(Ph. Eur. monograph 2414)
C49H66N10O10S2 1019 83150-76-9
Action and use
Somatostatin analogue; treatment of neuroendocrine tumours and acromegaly.
DEFINITION
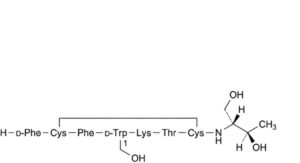
D-Phenylalanyl-L-cysteinyl-L-phenylalanyl-D-tryptophyl-L-lysyl-L-threonyl-L-cysteinyl-L-threoninol cyclic (2→7 disulfide.
Synthetic octapeptide analogue of the natural hormone somatostatin. It is available as an acetate.
Content
95.0 per cent to 103.0 per cent (anhydrous and acetic acid-free substance).
CHARACTERS
Appearance
White or almost white powder, hygroscopic.
Solubility
Freely soluble in water, in acetic acid and in methanol.
IDENTIFICATION
Carry out either tests A, B or tests A, C.
A. Examine the chromatograms obtained in the assay.
Results: The principal peak in the chromatogram obtained with the test solution is similar in retention time and size to the principal peak in the chromatogram obtained with the reference solution.
B. Nuclear magnetic resonance spectrometry (2.2.64).
Preparation: 2 mg/mL solution in a mixture of 10 volumes of deuterated acetic acid R and 90 volumes of deuterium oxide R containing 30 μg/mL of deuterated sodium trimethylsilylpropionate R.
Comparison: 2 mg/mL solution of octreotide for NMR identification CRS in a mixture of 10 volumes of deuterated acetic acid R and 90 volumes of deuterium oxide R containing 30 μg/mL of deuterated sodium
trimethylsilylpropionate R.
Operating conditions:
— field strength: minimum 300 MHz;
— temperature: 25 °C.
Results: Examine the H NMR spectrum from 0 to 8 ppm. The H NMR spectrum obtained is qualitatively similar to the H NMR spectrum obtained with octreotide for NMR identification CRS.
C. Amino acid analysis (2.2.56). Method 1 for hydrolysis and method 1 for analysis are suitable.
Express the content of each amino acid in moles. Calculate the relative proportions of the amino acids taking 1/4 of the sum of the number of moles of phenylalanine, threonine and lysine as equal to 1. The values fall within the following limits: threonine: 0.7 to 1.1; threoninol: 0.7 to 1.2; lysine: 0.9 to 1.3; half-cystine: 1.0 to 2.2; phenylalanine: 1.8 to 2.2. Not more than traces of other amino acids are present.
TESTS
Specific optical rotation (2.2.7)
-18.5 to -14.5 (anhydrous and acetic acid-free substance).
Dissolve the substance to be examined in a 1 per cent V/V solution of glacial acetic acid R to obtain a concentration of 2.0 mg/mL.
Related substances
Liquid chromatography (2.2.29): use the normalisation procedure.
Solvent mixture: Mix 10 volumes of acetonitrile R and 90 volumes of water R, then adjust to pH 3.5 with acetic acid R.
Test solution: Dissolve 10.0 mg of the substance to be examined in the solvent mixture and dilute to 10.0 mL with the solvent mixture.
Reference solution: Dissolve the contents of a vial of octreotide CRS in the solvent mixture to obtain a concentration of 1.0 mg/mL.
Resolution solution: Dissolve the contents of a vial of octreotide impurity mixture CRS (containing impurities F and G) in 1.0 mL of the reference solution.
Column:
— size: l = 0.25 m, Ø = 4.6 mm;
— stationary phase: end-capped octadecylsilyl silica gel for chromatography compatible with 100 per cent aqueous mobile phases R (5 μm);
— temperature: 40 °C.
Mobile phase:
— mobile phase A: dissolve 4.5 g of tetramethylammonium hydroxide R in 800 mL of water for chromatography R and adjust to pH 2.0 with phosphoric acid R; dilute to 900 mL with water for chromatography R and add 100 mL of acetonitrile R1;
— mobile phase B: dissolve 4.5 g of tetramethylammonium hydroxide R in 300 mL of water for chromatography R and adjust to pH 2.0 with phosphoric acid R; dilute to 400 mL with water for chromatography R and add 600 mL of acetonitrile R1;
| Time (min) |
Mobile phase A (per cent V/V) |
Mobile phase B (per cent V/V) |
| 0 – 15 | 90 → 80 | 10 → 20 |
| 15 – 40 | 80 → 55 | 20 → 45 |
| 40 – 45 | 55 → 30 | 45 → 70 |
Flow rate: 1.8 mL/min.
Detection: Spectrophotometer at 210 nm.
Injection: 20 μL.
Identification of impurities: Use the chromatogram supplied with octreotide impurity mixture CRS and the chromatogram obtained with the resolution solution to identify the peaks due to impurities F and G.
Relative retention: With reference to octreotide (retention time = about 20 min): impurity A = about 0.76; impurity B = about 0.89; impurity C = about 0.94; impurity E = about 1.13; impurity F = about 1.30; impurity G = about 1.33; impurity H = about 1.66; impurity I = about 1.88.
System suitability Resolution solution:
— resolution: minimum 2.0 between the peaks due to impurities F and G;
— symmetry factor: maximum 3.5 for the peak due to octreotide.
Limits:
— unspecified impurities: for each impurity, maximum 0.5 per cent;
— total: maximum 2.0 per cent;
— reporting threshold: 0.1 per cent.
Acetic acid (2.5.34)
5.0 per cent to 12.8 per cent.
Test solution: Dissolve 10.0 mg of the substance to be examined in a mixture of 5 volumes of mobile phase B and 95 volumes of mobile phase A and dilute to 10.0 mL with the same mixture of mobile phases.
Water (2.5.32)
Maximum 10.0 per cent, determined on 20.0 mg.
ASSAY
Liquid chromatography (2.2.29) as described in the test for related substances with the following modification.
Injection: Test solution and reference solution.
Calculate the percentage content of octreotide (C49H66N10O10S2) taking into account the assigned content of C49H66N10O10S2 in octreotide CRS.
STORAGE
In an airtight container, protected from light, at a temperature of 2 °C to 8 °C.
LABELLING
The label states the octreotide content (C49H66N10O10S2).
IMPURITIES
Other detectable impurities (the following substances would, if present at a sufficient level, be detected by one or other of the tests in the monograph. They are limited by the general acceptance criterion for
other/unspecified impurities and/or by the general monograph Substances for pharmaceutical use (2034). I is therefore not necessary to identify these impurities for demonstration of compliance. See also 5.10.
Control of impurities in substances for pharmaceutical use) A, B, C, E, F, G, H, I.

A. [6-D-allothreonine]octreotide,

B. [7-D-cysteine]octreotide,

C. N -(hydroxymethyl)octreotide,

E. D-phenylalanyl-S-sulfanyl-L-cysteinyl-L-phenylalanyl-D-tryptophyl-L-lysyl-L-threonyl-L-cysteinyl-L-threoninol cyclic (2 → 7)-trisulfide,

F. O -acetyloctreotide,

G. [2-D-cysteine]octreotide,

H. N -acetyloctreotide,

I. N -acetyloctreotide.






