Edition: BP 2025 (Ph. Eur. 11.6 update)
Action and use
Ergot derivative.
Ph Eur
DEFINITION
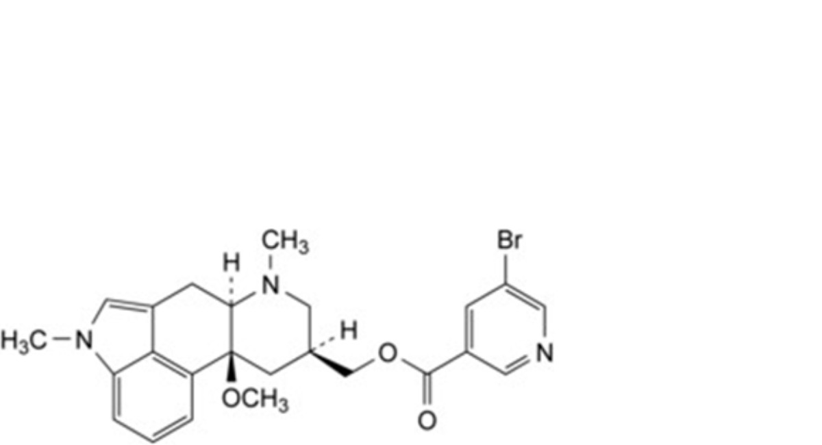
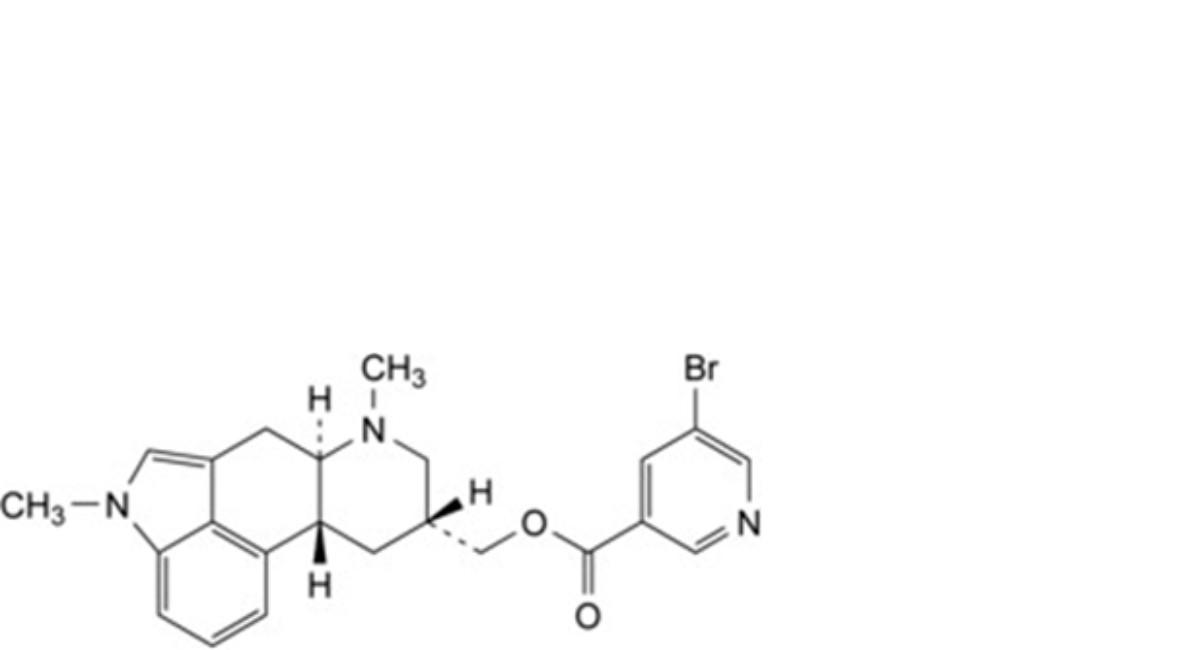
[(6aR,9R,10aS)-10a-Methoxy-4,7-dimethyl-4,6,6a,7,8,9,10,10a-octahydroindolo[4,3-fg]quinolin-9-yl]methyl 5-bromopyridine-3-carboxylate.Content
99.0 per cent to 101.0 per cent (anhydrous substance).
CHARACTERS
Appearance
Fine to granular, white or yellowish powder.
Solubility
Practically insoluble in water, freely soluble in methylene chloride, soluble in ethanol (96 per cent).
It shows polymorphism (5.9).
IDENTIFICATION
First identification: A, C.
Second identification: A, B, D.
A. Specific optical rotation (2.2.7): + 4.8 to + 5.8 (anhydrous substance).
Dissolve 0.50 g in ethanol (96 per cent) R and dilute to 10.0 mL with the same solvent.
B. Ultraviolet and visible absorption spectrophotometry (2.2.25).
Test solution Dissolve 50.0 mg in ethanol (96 per cent) R and dilute to 100.0 mL with the same solvent. Dilute 5.0 mL of the solution to 50.0 mL with ethanol (96 per cent) R.
Spectral range 220-350 nm. Absorption maximum At 288 nm. Absorption minimum At 251 nm.
Specific absorbance at the absorption maximum 175 to 185 (anhydrous substance).
C. Infrared absorption spectrophotometry (2.2.24).
Comparison nicergoline CRS.
If the spectra obtained show differences, dissolve the substance to be examined and the reference substance separately in ethanol (96 per cent) R, evaporate to dryness and record new spectra using the residues.
D. Dissolve 2 mg in 2 mL of sulfuric acid R. A blue colour develops.
TESTS
Appearance of solution
The solution is not more opalescent than reference suspension II (2.2.1) and not more intensely coloured than intensity 5 of the range of reference solutions of the most appropriate colour (2.2.2, Method II).
Dissolve 0.5 g in ethanol (96 per cent) R and dilute to 10 mL with the same solvent.
Related substances
Liquid chromatography (2.2.29).
Test solution Dissolve 50.0 mg of the substance to be examined in acetonitrile R and dilute to 50.0 mL with the same solvent.
Reference solution (a) Dilute 1.0 mL of the test solution to 100.0 mL with acetonitrile R. Dilute 2.0 mL of this solution to 10.0 mL with acetonitrile R.
Reference solution (b) Dissolve 2 mg of nicergoline for system suitability CRS (containing impurities A, B, C, D, F and H) in acetonitrile R and dilute to 2 mL with the same solvent.
Reference solution (c) Dissolve 5.0 mg of nicergoline impurity D CRS in acetonitrile R and dilute to 100.0 mL with the same solvent. Dilute 2.0 mL of the solution to 50.0 mL with acetonitrile R.
Reference solution (d) Dissolve the contents of a vial of nicergoline for peak identification CRS (containing impurity I) in 1 mL of acetonitrile R.
Column:
— size: l = 0.15 m, Ø = 4.6 mm;
— stationary phase: end-capped ethylene-bridged octadecylsilyl silica gel for chromatography (hybrid material) R (3.5 µm);
— temperature: 40 °C.
Mobile phase:
