Edition: BP 2025 (Ph. Eur. 11.6 update)
Action and use
Beta-adrenoceptor antagonist.
Preparation
Nadolol Oral Suspension Ph Eur
DEFINITION
cis-5-[(2RS)-3-[(1,1-Dimethylethyl)amino]-2-hydroxypropoxy]-1,2,3,4-tetrahydronaphthalene-2,3-diol.
It consists of 2 pairs of enantiomers that are present as 2 racemic compounds: racemate A and racemate B.
Content
98.5 per cent to 101.0 per cent (dried substance).
CHARACTERS
Appearance
White or almost white, crystalline powder.
Solubility
Slightly soluble in water, freely soluble in ethanol (96 per cent), practically insoluble in acetone.
IDENTIFICATION
Infrared absorption spectrophotometry (2.2.24).
Comparison nadolol CRS.
TESTS
Racemate content
Infrared absorption spectrophotometry (2.2.24).
Prepare a mull in liquid paraffin R of the substance to be examined (dried substance), adjusting the thickness of the mull to give an absorbance reading of 0.6 ± 0.1 at 1587 cm-1. Record the spectrum from 1667 to 1111 cm-1, using liquid paraffin R as reference. Measure the absorbance A , corresponding to racemate A, at the maximum at 1266 cm-1 and the absorbance A , corresponding to racemate B, at the maximum at 1250 cm-1. The ratio A /A is 0.72 to 1.08 (corresponding to racemate A content of between 40 per cent and 60 per cent).
Related substances
Liquid chromatography (2.2.29). Prepare the solutions immediately before use. Solvent mixture acetonitrile R1, water R (20:80 V/V).
Test solution Dissolve 0.100 g of the substance to be examined in 4.0 mL of the solvent mixture and dilute to 100.0 mL with the solvent mixture.
Reference solution (a) Dilute 1.0 mL of the test solution to 50.0 mL with the solvent mixture. Dilute 5.0 mL of this solution to 100.0 mL with the solvent mixture.
Reference solution (b) Dissolve the contents of a vial of nadolol impurity mixture CRS (impurities A and D) in 1.0 mL of reference solution (a).
Column:
— size: l = 0.25 m, Ø = 4.0 mm;
— stationary phase: end-capped octadecylsilyl silica gel for chromatography R (5 µm);
— temperature: 40 °C.
Mobile phase:
— mobile phase A: 5.6 g/L solution of sodium octanesulfonate R adjusted to pH 3.5 with a 300 g/L solution of phosphoric acid R;
— mobile phase B: acetonitrile R1;
| Time (min) | Mobile phase A (per cent V/V) | Mobile phase B (per cent V/V) |
| 0 – 7 | 77 | 23 |
| 7 – 30 | 77 → 65 | 23 → 35 |
| 30 – 35 | 65 → 55 | 35 → 45 |
| 35 – 55 | 55 | 45 |
Flow rate 1 mL/min.
Detection Spectrophotometer at 206 nm.
Injection 20 µL.
Identification of impurities Use the chromatogram supplied with nadolol impurity mixture CRS and the chromatogram obtained with reference solution (b) to identify the peaks due to impurities A and D.
Relative retention With reference to nadolol (retention time = about 15 min): impurity A = about 0.2; impurity C (doublet) = about 0.47 and 0.53; impurity D = about 1.5.
System suitability Reference solution (b):
— resolution: minimum 8.0 between the peaks due to nadolol and impurity D.
Limits:
— correction factor: for the calculation of content, multiply the sum of the 2 peak areas of impurity C by 0.7;
— impurities A, C, D: for each impurity, not more than twice the area of the principal peak in the chromatogram obtained with reference solution (a) (0.2 per cent);
— unspecified impurities: for each impurity, not more than the area of the principal peak in the chromatogram obtained with reference solution (a) (0.10 per cent);
— total: not more than 5 times the area of the principal peak in the chromatogram obtained with reference solution (a) (0.5 per cent);
— disregard limit: 0.5 times the area of the principal peak in the chromatogram obtained with reference solution (a) (0.05 per cent).
Loss on drying (2.2.32)
Maximum 2.0 per cent, determined on 1.000 g by drying in vacuo at 60 °C for 3 h.
Sulfated ash (2.4.14)
Maximum 0.1 per cent, determined on 1.0 g.
ASSAY
Dissolve 0.250 g in 100 mL of anhydrous acetic acid R. Titrate with 0.1 M perchloric acid, determining the end-point potentiometrically (2.2.20).
l mL of 0.1 M perchloric acid is equivalent to 30.94 mg of C17H27NO4.
IMPURITIES
Specified impurities A, C, D.
Other detectable impurities (the following substances would, if present at a sufficient level, be detected by one or other of the tests in the monograph. They are limited by the general acceptance criterion for other/unspecified impurities and/or by the general monograph Substances for pharmaceutical use (2034). It is therefore not necessary to identify these impurities for demonstration of compliance. See also 5.10.
Control of impurities in substances for pharmaceutical use) B, E, F, G.

