Edition: BP 2025 (Ph. Eur. 11.6 update)
Action and use
Cyclo-oxygenase inhibitor; analgesic; anti-inflammatory.
Preparations
Nabumetone Oral Suspension Nabumetone Tablets
Ph Eur
DEFINITION
4-(6-Methoxynaphthalen-2-yl)butan-2-one.
Content
97.0 per cent to 102.0 per cent (anhydrous substance).
CHARACTERS
Appearance
White or almost white, crystalline powder.
Solubility
Practically insoluble in water, freely soluble in acetone, slightly soluble in methanol.
IDENTIFICATION
Infrared absorption spectrophotometry (2.2.24).
Comparison nabumetone CRS.
TESTS
Related substances
Liquid chromatography (2.2.29).
Test solution (a) Dissolve 50.0 mg of the substance to be examined in acetonitrile R and dilute to 10.0 mL with the same solvent.
Test solution (b) Dilute 1.0 mL of test solution (a) to 25.0 mL with acetonitrile R. Dilute 1.0 mL of this solution to 5.0 mL with acetonitrile R.
Reference solution (a) Dissolve 20.0 mg of nabumetone CRS in acetonitrile R and dilute to 10.0 mL with the same solvent. Dilute 1.0 mL of this solution to 50.0 mL with acetonitrile R.
Reference solution (b) Dilute 0.5 mL of test solution (a) to 100.0 mL with acetonitrile R.
Reference solution (c) Dissolve 1.5 mg of nabumetone impurity F CRS in acetonitrile R and dilute to 100.0 mL with the same solvent.
Reference solution (d) Dissolve 4 mg of nabumetone impurity D CRS in acetonitrile R and dilute to 100 mL with the same solvent. To 5 mL of this solution, add 5 mL of test solution (b).
Column:
— size: l = 0.15 m, Ø = 4.6 mm;
— stationary phase: base-deactivated octadecylsilyl silica gel for chromatography R (4 µm);
— temperature: 40 °C.
Mobile phase:
— mobile phase A: mix 12 volumes of tetrahydrofuran R, 28 volumes of acetonitrile for chromatography R and 60 volumes of a 0.1 per cent V/V solution of glacial acetic acid R in carbon dioxide-free water R prepared from distilled water R;
— mobile phase B: mix 24 volumes of tetrahydrofuran R, 56 volumes of acetonitrile for chromatography R and 20 volumes of a 0.1 per cent V/V solution of glacial acetic acid R in carbon dioxide-free water R prepared from distilled water R;
| Time (min) | Mobile phase A (per cent V/V) | Mobile phase B (per cent V/V) |
| 0 – 12 | 100 | 0 |
| 12 – 28 | 100 → 0 | 0 → 100 |
| 28 – 33 | 0 | 100 |
Flow rate 1 mL/min.
Detection Spectrophotometer at 254 nm.
Injection 20 µL of test solution (a) and reference solutions (b), (c) and (d).
Retention time Nabumetone = about 11 min.
System suitability Reference solution (d):
— resolution: minimum 1.5 between the peaks due to nabumetone and impurity D.
Limits:
— impurity F: not more than the area of the principal peak in the chromatogram obtained with reference solution (c) (0.3 per cent);
— unspecified impurities: for each impurity, not more than 0.2 times the area of the principal peak in the chromatogram obtained with reference solution (b) (0.10 per cent);
— sum of impurities other than F: not more than the area of the principal peak in the chromatogram obtained with reference solution (b) (0.5 per cent);
— disregard limit: 0.1 times the area of the principal peak in the chromatogram obtained with reference solution (b) (0.05 per cent).
Water (2.5.12)
Maximum 0.2 per cent, determined on 1.000 g.
Sulfated ash (2.4.14)
Maximum 0.1 per cent, determined on 1.0 g.
ASSAY
Liquid chromatography (2.2.29) as described in the test for related substances with the following modifications.
Injection Test solution (b) and reference solution (a).
System suitability Reference solution (a):
— repeatability: maximum relative standard deviation of 1.0 per cent after 6 injections.
Calculate the percentage content of C15H16O2 from the declared content of nabumetone CRS.
STORAGE
Protected from light.
IMPURITIES
Specified impurities F.
Other detectable impurities (the following substances would, if present at a sufficient level, be detected by one or other of the tests in the monograph. They are limited by the general acceptance criterion for other/unspecified impurities and/or by the general monograph Substances for pharmaceutical use (2034). It is therefore not necessary to identify these impurities for demonstration of compliance. See also 5.10.
Control of impurities in substances for pharmaceutical use) A, B, C, D, E.