— solution A: dissolve 34.02 g of potassium dihydrogen phosphate R in 930 mL of water for chromatography R and dilute to 1000 mL with water for chromatography R (buffer solution); dissolve
21.21 g of tetrabutylammonium hydrogen sulfate R in 225 mL of the buffer solution and dilute to 250.0 mL with the same solution; adjust to pH 7.5 with a 300 g/L solution of potassium hydroxide R;
— mobile phase A: mix 2.0 mL of solution A with 300 mL of acetonitrile R and 700 mL of water for chromatography R;
— mobile phase B: mix 2.0 mL of solution A with 300 mL of water for chromatography R and 700 mL of acetonitrile R;
| Time (min) | Mobile phase A (per cent V/V) | Mobile phase B (per cent V/V) |
| 0 – 3 | 100 | 0 |
| 3 – 30 | 100 → 70 | 0 → 30 |
| 30 – 40 | 70 → 0 | 30 → 100 |
| 40 – 50 | 0 | 100 |
Flow rate 1.2 mL/min.
Detection Spectrophotometer at 288 nm.
Injection 10 µL.
Identification of impurities Use the chromatogram supplied with nicergoline for system suitability CRS and the chromatogram obtained with reference solution (b) to identify the peaks due to impurities A, B, C, F and H; use the chromatogram obtained with reference solution (c) to identify the peak due to impurity D; use the chromatogram obtained with reference solution (d) to identify the peak due to impurity I.
Relative retention With reference to nicergoline (retention time = about 34 min): impurity D = about 0.06; impurity C = about 0.1; impurity B = about 0.6; impurity H = about 0.8; impurity A = about 0.96; impurity F = about 1.1; impurity I = about 1.2.
System suitability Reference solution (b):
— resolution: minimum 2.0 between the peaks due to impurity A and nicergoline.
Calculation of percentage contents:
— for impurity D, use the concentration of impurity D in reference solution (c);
— for impurities other than D, use the concentration of nicergoline in reference solution (a).
Limits:
— impurity B: maximum 0.8 per cent;
— impurity A: maximum 0.5 per cent;
— impurity H: maximum 0.3 per cent;
— impurities C, D, F, I: for each impurity, maximum 0.2 per cent;
— unspecified impurities: for each impurity, maximum 0.10 per cent;
— total: maximum 1.2 per cent;
— reporting threshold: 0.05 per cent.
Water (2.5.32)
Maximum 0.5 per cent, determined on 0.100 g.
Sulfated ash (2.4.14)
Maximum 0.1 per cent, determined on 1.0 g.
ASSAY
Dissolve 0.400 g in 50 mL of acetone R. Titrate with 0.1 M perchloric acid, determining the end-point potentiometrically (2.2.20). Titrate to the 1st point of inflexion.
1 mL of 0.1 M perchloric acid is equivalent to 48.44 mg of C24H26BrN3O3.
IMPURITIES
Specified impurities A, B, C, D, F, H, I.
Other detectable impurities (the following substances would, if present at a sufficient level, be detected by one or other of the tests in the monograph. They are limited by the general acceptance criterion for other/unspecified impurities and/or by the general monograph Substances for pharmaceutical use (2034). It is therefore not necessary to identify these impurities for demonstration of compliance. See also 5.10.
Control of impurities in substances for pharmaceutical use) E, G, J.

