(Ph. Eur. monograph 1548)
C13H12N2O5S 308.3 51803-78-2
Action and use
Cyclo-oxygenase inhibitor; analgesic; anti-inflammatory.
DEFINITION
N-(4-Nitro-2-phenoxyphenyl)methanesulfonamide.
Content
98.5 per cent to 101.5 per cent (dried substance).
CHARACTERS
Appearance
Yellowish, crystalline powder.
Solubility
Practically insoluble in water, freely soluble in acetone, slightly soluble in anhydrous ethanol.
mp
About 149 °C.
It shows polymorphism (5.9).
IDENTIFICATION
Infrared absorption spectrophotometry (2.2.24).
Comparison: nimesulide CRS.
If the spectra obtained show differences, dissolve the substance to be examined and the reference substance separately in acetone R, evaporate to dryness and record new spectra using the residues.
TESTS
Absorbance (2.2.25)
Maximum 0.50 at 450 nm.
Dissolve 1.0 g in acetone R and dilute to 10.0 mL with the same solvent.
Related substances
Liquid chromatography (2.2.29).
Test solution: Dissolve 20 mg of the substance to be examined in 8 mL of acetonitrile R and dilute to 20.0 mL with water R.
Reference solution (a): Dissolve 5 mg of 2-phenoxyaniline R (impurity C) in 10 mL of acetonitrile R and dilute to 25.0 mL with water R. Dilute 1.0 mL of the solution to 50.0 mL with the mobile phase. Mix 1.0 mL of this solution with the contents of a vial of nimesulide impurity D CRS previously dissolved in 1.0 mL of acetonitrile R.
Reference solution (b): Dilute 1.0 mL of the test solution to 10.0 mL with the mobile phase. Dilute 1.0 mL of this solution to 100.0 mL with the mobile phase.
Reference solution (c): Dissolve 4 mg of nimesulide for peak identification CRS (containing impurities A, B, E and F) in 4.0 mL of acetonitrile R and dilute to 10.0 mL with the mobile phase.
Column:
— size: l = 0.125 m, Ø = 4.0 mm;
— stationary phase: octadecylsilyl silica gel for chromatography R (5 μm).
Mobile phase: Mix 35 volumes of acetonitrile R and 65 volumes of a 1.15 g/L solution of ammonium dihydrogen phosphate R previously adjusted to pH 7.0 with ammonia R.
Flow rate: 1.3 mL/min.
Detection: Spectrophotometer at 230 nm.
Injection: 20 μL.
Run time: 7 times the retention time of nimesulide.
Identification of impurities: Use the chromatogram supplied with nimesulide for peak identification CRS and the chromatogram obtained with reference solution (c) to identify the peaks due to impurities A, B, E and F; use the chromatogram obtained with reference solution (a) to identify the peaks due to impurities C and D.
Relative retention: With reference to nimesulide (retention time = about 5 min): impurity A = about 0.3; impurity B = about 2.4; impurity C = about 3.2; impurity D = about 3.7; impurity E = about 4.2; impurity F = about 6.1.
System suitability: Reference solution (a):
— resolution: minimum 2.0 between the peaks due to impurities C and D.
Limits:
— correction factors: for the calculation of content, multiply the peak areas of the following impurities by the corresponding correction factor: impurity C = 0.7; impurity E = 1.4;
— impurity E: not more than twice the area of the principal peak in the chromatogram obtained with reference solution (b) (0.2 per cent);
— impurities A, B, C, D, F: for each impurity, not more than 1.5 times the area of the principal peak in the chromatogram obtained with reference solution (b) (0.15 per cent);
— unspecified impurities: for each impurity, not more than the area of the principal peak in the chromatogram obtained with reference solution (b) (0.10 per cent);
— total: not more than 5 times the area of the principal peak in the chromatogram obtained with reference solution (b) (0.5 per cent);
— disregard limit: 0.5 times the area of the principal peak in the chromatogram obtained with reference solution (b) (0.05 per cent).
Loss on drying (2.2.32)
Maximum 0.5 per cent, determined on 1.000 g by drying in an oven at 105 °C for 4 h.
Sulfated ash (2.4.14)
Maximum 0.1 per cent, determined on 1.0 g.
ASSAY
Dissolve 0.240 g in 30 mL of previously neutralised acetone R and add 20 mL of water R. Titrate with 0.1 M sodium hydroxide, determining the end-point potentiometrically (2.2.20).
1 mL of 0.1 M sodium hydroxide is equivalent to 30.83 mg of C13H12N2O5S.
IMPURITIES
Specified impurities A, B, C, D, E, F.
Other detectable impurities (the following substances would, if present at a sufficient level, be detected by one or other of the tests in the monograph. They are limited by the general acceptance criterion for other/unspecified impurities and/or by the general monograph Substances for pharmaceutical use (2034). It is therefore not necessary to identify these impurities for demonstration of compliance. See also 5.10. Control of impurities in substances for pharmaceutical use) G.

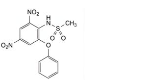
A. N-(2,4-dinitro-6-phenoxyphenyl)methanesulfonamide,

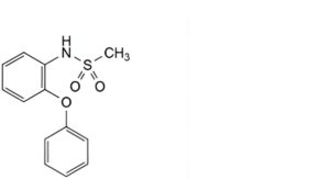
B. N-(2-phenoxyphenyl)methanesulfonamide,

C. 2-phenoxyaniline,

D. 4-nitro-2-phenoxyaniline,

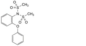
E. N,N-bis(methylsulfonyl)-2-phenoxyaniline,

F. N,N-bis(methylsulfonyl)-4-nitro-2-phenoxyaniline,

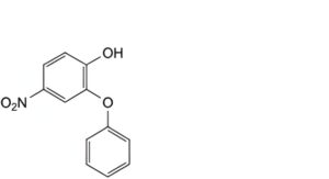
G. 4-nitro-2-phenoxyphenol.