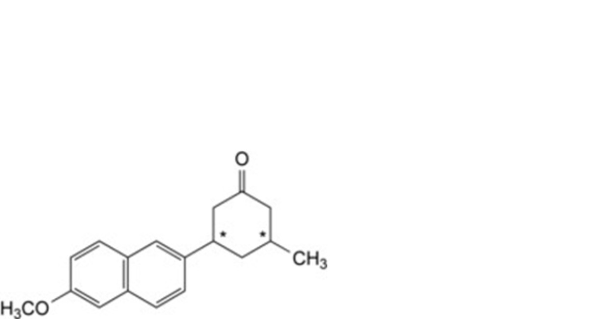
A. 3-(6-methoxynaphthalen-2-yl)-5-methylcyclohexanone,

B. (5RS)-5-(6-methoxynaphthalen-2-yl)-3-methylcyclohex-2-enone,

C. (2RS)-4-(6-methoxynaphthalen-2-yl)butan-2-ol,

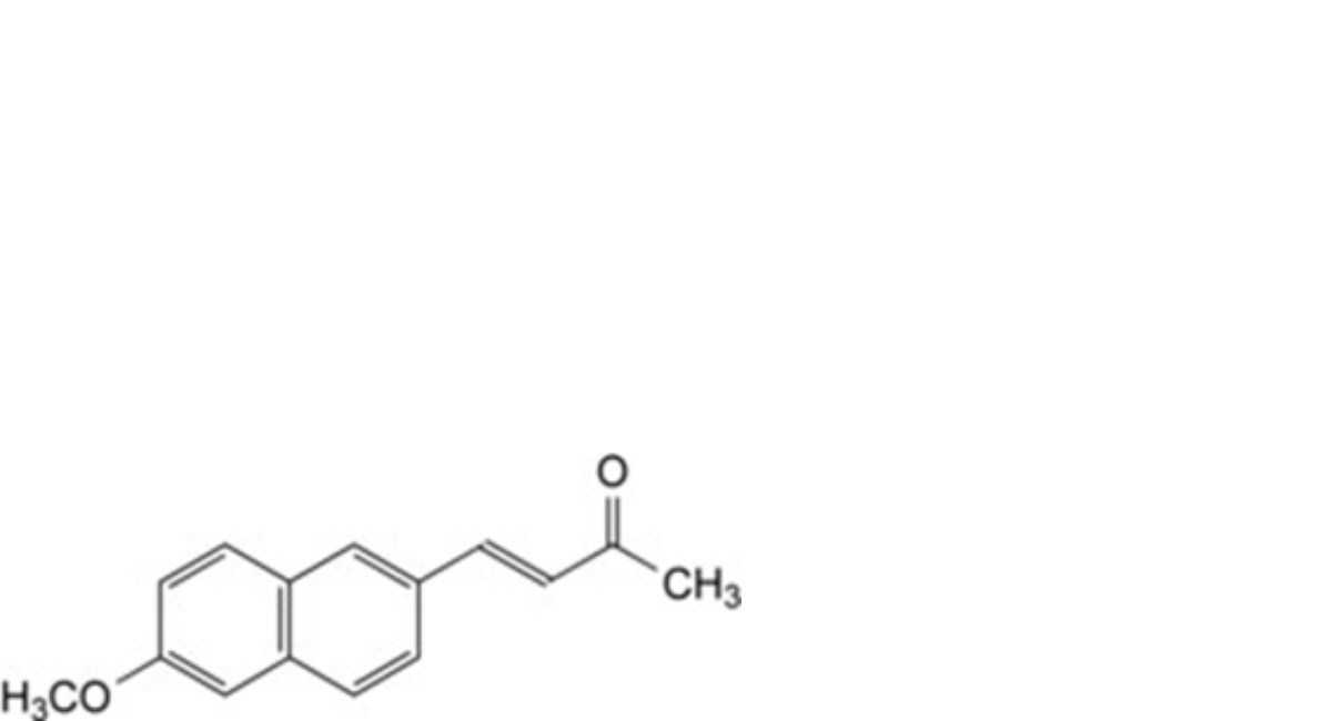
D. (E)-4-(6-methoxynaphthalen-2-yl)but-3-en-2-one,

E. 1,5-bis(6-methoxynaphthalen-2-yl)pentan-3-one,

F. 6,6′-dimethoxy-2,2′-binaphthalenyl.
Ph Eur





