 1.0 g.
ASSAY
Liquid chromatography (2.2.29).
Solution A A 1.15 g/L solution of phosphoric acid R, adjusted to pH 7.0 using a 330 g/L solution of potassium hydroxide R.
Test solution Dissolve 25.0 mg of the substance to be examined in 10.0 mL of dimethyl sulfoxide R and dilute to 100.0 mL with the mobile phase.
Reference solution Dissolve 20.0 mg of olanzapine CRS in 20.0 mL of dimethyl sulfoxide R and dilute to 200.0 mL with the mobile phase.
Column:
— size: l = 0.15 m, Ø = 4.6 mm;
— stationary phase: end-capped extra-dense bonded octadecylsilyl silica gel for chromatography R (3.5 μm);
— temperature: 40 °C.
Mobile phase: Solution A, methanol R (40:60 V/V).
Flow rate: 1.2 mL/min.
Detection: Spectrophotometer at 259 nm.
Injection: 10 μL.
Run time: 1.3 times the retention time of olanzapine (retention time = about 8 min).
Calculate the percentage content of C40H36N4O6S taking into account the assigned content of C17H20N4S in olanzapine CRS and a conversion factor of 2.243.
STORAGE
In an airtight container.
IMPURITIES
Specified impurities B, E, F.
Other detectable impurities (the following substances would, if present at a sufficient level, be detected by one or other of the tests in the monograph. They are limited by the general acceptance criterion for other/unspecified impurities and/or by the general monograph Substances for pharmaceutical use (2034). It is therefore not necessary to identify these impurities for demonstration of compliance. See also 5.10.
Control of impurities in substances for pharmaceutical use) D.

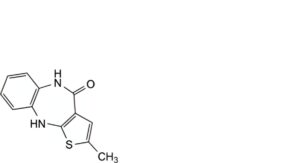
B. 2-methyl-5,10-dihydro-4H-thieno[2,3-b][1,5]benzodiazepin-4-one,

D. 1-methyl-4-(2-methyl-10H-thieno[2,3-b][1,5]benzodiazepine-4-yl)piperazine 1-oxide,

E. 4-[(3-carboxy-2-hydroxynaphthalen-1-yl)methyl]-3-hydroxy-6-methylnaphthalene-2-carboxylic acid,

F. 4-[(3-carboxy-2-hydroxynaphthalen-1-yl)methyl]-3-hydroxy-7-methylnaphthalene-2-carboxylic acid.






