(Moxidectin for Veterinary Use, Ph. Eur. monograph 1656)
C37H53NO8 640 113507-06-5
Action and use
Antihelminthic; ectoparasiticide.
Preparations
Moxidectin Injection
Moxidectin Oral Solution
Moxidectin Oromucosal Gel
Moxidectin Pour-on
DEFINITION
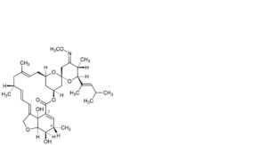
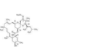
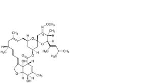
(13a S,14 R,17a R,1 R,2′R,4′E,42 R,44 S,5′S,6E,6′S,9R,10E,12E)-13a ,17 -Dihydroxy-4′-(methoxyimino)-16 ,5′,7,9-tetramethyl-6′-[(2E)-4-methylpent-2-en-1-yl]-13a ,14 ,17 ,17a -tetrahydro-12 H-3-oxa-1(4,3)-[1]benzofurana-4(4,2)- oxanaspiro[cyclododecaphane-6,10,12(13 )-trien-46 ,2′-oxan]-2-one ((6R,23E,25S)-5-O-demethyl-28-deoxy-6,28-epoxy-23-(methoxyimino)-25-[(2E)-4-methylpent-2-en-1-yl]milbemycin B).
Semi-synthetic product derived from a fermentation product.
It may contain suitable stabilisers such as antioxidants.
Content
92.0 per cent to 102.0 per cent (anhydrous substance).
CHARACTERS
Appearance
White or pale yellow, amorphous powder.
Solubility
Practically insoluble in water, very soluble in ethanol (96 per cent), slightly soluble in hexane.
IDENTIFICATION
Infrared absorption spectrophotometry (2.2.24).
Comparison: moxidectin CRS.
TESTS
Appearance of solution
The solution is clear (2.2.1) and not more intensely coloured than reference solution GY5 (2.2.2, Method II).
Dissolve 0.40 g in benzyl alcohol R and dilute to 20 mL with the same solvent.
Related substances
Liquid chromatography (2.2.29).
A. Test solution. Dissolve 25.0 mg of the substance to be examined in acetonitrile R and dilute to 25.0 mL with the same solvent.
Reference solution (a): Dilute 1.0 mL of the test solution to 100.0 mL with acetonitrile R.
Reference solution (b): Dissolve 5 mg of moxidectin for system suitability CRS (containing impurities A, B, C, D, E, F, G, H, I, J and K) in 5 mL of acetonitrile R.
Reference solution (c): Dissolve 25.0 mg of moxidectin CRS in acetonitrile R and dilute to 25.0 mL with the same solvent.
Column:
— size: l = 0.15 m, Ø = 3.9 mm;
— stationary phase: end-capped octadecylsilyl silica gel for chromatography R (4 μm);
— temperature: 50 °C.
Mobile phase: Dissolve 7.7 g of ammonium acetate R in 400 mL of water for chromatography R, adjust to pH 4.8 with glacial acetic acid R and add 600 mL of acetonitrile for chromatography R.
Flow rate: 2.5 mL/min.
Detection: Spectrophotometer at 242 nm.
Injection: 10 μL of the test solution and reference solutions (a) and (b).
Run time: 2 times the retention time of moxidectin.
Identification of impurities: Use the chromatogram supplied with moxidectin for system suitability CRS and the chromatogram obtained with reference solution (b) to identify the peaks due to impurities A, B, C, D, E + F and G.
Relative retention: With reference to moxidectin (retention time = about 12 min): impurity A = about 0.5; impurity B = about 0.7; impurity C = about 0.75; impurity D = about 0.94; impurities E and F = about 1.3-1.5; impurity G = about 1.6.
System suitability: Reference solution (b):
— peak-to-valley ratio: minimum 3.0, where Hp = height above the baseline of the peak due to impurity D and Hv = height above the baseline of the lowest point of the curve separating this peak from the peak due to moxidectin.
Limits:
— impurity D: not more than 2.5 times the area of the principal peak in the chromatogram obtained with reference solution (a) (2.5 per cent);
— sum of impurities E and F: not more than 1.7 times the area of the principal peak in the chromatogram obtained with reference solution (a) (1.7 per cent);
— impurities A, C, G: for each impurity, not more than 1.5 times the area of the principal peak in the chromatogram obtained with reference solution (a) (1.5 per cent);
— impurity B: not more than 0.5 times the area of the principal peak in the chromatogram obtained with reference solution (a) (0.5 per cent);
— any other impurity eluting before impurity G: for each impurity, not more than 0.5 times the area of the principal peak in the chromatogram obtained with reference solution (a) (0.5 per cent);
— disregard limit: 0.1 times the area of the principal peak in the chromatogram obtained with reference solution (a) (0.1 per cent); disregard the peak due to the stabiliser (identify this peak, where applicable, by injecting a suitable
reference solution).
B. Test solution. Dissolve 75.0 mg of the substance to be examined in acetonitrile R and dilute to 25.0 mL with the same solvent.
Reference solution (a): Dilute 1.0 mL of the test solution to 100.0 mL with acetonitrile R.
Reference solution (b): Dissolve 5 mg of moxidectin for system suitability CRS (containing impurities A, B, C, D, E, F, G, H, I, J and K) in 5 mL of acetonitrile R.
Column:
— size: l = 0.15 m, Ø = 3.9 mm;
— stationary phase: end-capped octadecylsilyl silica gel for chromatography R (4 μm);
— temperature: 35 °C.
Mobile phase: Dissolve 3.8 g of ammonium acetate R in 250 mL of water for chromatography R, adjust to pH 4.2 with acetic acid R and add 750 mL of acetonitrile for chromatography R.
Flow rate: 2.0 mL/min.
Detection: Spectrophotometer at 242 nm.
Injection: 10 μL.
Run time: 10 times the retention time of moxidectin.
Identification of impurities: Use the chromatogram supplied with moxidectin for system suitability CRS and the chromatogram obtained with reference solution (b) to identify the peaks due to impurities H + I, J and K.
Relative retention: With reference to moxidectin (retention time = about 4 min): impurity G = about 1.4; impurities H and I = about 2.0; impurity J = about 2.2; impurity K = about 3.4.
System suitability: Reference solution (b):
— resolution: baseline separation between the peaks due to impurities H + I and J.
Limits:
— sum of impurities H and I: not more than the area of the principal peak in the chromatogram obtained with reference solution (a) (1.0 per cent);
— impurities J, K: for each impurity, not more than 0.5 times the area of the principal peak in the chromatogram obtained with reference solution (a) (0.5 per cent);
— any other impurity eluting after impurity G: for each impurity, not more than 0.5 times the area of the principal peak in the chromatogram obtained with reference solution (a) (0.5 per cent);
— disregard limit: 0.1 times the area of the principal peak in the chromatogram obtained with reference solution (a) (0.1 per cent); disregard the peak due to the stabiliser (identify this peak, where applicable, by injecting a suitable
reference solution).
Total of all impurities: Calculate the sum of the impurities eluting from the start of the run to impurity G in test A, and from impurities H + I to the end of the run in test B. The total of all impurities is not more than 7.0 per cent.
Water (2.5.12)
Maximum 1.3 per cent, determined on 0.500 g.
Sulfated ash (2.4.14)
Maximum 0.2 per cent, determined on 1.0 g.
ASSAY
Liquid chromatography (2.2.29) as described in test A for related substances with the following modification.
Injection: Test solution and reference solution (c).
Calculate the percentage content of C37H53NO8 taking into account the assigned content of moxidectin CRS.
IMPURITIES
Specified impurities A, B, C, D, E, F, G, H, I, J, K.
Other detectable impurities (the following substances would, if present at a sufficient level, be detected by one or other of the tests in the monograph. They are limited by the general acceptance criterion for other/unspecified impurities and/or by the general monograph Substances for pharmaceutical use (2034). It is therefore not necessary to identify these impurities for demonstration of compliance. See also 5.10. Control of impurities in substances for pharmaceutical use) L.

