(Ph. Eur. monograph 1452)
C10H14N2 162.2 54-11-5
Action and use
Aid to smoking cessation.
Preparations
Nicotine Inhalation Cartridges
Nicotine Nasal Spray
Nicotine Sublingual Tablets
Nicotine Transdermal Patches
DEFINITION
3-[(2S)-1-Methylpyrrolidin-2-yl]pyridine.
Content
99.0 per cent to 101.0 per cent (anhydrous substance).
CHARACTERS
Appearance
Colourless or brownish viscous liquid, volatile, hygroscopic.
Solubility
Soluble in water, miscible with anhydrous ethanol.
IDENTIFICATION
A. Specific optical rotation (see Tests).
B. Infrared absorption spectrophotometry (2.2.24).
Comparison: Ph. Eur. reference spectrum of nicotine.
TESTS
Appearance of solution
Dissolve 1.0 g in water R and dilute to 10 mL with the same solvent. The solution is clear (2.2.1) and not more intensely coloured than reference solution Y5, BY5 or R5
(2.2.2, Method II).
Specific optical rotation (2.2.7)
-140 to -152.
Dissolve 1.00 g in anhydrous ethanol R and dilute to 50.0 mL with the same solvent.
Related substances
Liquid chromatography (2.2.29). Prepare the solutions immediately before use.
Test solution: Dissolve 20.0 mg of the substance to be examined in water R and dilute to 25.0 mL with the same solvent.
Reference solution (a): Dissolve the contents of a vial of nicotine for system suitability CRS (containing impurities A, B, C, D, E, F and G) in 1.0 mL of water R.
Reference solution (b): Dilute 1.0 mL of the test solution to 10.0 mL with water R. Dilute 1.0 mL of this solution to 100.0 mL with water R.
Column:
— size: l = 0.15 m, Ø = 4.6 mm;
— stationary phase: end-capped polar-embedded octadecylsilyl amorphous organosilica polymer R (5 μm).
Mobile phase:
— mobile phase A: to 900 mL of water R, add 25 mL of a 60 g/L solution of acetic acid R, then add 6 mL of concentrated ammonia R1. Adjust to pH 10.0 with dilute ammonia R2 or dilute acetic acid R and dilute to 1000 mL with water R;
— mobile phase B: acetonitrile R;
| Time (min) |
Mobile phase A (per cent V/V) |
Mobile phase B (per cent V/V) |
| 0 – 3 | 100 | 0 |
| 3 – 3.01 | 100 → 95 | 0 → 5 |
| 3.01 – 28 | 95 → 74 | 5 → 26 |
| 28 – 32 | 74 → 60 | 26 → 40 |
Flow rate: 1.0 mL/min.
Detection: Spectrophotometer at 254 nm.
Injection: 20 μL.
Identification of impurities: Use the chromatogram supplied with nicotine for system suitability CRS and the chromatogram obtained with reference solution (a) to identify the peaks due to impurities A, B, C, D, E, F and G.
Relative retention: With reference to nicotine (retention time = about 17.8 min): impurity E = about 0.3; impurity C = about 0.55; impurity F = about 0.7; impurity A = about 0.8; impurity D = about 0.86; impurity G = about 0.9; impurity B = about 1.6.
System suitability Reference solution (a):
— resolution: minimum 2.5 between the peaks due to impurity G and nicotine.
Limits:
— impurities A, B, C, D, E, F, G: for each impurity, not more than 3 times the area of the principal peak in the chromatogram obtained with reference solution (b) (0.3 per cent);
— unspecified impurities: for each impurity, not more than the area of the principal peak in the chromatogram obtained with reference solution (b) (0.10 per cent);
— total: not more than 8 times the area of the principal peak in the chromatogram obtained with reference solution (b) (0.8 per cent);
— disregard limit: 0.5 times the area of the principal peak in the chromatogram obtained with reference solution (b) (0.05 per cent).
Water (2.5.12)
Maximum 0.5 per cent, determined on 1.00 g.
ASSAY
Dissolve 60.0 mg in 30 mL of anhydrous acetic acid R. Titrate with 0.1 M perchloric acid determining the end-point potentiometrically (2.2.20).
1 mL of 0.1 M perchloric acid is equivalent to 8.11 mg of C10H14N2.
STORAGE
Under nitrogen, in an airtight container, protected from light.
IMPURITIES
Specified impurities A, B, C, D, E, F, G.

A. (2S)-1,2,3,6-tetrahydro-2,3′-bipyridyl (anatabine),

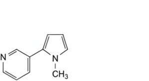
B. 3-(1-methyl-1H-pyrrol-2-yl)pyridine (β-nicotyrine),

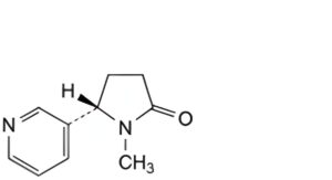
C. (5S)-1-methyl-5-(pyridin-3-yl)pyrrolidin-2-one (cotinine),

D. 3-(4,5-dihydro-3H-pyrrol-2-yl)pyridine (myosmine),

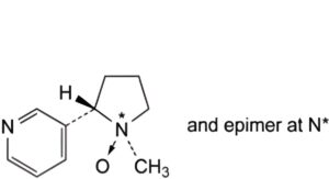
E. (1RS,2S)-1-methyl-2-(pyridin-3-yl)pyrrolidine 1-oxide (nicotine N′-oxide),

F. 3-[(2S)-pyrrolidin-2-yl]pyridine (nornicotine),

G. 3-[(2S)-piperidin-2-yl]pyridine (anabasine).