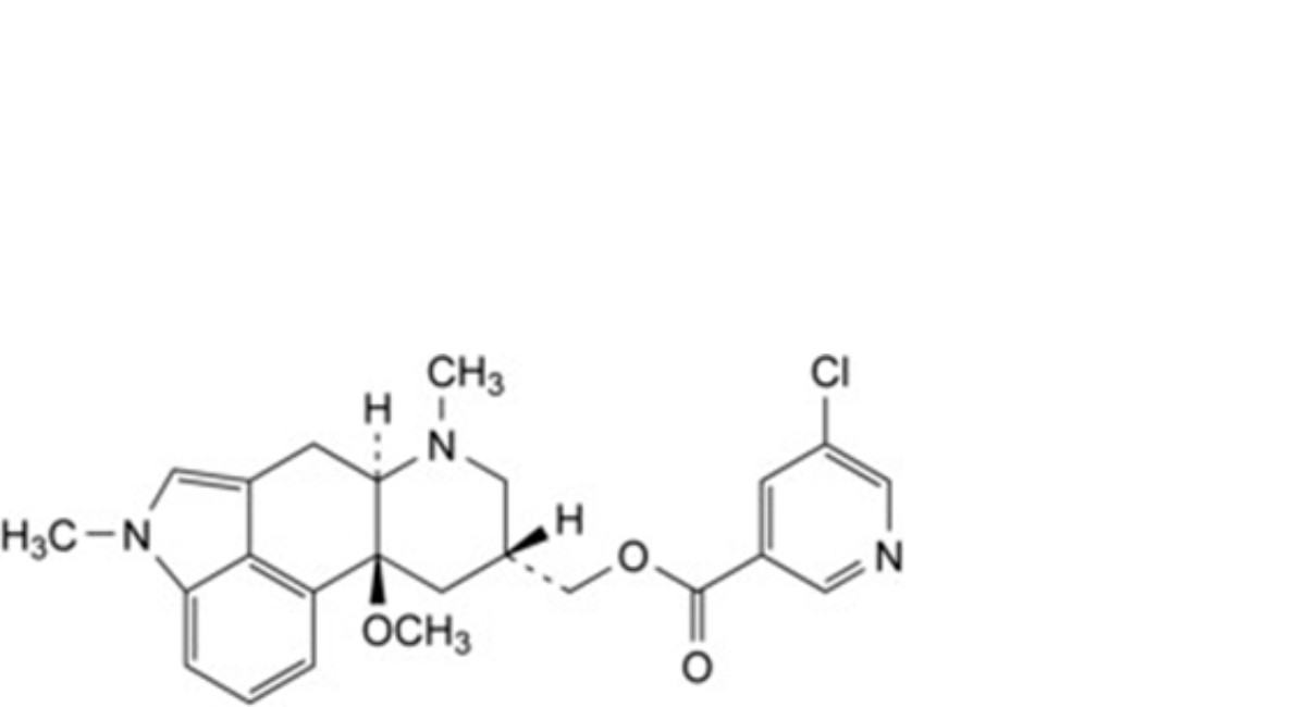
A. [(6aR,9R,10aS)-10a-methoxy-4,7-dimethyl-4,6,6a,7,8,9,10,10a-octahydroindolo[4,3-fg]quinolin-9- yl]methyl 5-chloropyridine-3-carboxylate (chloronicergoline),