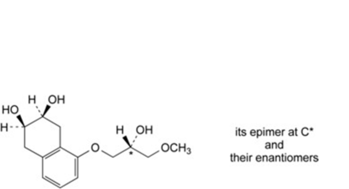
A. cis-5-[(2RS)-2,3-dihydroxypropoxy]-1,2,3,4-tetrahydronaphthalene-2,3-diol (tetraol),

B. cis-5-[(2RS)-2-hydroxy-3-methoxypropoxy]-1,2,3,4-tetrahydronaphthalene-2,3-diol,

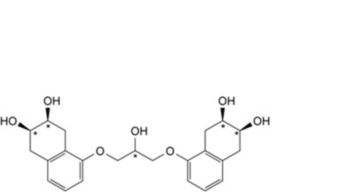
C. 5,5′-[(2rs)-2-hydroxypropane-1,3-diylbis(oxy)]bis(cis-1,2,3,4-tetrahydronaphthalene-2,3-diol) (3 diastereoisomers),

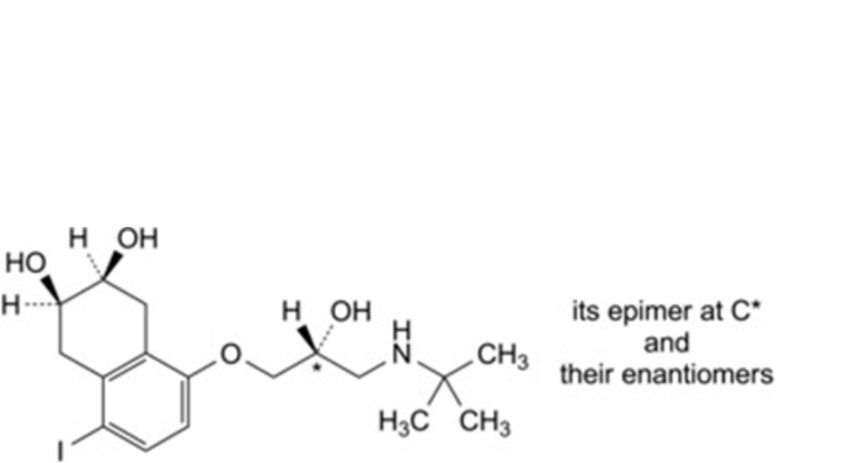
D. 5,5′-[[(1,1-dimethylethyl)imino]bis[(2-hydroxypropane-1,3-diyl)oxy]]bis(cis-1,2,3,4- tetrahydronaphthalene-2,3-diol) (10 stereoisomers),

E. cis-5-[(2RS)-3-[(1,1-dimethylethyl)amino]-2-hydroxypropoxy]-8-iodo-1,2,3,4-tetrahydronaphthalene-2,3- diol,

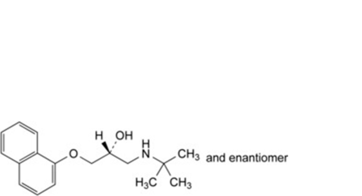
F. (2RS)-1-[(1,1-dimethylethyl)amino]-3-(naphthalen-1-yloxy)propan-2-ol,

G. (2RS)-1-[(1,1-dimethylethyl)amino]-3-[(5,6,7,8-tetrahydronaphthalen-1-yl)oxy]propan-2-ol.
Ph Eur