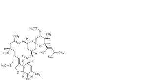
A. (6R,23E,25S)-25-[(2E)-but-2-en-2-yl]-5-O-demethyl-28-deoxy-6,28-epoxy-23-(methoxyimino)milbemycin B,

B. (6R,23E,25S)-5-O,24-didemethyl-28-deoxy-6,28-epoxy-23-(methoxyimino)-25-[(2E)-4-methylpent-2-en-1-yl]milbemycin B,

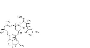
C. (6R,23E,25S)-5-O-demethyl-28-deoxy-6,28-epoxy-23-(methoxyimino)-25-[(2E)-pent-2-en-1-yl]milbemycin B,

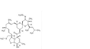
D. (6R,23E,25S)-5-O-demethyl-28-deoxy-6,28-epoxy-23-(methoxyimino)-25-[(2E)-4-methylpent-2-en-1-yl]-2-epi-milbemycin B,

E. (1 S,6R,23E,25S)-5-O-demethyl-28-deoxy-6,28-epoxy-23-(methoxyimino)-25-[(2E)-4-methylpent-2-en-1-yl]-1 -dehydro-1 -hydromilbemycin B,

F. one of groups R1 to R6 is C2H5, the others are CH3: x-demethyl-x-ethylmoxidectin,

G. (23E,25S)-5-O-demethyl-28-deoxy-23-(methoxyimino)-25-[(2E)-4-methylpent-2-en-1-yl]milbemycin B,

H. (6R,23E,25S)-5-demethoxy-28-deoxy-6,28-epoxy-23-(methoxyimino)-25-[(2E)-4-methylpent-2-en-1-yl]-2,5-didehydromilbemycin B,

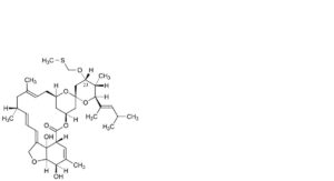
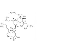
I. (6R,23E,25S)-5-O-demethyl-28-deoxy-6,28-epoxy-25-[(2E)-4-methylpent-2-en-1-yl]-23-[(methylsulfanyl)methoxy]milbemycin B,

J. (6R,23E,25S)-5-O-demethyl-28-deoxy-6,28-epoxy-23-(methoxyimino)-25-[(2E)-4-methylpent-2-en-1-yl]-7-O-[(methylsulfanyl)methyl]milbemycin B,

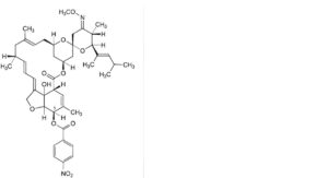
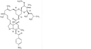
K. (6R,23E,25S)-5-O-demethyl-28-deoxy-6,28-epoxy-23-(methoxyimino)-25-[(2E)-4-methylpent-2-en-1-yl]-5-O-(4-nitrobenzoyl)milbemycin B,

L. (6R,23Z,25S)-5-O-demethyl-28-deoxy-6,28-epoxy-23-(methoxyimino)-25-[(2E)-4-methylpent-2-en-1-yl]milbemycin B.