B. [(6aR,9R,10aS)-10a-methoxy-7-methyl-4,6,6a,7,8,9,10,10a-octahydroindolo[4,3-fg]quinolin-9-yl]methyl 5-bromopyridine-3-carboxylate (1-desmethylnicergoline),

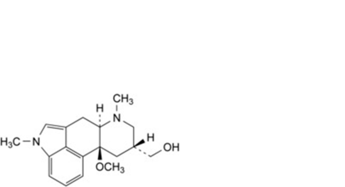
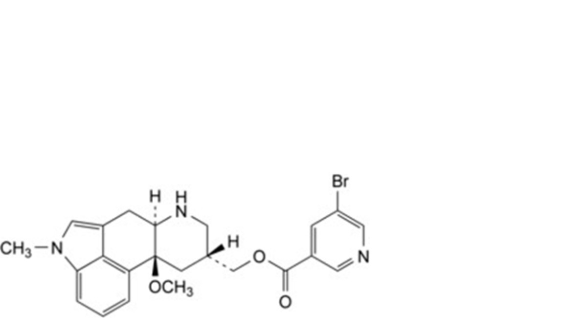
C. [(6aR,9R,10aS)-10a-methoxy-4,7-dimethyl-4,6,6a,7,8,9,10,10a-octahydroindolo[4,3-fg]quinolin-9- yl]methanol,

D. 5-bromopyridine-3-carboxylic acid,

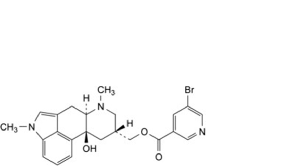
E. [(6aR,9R,10aS)-10a-hydroxy-4,7-dimethyl-4,6,6a,7,8,9,10,10a-octahydroindolo[4,3-fg]quinolin-9- yl]methyl 5-bromopyridine-3-carboxylate,

F. [(6aR,9S,10aS)-10a-methoxy-4,7-dimethyl-4,6,6a,7,8,9,10,10a-octahydroindolo[4,3-fg]quinolin-9- yl]methyl 5-bromopyridine-3-carboxylate (isonicergoline),

G. [(6aR,9R,10aR)-4,7-dimethyl-4,6,6a,7,8,9,10,10a-octahydroindolo[4,3-fg]quinolin-9-yl]methyl 5- bromopyridine-3-carboxylate,

H. [(6aR,9R,10aS)-10a-methoxy-4-methyl-4,6,6a,7,8,9,10,10a-octahydroindolo[4,3-fg]quinolin-9-yl]methyl 5-bromopyridine-3-carboxylate (6-desmethylnicergoline),

I. [(6aR,6a′R,9R,9′R,10aS,10a′S)-9′-[[[(5-bromopyridin-3-yl)carbonyl]oxy]methyl]-10a,10a′-dimethoxy-7,7′- dimethyl-4′,6′,6a,6a′,7,7′,8,8′,9,9′,10,10′,10a,10a′-tetradecahydro-6H-4,5′-biindolo[4,3-fg]quinoline-9-yl]methyl 5-bromopyridine-3-carboxylate,

J. [(6aR,6a′R,9R,9′R,10aS,10a′S)-9′-[[[(5-bromopyridin-3-yl)carbonyl]oxy]methyl]-10a,10a′-dimethoxy- 4′,7,7′-trimethyl-4′,6′,6a,6a′,7,7′,8,8′,9,9′,10,10′,10a,10a′-tetradecahydro-6H-4,5′-biindolo[4,3-fg]quinoline-9- yl]methyl 5-bromopyridine-3-carboxylate.
Ph Eur





